Nutritional Values of Onion Bulbs with Some Essential Structural Parameters for Packaging Process
Abstract
1. Introduction
2. Materials and Methods
2.1. Chemical and Reagents
2.2. Plant Material
2.3. Sample Preparation for Nutritional Values
2.4. Determination of Protein, Ash, Fiber, Crude Fat, Carbohydrate, and pH Contents of Onion Bulbs
2.5. Vitamin C Analysis (HPLC)
2.6. Carotenoids Determination
2.7. Amino Acid Measurement
2.8. Physical Properties
2.9. Structural Parameters
2.10. Data Analysis
3. Results and Discussion
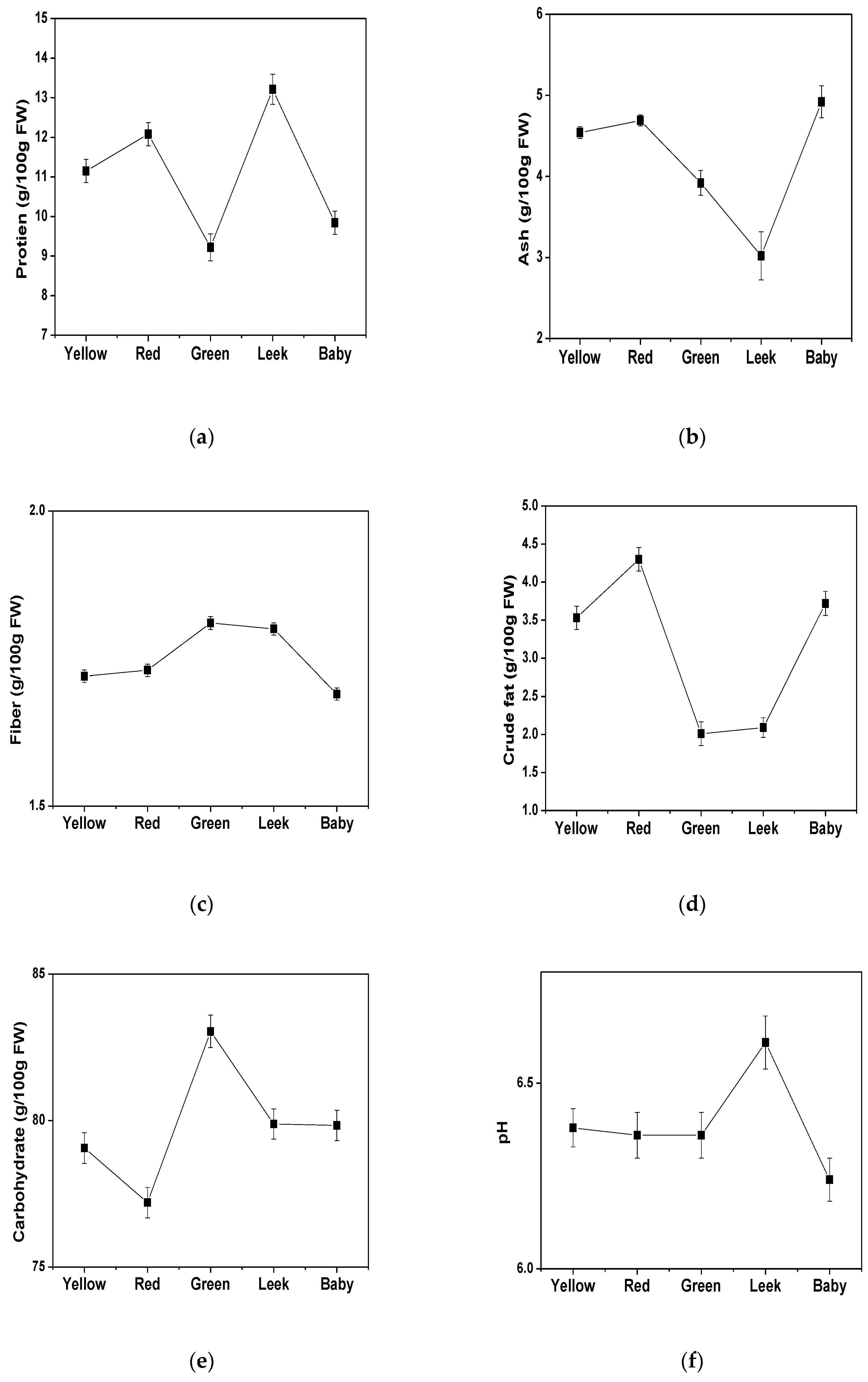
3.1. Nutritional Values
3.2. Vitamin C and Carotenoid Values
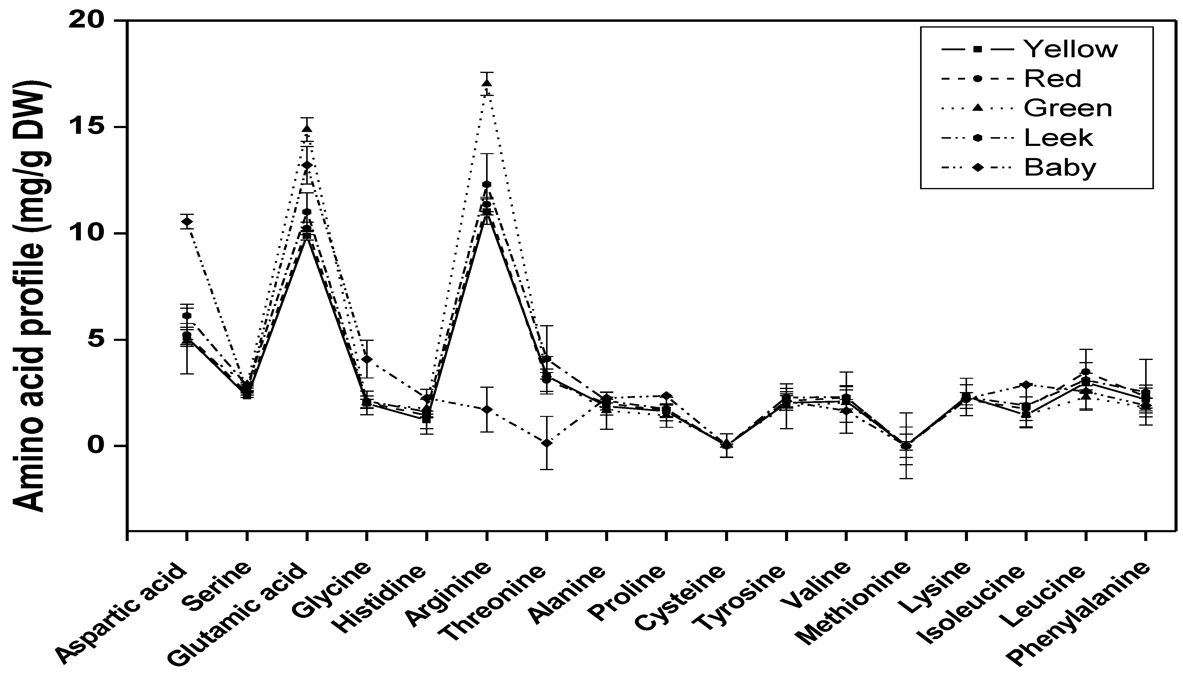
3.3. Amino Acid Profile
3.4. Physical and Structural Parameters
| For Yellow bulb: | L = 1.00X W = 1.02X T = 0.35X M |
| For Red bulb: | L = 1.12X W = 1.13X T = 0.54X M |
| For Green onion: | L = 46.31X W = 45.90X T = 4.58X M |
| For Leek onion: | L = 80.32X W = 78.12X T = 63.67X M |
| For Baby bulb: | L = 1.14X W = 1.59X T = 2.16X M |
3.5. ProjectedArea and Frictions
4. Conclusions
Author Contributions
Funding
Institutional Review Board Statement
Informed Consent Statement
Data Availability Statement
Acknowledgments
Conflicts of Interest
Abbreviations
| CAP | Criteria projected area, cm2 |
| Da | Arithmetic mean diameter, mm |
| De | Equivalent mean diameter, mm |
| Dg | Geometrical mean diameter, mm |
| Ds | Square mean diameter, mm |
| Fd | Measured friction force, N |
| L | Length, mm |
| M | Mass, g |
| W | Width, mm |
| Mc | Mositure content, % |
| N | Normal force, N |
| P | Porosity, % |
| PAL | First projected area, cm2 |
| PAT | Third projected area, cm2 |
| PAW | Second projected area, cm2 |
| ρb | Bulk density, Kg/cm3 |
| ρr | Density ratio |
| ρt | True density, Kg/cm3 |
| Sp | Aspect ratio |
| S | Surface area, cm2 |
| T | Thickness, mm |
| V | True bulk of onions, cm3 |
| Vell | Ellipsoid volume, cm3 |
| Vm | Onion actual volume, cm3 |
| Vo | Bulk of the box, cm3 |
| Vpsp | Prolate spheroid volume, cm3 |
| w | Weight of the displaced water, Kg |
| γ | Weight density of water, Kg/cm3 |
| θ | Tilt angle of the friction device, deg |
| λ | Packing factor |
| μk | Kinetic coefficient of friction |
| μs | Static coefficient of friction |
| φ | Sphericity |
References
- Tame, V.T.; Afolabi, E.T. Effect of Drying Methods and Packaging on the Nutritional Values of Onions (Allium cepa L.) Bulbs. Asian Plant Res. J. 2020, 47–55. [Google Scholar] [CrossRef]
- Bahadoran, Z.; Mirmiran, P.; Momenan, A.A.; Azizi, F. Allium vegetable intakes and the incidence of cardiovascular disease, hypertension, chronic kidney disease, and type 2 diabetes in adults: A longitudinal follow-up study. J. Hypertens. 2017, 35, 1909–1916. [Google Scholar] [CrossRef]
- Kandoliya, U.K.; Bodar, N.; Bajaniya, V.K.; Bhadja, N.; Golakiya, B.A.; Sciences, A. Determination of nutritional value and antioxidant from bulbs of different onion (Allium cepa) variety: A comparative study. Int. J. Curr. Microbiol. App. Sci. 2015, 4, 635–641. [Google Scholar]
- Sami, R.; Bushnaq, T.; Radhi, K.; Benajiba, N.; Helal, M. Prevalence of thinness cases and dietary diversity among learners of various education stages in Taif Region, Saudi Arabia. Afr. J. Food Agric. Nutr. Dev. 2020, 20, 17081. [Google Scholar]
- Sami, R.; Garsa, A.; Eman, E.; Helal, M. Saudi community care awareness food facts, nutrients, immune system and COVID-19 prevention in taif city among different age categories. Afr. J. Food Agric. Nutr. Dev. 2021, 21, 17213–17233. [Google Scholar] [CrossRef]
- Upadhyay, R.K. Nutraceutical, pharmaceutical and therapeutic uses of Allium cepa: A review. Int. J. Green Pharm. 2016, 10, 46–64. [Google Scholar]
- Sami, R.A.; Khojah, E.Y.; Elgarni, E.A.; Benajiba, N. Evaluation of Nutritional Status for Some Sensitive Sets and its Relationship to Natural Antioxidants. J. King Abdulaziz Univ. Med Sci. 2017, 24. [Google Scholar] [CrossRef]
- Sami, R.; Lianzhou, J.; Yang, L.; Ma, Y.; Jing, J. Evaluation of Fatty Acid and Amino Acid Compositions in Okra (Abelmoschus esculentus) Grown in Different Geographical Locations. BioMed Res. Int. 2013, 2013, 574283. [Google Scholar] [CrossRef] [PubMed]
- Lee, J.; Harnly, J.M. Free amino acid and cysteine sulfoxide composition of 11 garlic (Allium sativum L.) cultivars by gas chromatography with flame ionization and mass selective detection. J. Agric. Food Chem. 2005, 53, 9100–9104. [Google Scholar] [CrossRef]
- Elhakem, A.H.; Benajiba, N.; Koko, M.Y.; Khojah, E.; Sami, R. DPPH, FRAP and TAEC Assays with Postharvest Cabbage (Brassica oleracea) Parameters During the Packaging Process. Pak. J. Biol. Sci. 2021, 24, 182–187. [Google Scholar] [CrossRef]
- Sami, R.; Khojah, E. Physical-mechanical Estimation of Pepper (Capsicum annuum L.) Fruit Varieties. J. Northeast Agric. Univ. 2016, 23, 61–69. [Google Scholar] [CrossRef]
- Khoshnam, F.; Tabatabaeefar, A.; Varnamkhasti, M.G.; Borghei, A. Mass modeling of pomegranate (Punica granatum L.) fruit with some physical characteristics. Sci. Hortic. 2007, 114, 21–26. [Google Scholar] [CrossRef]
- Association of Official Analytical Chemists. Official Methods of Analysis of Association of Official Analytical Chemists, 15th ed.; AOAC: Arlington, VA, USA, 2011. [Google Scholar]
- Sami, R.; Li, Y.; Qi, B.; Wang, S.; Zhang, Q.; Han, F.; Ma, Y.; Jing, J.; Jiang, L. HPLC Analysis of Water-Soluble Vitamins (B2, B3, B6, B12, and C) and Fat-Soluble Vitamins (E, K, D, A, and β-Carotene) of Okra (Abelmoschus esculentus). J. Chem. 2014, 2014, 831357. [Google Scholar] [CrossRef]
- Petrovic, B.; Pokluda, R. Influence of Organic Fertilizers on Onion Quality. Pol. J. Environ. Stud. 2019, 29, 517–523. [Google Scholar] [CrossRef]
- Sami, R. Some aspects of physical-mechanical properties of apple (Malus domestica) cultivars for high techniques in manufacturing. J. Northeast Agric. Univ. 2017, 24, 31–39. [Google Scholar]
- Sami, R.; Khojah, E. Evaluation of physical properties of okra (Abelmoschus esculentus L.) pods with different structural characteristics. Res. Crop. 2019, 20, 73–78. [Google Scholar] [CrossRef]
- Sami, R.; Khojah, E.; Elgarni, E.; Aljumayi, H. Morphological-Mechanical Proprieties of Five Different Tomato Varieties in Kingdom of Saudi Arabia for High Techniques in Harvesting, Handling and Manufacturing. Tikrit J. Agric. Sci. 2016, 16, 1–11. [Google Scholar]
- Taheri-Garavand, A.; Rafiee, S.; Keyhani, A. Study on some morphological and physical characteristics of tomato used in mass models to characterize best post harvesting options. Aust. J. Crop Sci. 2011, 5, 433–438. [Google Scholar]
- Fathollahzadeh, H.; Mobli, H.; Jafari, A.; Rajabipour, A.; Ahmadi, H.; Borghei, A.M. Borghei Effect of Moisture Content on Some Physical Properties of Barberry. Am. Eurasian J. Agric. Env. 2008, 3, 789–794. [Google Scholar]
- Topuz, A.; Topakci, M.; Canakci, M.; Akinci, I.; Ozdemir, F. Physical and nutritional properties of four orange varieties. J. Food Eng. 2005, 66, 519–523. [Google Scholar] [CrossRef]
- Armand, A.B.; Scher, J.; Aboubakar, G.A.; Roger, P.; Montet, D.; Moses, M.C. Effect of three drying methods on the physicochemical composition of three varieties of onion (Allium cepa L.). J. Food Sci. Nutr. 2018, 1, 17–24. [Google Scholar]
- United States Department of Agriculture. Nutritional Dietary (RDA) Recommanded Dietary Allowance; IFA: Berlin, Germany, 2000.
- Sami, R.; Alshehry, G.; Ma, Y.; Abdelazez, A.; Benajiba, N.J.J.O.F.; Research, N. Evaluation of Some Specific Components Existences in Okra (Abelmoschus Esculentus L. (Moench)) Cultivated from Different Areas. J. Food and Nutr. Res. 2019, 7, 155–161. [Google Scholar]
- Armand, A.B.; Vroumsia, T.; Bernard, N.G.; Nicolas, N.Y.; Dimitry, M.Y. Effect of solar and electric drying on the content of the phenolic compounds and antioxidant activity of three Varieties of onion (Allium cepa L.). Int. J. Biol. Pharm. Allied Sci. 2012, 1, 204–220. [Google Scholar]
- World Health Organization. Vitamin and Mineral Requirements in Human Nutrition, 2nd ed.; WHO: Beijing, China, 2004. [Google Scholar]
- Søltoft, M.; Bysted, A.; Madsen, K.H.; Mark, A.B.; Bügel, S.G.; Nielsen, J.; Knuthsen, P. Effects of organic and conventional growth systems on the content of carotenoids in carrot roots, and on intake and plasma status of carotenoids in humans. J. Sci. Food Agric. 2011, 91, 767–775. [Google Scholar] [CrossRef]
- Zhang, E.; Duan, Y. Effects of Long-term Nitrogen and Organic Fertilization on Antioxidants Content of Tomato Fruits. J. Hortic. 2016, 3. [Google Scholar] [CrossRef]
- Lee, E.J.; Yoo, K.S.; Jifon, J.; Patil, B.S. Characterization of shortday onion cultivars of 3 pungency levels with flavor precursor, free amino acid, sulfur, and sugar contents. J. Food Sci. 2009, 74, C475–C480. [Google Scholar] [CrossRef]
- Hansen, S.L. Content of Free Amino Acids in Onion (Allium cepa L.) as Influenced by the Stage of Development at Harvest and Long-term Storage. Acta Agric. Scand. Sect. B Soil Plant Sci. 2001, 51, 77–83. [Google Scholar] [CrossRef]
- Wang, H.; Sun, Y.; Li, Y.; Tong, X.; Regenstein, J.M.; Huang, Y.; Ma, W.; Sami, R.; Qi, B.; Jiang, L. Effect of the condition of spray-drying on the properties of the polypeptide-rich powders from enzyme-assisted aqueous extraction processing. Dry. Technol. 2019, 37, 2105–2115. [Google Scholar] [CrossRef]
- Ghabel, R.; Rajabipour, A.; Ghasemi-Varnamkhasti, M.; Oveisi, M. Modeling the mass of Iranian export onion (Allium cepa L.) varieties using some physical characteristics. Res. Agric. Eng. 2010, 56, 33–40. [Google Scholar] [CrossRef]
- Bahnasawy, A.H.; El-Haddad, Z.A.; El-Ansary, M.Y.; Sorour, H.M. Physical and mechanical properties of some Egyptian onion cultivars. J. Food Eng. 2004, 62, 255–261. [Google Scholar] [CrossRef]



| Varieties | Yellow | Red | Green | Leek | Baby |
|---|---|---|---|---|---|
| Mc | 92.59 ± 0.21 a | 92.17 ± 0.07 a | 85.60 ± 0.57 c | 91.05 ± 0.21 b | 81.84 ± 0.52 d |
| L | 77.82 ± 6.46 b | 77.93 ± 6.34 b | 1069.78 ± 82.03 a | 618.55 ± 69.41 c | 42.37 ± 2.97 d |
| W | 78.00 ± 7.07 a | 69.94 ± 8.00 b | 23.10 ± 1.51 d | 7.77 ± 1.14 e | 37.46 ± 3.44 c |
| T | 76.55 ± 5.72 a | 69.40 ± 8.64 b | 23.30 ± 1.37 c | 7.93 ± 0.86 d | 26.79 ± 2.04 c |
| M | 227.63 ± 50.74 a | 155.41 ± 53.51 b | 236.67 ± 36.98 a | 11.70 ± 5.69 c | 19.70 ± 2.28 c |
| Dg | 77.04 ± 5.22 a | 71.91 ± 6.69 b | 82.81 ± 5.30 c | 33.50 ± 3.80 d | 34.75 ± 2.30 c |
| Da | 77.46 ± 5.19 a | 72.42 ± 6.59 a | 372.06 ± 28.18 b | 211.42 ± 23.63 d | 35.54 ± 2.36 b |
| Ds | 18.10 ± 0.81 a | 17.29 ± 1.06 a | 25.48 ± 1.23 b | 14.76 ± 1.08 d | 10.72 ± 0.47 c |
| De | 57.53 ± 3.74 a | 53.88 ± 4.78 a | 160.12 ± 11.48 b | 86.56 ± 9.37 d | 27.00 ± 1.71 c |
| Vm | 245.56 ± 53.14 a | 168.73 ± 69.00 b | 248.99 ± 131.05 c | 21.09 ± 9.34 c | 22.60 ± 20.41 c |
| Vell | 245.23 ± 50.16 a | 201.42 ± 55.16 b | 304.27 ± 5917 c | 20.53 ± 7.23 c | 22.45 ± 4.71 c |
| Vpsp | 250.26 ± 55.37 a | 202.78 ± 53.88 b | 302.04 ± 61.27 c | 20.28 ± 7.87 c | 31.54 ± 7.74 c |
| Sp | 1.01 ± 0.11 a | 0.90 ± 0.10 b | 0.02 ± 0.00 c | 0.01 ± 0.00 d | 0.88 ± 0.07 b |
| S | 187.08 ± 25.44 a | 163.56 ± 30.17 c | 53.74 ± 6.67 c | 165.33 ± 16.93 a | 38.70 ± 5.18 b |
| φ | 0.99 ± 0.06 a | 0.93 ± 0.07 b | 0.08 ± 0.00 d | 0.05 ± 0.00 e | 0.82 ± 0.04 c |
| λ | 0.47 ± 0.02 b | 0.35 ± 0.03 c | 0.65 ± 0.10 a | 0.68 ± 0.04 a | 0.40 ± 0.10 b,c |
| L/W | 1.00 ± 0.12 c | 1.12 ± 0.13 c | 46.31 ± 1.77 b | 80.32 ± 9.07 a | 1.14 ± 0.09 c |
| L/T | 1.02 ± 0.10 d | 1.13 ± 0.14 d | 45.90 ± 1.73 b | 78.12 ± 5.96 a | 1.59 ± 0.13 c |
| L/M | 0.35 ± 0.07 b | 0.54 ± 0.14 b | 4.58 ± 0.50 b | 63.67 ± 32.31 a | 2.16 ± 0.13 b |
| L/Dg | 1.01 ± 0.07 d | 1.09 ± 0.09 c,d | 12.91 ± 0.29 b | 18.49 ± 1.03 a | 1.22 ± 0.05 c |
| L/φ | 78.93 ± 10.90 c | 84.90 ± 11.45 c | 13825.81 ± 1292.70 a | 11451.19 ± 1559.47 b | 51.74 ± 4.96 d |
| Varieties | Yellow | Red | Green | Leek | Baby |
|---|---|---|---|---|---|
| ρt | 926.44 ± 45.81 a | 986.24 ± 289.53 a | 1062.11 ± 274.31 a | 579.79 ± 199.26 b | 1299.59 ± 737.06 a |
| ρb | 365.61 ± 17.74 b | 323.78 ± 19.48 c | 224.47 ± 21.54 d | 188.18 ± 32.55 e | 400.22 ± 26.65 a |
| ρb/ρt | 39.54 ± 2.57 b | 35.53 ± 11.74 b | 23.34 ± 10.53 b | 36.44 ± 17.47 a | 44.92 ± 36.00 b |
| P | 60.46 ± 2.57 a | 64.47 ± 11.74 a | 76.66 ± 10.53 a | 63.56 ± 17.47 b | 55.08 ± 36.00 a |
| Varieties | Yellow | Red | Green | Leek | Baby |
|---|---|---|---|---|---|
| PAL | 68.24 ± 9.26 a | 51.36 ± 16.72 b | 4.33 ± 3.19 c | 4.33 ± 3.19 c | 9.75 ± 0.84 c |
| PAW | 65.78 ± 11.17 b | 50.36 ± 14.76 c | 114.53 ± 13.53 a | 33.71 ± 3.17 d | 10.85 ± 1.99 e |
| PAT | 63.90 ± 11.93 b | 55.19 ± 13.48 b | 119.57 ± 7.30 a | 25.91 ± 6.03 c | 12.34 ± 1.47 d |
| CAP | 65.97 ± 10.68 b | 52.30 ± 14.30 c | 79.47 ± 5.90 a | 21.32 ± 3.37 d | 10.98 ± 1.09 e |
| Static coefficient of friction, μs | |||||
| Steel | 0.15 ± 0.07 c | 0.14 ± 0.02 c | 0.29 ± 0.09 b | 0.52 ± 0.06 a | 0.31 ± 0.09 b |
| Iron | 0.19 ± 0.07 c | 0.07 ± 0.03 d | 0.24 ± 0.05 b,c | 0.34 ± 0.07 a | 0.28 ± 0.06 a,b |
| Glass | 0.19 ± 0.08 b,c | 0.11 ± 0.02 c | 0.30 ± 0.10 a,b | 0.38 ± 0.13 a | 0.32 ± 0.12 a |
| Plastic | 0.24 ± 0.06 a | 0.09 ± 0.02 a | 0.20 ± 0.08 a | 0.26 ± 0.11 b | 0.25 ± 0.06 a |
| Kinetic coefficient of friction, μk | |||||
| Steel | 0.79 ± 0.12 a,b | 0.94 ± 0.23 a,b | 0.83 ± 0.11 a,b | 0.75 ± 0.11 b | 0.96 ± 0.14 a |
| Iron | 0.54 ± 0.13 b | 0.95 ± 0.21 a | 0.94 ± 0.17 a | 0.62 ± 0.13 b | 0.96 ± 0.08 a |
| Glass | 0.65 ± 0.18 a | 0.59 ± 0.21 a,b | 0.73 ± 0.12 a | 0.46 ± 0.13 b | 0.73 ± 0.08 a |
| Plastic | 0.65 ± 0.19 a | 0.75 ± 0.22 a | 0.82 ± 0.13 a | 0.62 ± 0.13 a | 0.76 ± 0.07 a |
Publisher’s Note: MDPI stays neutral with regard to jurisdictional claims in published maps and institutional affiliations. |
© 2021 by the authors. Licensee MDPI, Basel, Switzerland. This article is an open access article distributed under the terms and conditions of the Creative Commons Attribution (CC BY) license (http://creativecommons.org/licenses/by/4.0/).
Share and Cite
Sami, R.; Elhakem, A.; Alharbi, M.; Benajiba, N.; Almatrafi, M.; Helal, M. Nutritional Values of Onion Bulbs with Some Essential Structural Parameters for Packaging Process. Appl. Sci. 2021, 11, 2317. https://doi.org/10.3390/app11052317
Sami R, Elhakem A, Alharbi M, Benajiba N, Almatrafi M, Helal M. Nutritional Values of Onion Bulbs with Some Essential Structural Parameters for Packaging Process. Applied Sciences. 2021; 11(5):2317. https://doi.org/10.3390/app11052317
Chicago/Turabian StyleSami, Rokayya, Abeer Elhakem, Mona Alharbi, Nada Benajiba, Manal Almatrafi, and Mahmoud Helal. 2021. "Nutritional Values of Onion Bulbs with Some Essential Structural Parameters for Packaging Process" Applied Sciences 11, no. 5: 2317. https://doi.org/10.3390/app11052317
APA StyleSami, R., Elhakem, A., Alharbi, M., Benajiba, N., Almatrafi, M., & Helal, M. (2021). Nutritional Values of Onion Bulbs with Some Essential Structural Parameters for Packaging Process. Applied Sciences, 11(5), 2317. https://doi.org/10.3390/app11052317

