Scattering of Matter Wave Solitons on Localized Potentials
Abstract
1. Introduction
2. Mean Field Theory of Interacting Atoms
3. Solitons
3.1. Dark Solitons
3.2. Bright Solitons
3.3. Dark-Bright Solitons
4. Scattering of Bright Solitons
4.1. Weak Barriers
4.2. Strong Barriers
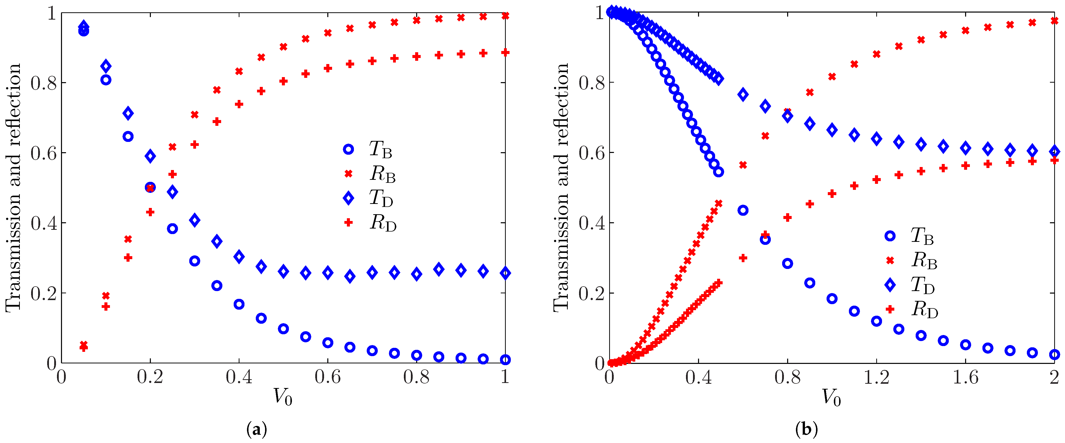
5. Scattering of Dark-Bright Solitons
6. Conclusions
Author Contributions
Funding
Institutional Review Board Statement
Informed Consent Statement
Data Availability Statement
Conflicts of Interest
References
- Kivshar, Y.S.; Luther-Davies, B. Dark optical solitons: Physics and applications. Phys. Rep. 1998, 298, 81–197. [Google Scholar] [CrossRef]
- Agrawal, G.P. Nonlinear Fiber Optics; Academic Press: Cambridge, UK, 2007. [Google Scholar]
- Amico, L.; Boshier, M.; Birkl, G.; Minguzzi, A.; Miniatura, C.; Kwek, L.-C.; Aghamalyan, D.; Ahufinger, V.; Andrei, N.; Arnold, A.S.; et al. Roadmap on atomtronics. arXiv 2020, arXiv:2008.04439. [Google Scholar]
- Pethick, C.; Smith, H. Bose-Einstein Condensation in Dilute Gases; Cambridge University Press: Cambridge, UK, 2008. [Google Scholar]
- Becker, C.; Stellmer, S.; Soltan-Panahi, P.; Dörscher, S.; Baumert, M.; Richter, E.-M.; Kronjäger, J.; Bongs, K.; Sengstock, K. Oscillations and interactions of dark and dark–bright solitons in Bose–Einstein condensates. Nat. Phys. 2008, 4, 496–501. [Google Scholar] [CrossRef]
- Middelkamp, S.; Chang, J.; Hamner, C.; Carretero-Gonzlez, R.; Kevrekidis, P.; Achilleos, V.; Frantzeskakis, D.; Schmelcher, P.; Engels, P. Dynamics of dark–bright solitons in cigar-shaped Bose–Einstein condensates. Phys. Lett. A 2011, 375, 642–646. [Google Scholar] [CrossRef]
- Hamner, C.; Chang, J.; Engels, P.; Hoefer, M. Generation of dark-bright soliton trains in superfluid-superfluid counterflow. Phys. Rev. Lett. 2011, 106, 065302. [Google Scholar] [CrossRef] [PubMed]
- Strecker, K.; Partridge, G.; Truscott, A.; Hulet, R. Formation and propagation of matter-wave soliton trains. Nature 2002, 417, 150–153. [Google Scholar] [CrossRef] [PubMed]
- Al Khawaja, U.; Stoof, H.T.C.; Hulet, R.G.; Strecker, K.E.; Partridge, G.B. Bright soliton trains of trapped Bose-Einstein condensates. Phys. Rev. Lett. 2002, 89, 200404. [Google Scholar] [CrossRef]
- Scharf, R.; Bishop, A.R. Soliton chaos in the nonlinear Schrodinger equation with spatially periodic perturbations. Phys. Rev. A 1992, 46, R2973. [Google Scholar] [CrossRef]
- Scharf, R.; Bishop, A.R. Length-scale competition for the one-dimensional nonlinear Schrodinger equation with spatially periodic potentials. Phys. Rev. E 1993, 47, 1375. [Google Scholar] [CrossRef]
- Busch, T.; Anglin, J.R. Motion of dark solitons in trapped Bose-Einstein condensates. Phys. Rev. Lett. 2000, 84, 2298. [Google Scholar] [CrossRef]
- Burger, S.; Bongs, K.; Dettmer, S.; Ertmer, W.; Sengstock, K.; Sanpera, A.; Shlyapnikov, G.V.; Lewenstein, M. Dark solitons in Bose-Einstein condensates. Phys. Rev. Lett. 1999, 83, 5198. [Google Scholar] [CrossRef]
- Reinhardt, W.P.; Clark, C.W. Soliton dynamics in the collisions of Bose-Einstein condensates: An analogue of the Josephson effect. J. Phys. B 1997, 30, L785. [Google Scholar] [CrossRef]
- Denschlag, J.; Simsarian, J.; Feder, D.; Clark, C.; Collins, L.; Cubizolles, J.; Deng, L.; Hagley, E.; Helmerson, K.; Reinhardt, W.; et al. Generating solitons by phase engineering of a Bose-Einstein condensate. Science 2000, 287, 97–101. [Google Scholar] [CrossRef]
- Nogami, Y.; Toyama, F. Nonlinear Schrodinger soliton impinging on a potential step. Phys. Lett. A 1994, 184, 245–250. [Google Scholar] [CrossRef]
- Young-Shan, C.; Rong-Zhou, G.; Hong, L. Motion of a Bose—Einstein Condensate Bright Soliton Incident on a Step-Like Potential. Chin. Phys. Lett. 2007, 24, 35. [Google Scholar] [CrossRef]
- Sakaguchi, H.; Tamura, M. Scattering and trapping of nonlinear Schrodinger solitons in external potentials. J. Phys. Soc. Jpn. 2004, 73, 503–506. [Google Scholar] [CrossRef]
- Ernst, T.; Brand, J. Resonant trapping in the transport of a matter-wave soliton through a quantum well. Phys. Rev. A 2010, 81, 033614. [Google Scholar] [CrossRef]
- Lee, C.; Brand, J. Enhanced quantum reflection of matter-wave solitons. Europhys. Lett. 2006, 73, 321. [Google Scholar] [CrossRef]
- Miroshnichenko, A.; Flach, S.; Malomed, B. Resonant scattering of solitons. Chaos 2003, 13, 874. [Google Scholar] [CrossRef]
- Weiss, C.; Castin, Y. Creation and Detection of a Mesoscopic Gas in a Nonlocal Quantum Superposition. Phys. Rev. Lett. 2009, 102, 010403. [Google Scholar] [CrossRef] [PubMed]
- Holmer, J.; Marzuola, J.; Zworski, M. Soliton splitting by external delta potentials. J. Nonlinear Sci. 2007, 17, 349. [Google Scholar] [CrossRef]
- Cao, X.; Malomed, B. Soliton-defect collisions in the nonlinear Schrödinger equation. Phys. Lett. A 1995, 206, 177. [Google Scholar] [CrossRef]
- Goodman, R.; Holmes, P.; Weinstein, M. Strong NLS soliton–defect interactions. Phys. D 2004, 192, 215. [Google Scholar] [CrossRef]
- Wang, C.-H.; Hong, T.-M.; Lee, R.-K.; Wang, D.-W. Particle-wave duality in quantum tunneling of a bright soliton. Opt. Express 2012, 20, 22675. [Google Scholar] [CrossRef] [PubMed][Green Version]
- Helm, J.L.; Billam, T.P.; Gardiner, S.A. Bright matter-wave soliton collisions at narrow barriers. Phys. Rev. A 2012, 85, 053621. [Google Scholar] [CrossRef]
- Martin, A.D.; Ruostekoski, J. Quantum dynamics of atomic bright solitons under splitting and recollision, and implications for interferometry. New J. Phys. 2012, 14, 043040. [Google Scholar] [CrossRef]
- Gertjerenken, B.; Billam, T.P.; Khaykovich, L.; Weiss, C. Quantum versus mean-field behavior. Phys. Rev. A 2012, 86, 033608. [Google Scholar] [CrossRef]
- Gertjerenken, B.; Wiles, T.P.; Weiss, C. Progress towards quantum-enhanced interferometry with harmonically trapped quantum matter-wave bright solitons. Phys. Rev. A 2016, 94, 053638. [Google Scholar] [CrossRef]
- Grimshaw, C.L.; Gardiner, S.A.; Malomed, B.A. Splitting of two-component solitary waves from collisions with narrow potential barriers. Phys. Rev. A 2020, 101, 043623. [Google Scholar] [CrossRef]
- Cuevas, J.; Kevrekidis, P.G.; Malomed, B.A.; Dyke, P.; Hulet, R.G. Interactions of solitons with a Gaussian barrier: Splitting and recombination in quasi-one-dimensional and three-dimensional settings. New. J. Phys. 2013, 15, 063006. [Google Scholar] [CrossRef]
- Marchukov, O.V.; Malomed, B.A.; Dunjko, V.; Ruhl, J.; Olshanii, M.; Hulet, R.G.; Yurovsky, V.A. Quantum Fluctuations of the Center of Mass and Relative Parameters of Nonlinear Schrödinger Breathers. Phys. Rev. Lett. 2020, 125, 050405. [Google Scholar] [CrossRef] [PubMed]
- Opnachuk, B.; Drummond, P.D. One-dimensional Bose gas dynamics: Breather relaxation. Phys. Rev. A 2017, 96, 053628. [Google Scholar] [CrossRef]
- Luo, D.; Jin, Y.; Nguyen, J.H.V.; Malomed, B.A.; Marchukov, O.V.; Yurovsky, V.A.; Dunjko, V.; Olshanii, M.; Hulet, R.G. Creation and Characterization of Matter-Wave Breathers. Phys. Rev. Lett. 2020, 125, 183902. [Google Scholar] [CrossRef]
- Yurovsky, V.A.; Malomed, B.A.; Hulet, R.G.; Olshanii, M. Dissociation of One-Dimensional Matter-Wave Breathers due to Quantum Many-Body Effects. Phys. Rev. Lett. 2017, 119, 220401. [Google Scholar] [CrossRef]
- Ng, K.L.; Opanchuk, B.; Reid, M.D.; Drummond, P.D. Nonlocal Pair Correlations in a Higher-Order Bose Gas Soliton. Phys. Rev. Lett. 2019, 122, 203604. [Google Scholar] [CrossRef]
- Marchukov, O.V.; Malomed, B.A.; Yurovsky, V.A.; Olshanii, M.; Dunjko, V.; Hulet, R.G. Splitting of nonlinear-Schrödinger-equation breathers by linear and nonlinear localized potentials. Phys. Rev. A 2019, 99, 063623. [Google Scholar] [CrossRef]
- Dunjko, V.; Olshanii, M. Resilience of constituent solitons in multisoliton scattering on barriers. arXiv 2020, arXiv:1501.00075v4. [Google Scholar]
- Zaremba, E. Sound propagation in a cylindrical Bose-condensed gas. Phys. Rev. A 1998, 57, 518. [Google Scholar] [CrossRef]
- Busch, T.; Anglin, J.R. Dark-Bright Solitons in Inhomogeneous Bose-Einstein Condensates. Phys. Rev. Lett. 2001, 87, 010401. [Google Scholar] [CrossRef] [PubMed]
- Sakaguchi, H.; Tamura, M. Scattering of Solitons and Dark Solitons by Potential Walls in the Nonlinear Schrödinger Equation. J. Phys. Soc. Jpn. 2005, 74, 292. [Google Scholar] [CrossRef][Green Version]
- Yue-Yue, W.; Jie-Fang, Z. Collision induced splitting of bright soliton in Bose–Einstein condensate. Chin. Phys. B 2009, 18, 1168. [Google Scholar] [CrossRef]
- Cornish, S.; Parker, N.; Martin, A.; Judd, T.; Scott, R.; Fromhold, T.; Adams, C. Quantum reflection of bright matter-wave solitons. Phys. D Nonlinear Phenom. 2009, 238, 1299. [Google Scholar] [CrossRef][Green Version]
- Weller, A.; Ronzheimer, J.P.; Gross, C.; Esteve, J.; Oberthaler, M.K.; Frantzeskakis, D.J.; Theocharis, G.; Kevrekidis, P.G. Experimental Observation of Oscillating and Interacting Matter Wave Dark Solitons. Phys. Rev. Lett. 2008, 101, 130401. [Google Scholar] [CrossRef]
- Kälbermann, G. Soliton interacting as a particle. Phys. Lett. A 1999, 252, 37. [Google Scholar] [CrossRef]
- Liu, X.; Pu, H.; Xiong, B.; Liu, W.M.; Gong, J. Formation and transformation of vector solitons in two-species Bose-Einstein condensates with a tunable interaction. Phys. Rev. A 2009, 79, 013423. [Google Scholar] [CrossRef]
- Nistazakis, H.E.; Frantzeskakis, D.J.; Kevrekidis, P.G.; Malomed, B.A.; Carretero-Gonzalez, R. Bright-dark soliton complexes in spinor Bose-Einstein condensates. Phys. Rev. A 2008, 77, 033612. [Google Scholar] [CrossRef]
- Alotaibi, M.O.D.; Carr, L.D. Scattering of a dark–bright soliton by an impurity. J. Phys. B At. Mol. Opt. Phys. 2019, 52, 165301. [Google Scholar] [CrossRef]
- Marchukov, O.V.; Volosniev, A. Shape of a sound wave in a weakly-perturbed Bose gas. SciPost Phys. 2021, 10, 025. [Google Scholar] [CrossRef]
- Mouritzen, A.S.; Mølmer, K.M. Tomographic reconstruction of quantum correlations in excited Bose-Einstein condensates. Phys. Rev. A 2005, 71, 033602. [Google Scholar] [CrossRef]
- Poulsen, U.V.; Mølmer, K.M. Quantum beam splitter for atoms. Phys. Rev. A 2002, 65, 033613. [Google Scholar] [CrossRef]
- Negretti, A.; Henkel, C.; Mølmer, K.M. Quantum-limited position measurements of a dark matter-wave soliton. Phys. Rev. A 2008, 77, 043606. [Google Scholar] [CrossRef]
- Negretti, A.; Henkel, C.; Mølmer, K.M. Quantum fluctuations in the image of a Bose gas. Phys. Rev. A 2008, 78, 023630. [Google Scholar] [CrossRef]
- Streltsov, A.I.; Alon, O.E.; Cederbaum, L.S. Scattering of an attractive Bose-Einstein condensate from a barrier: Formation of quantum superposition states. Phys. Rev. A 2009, 80, 043616. [Google Scholar] [CrossRef]
- Poulsen, U.V.; Mølmer, K. Positive-P simulations of spin squeezing in a two-component Bose condensate. Phys. Rev. A 2001, 64, 013616. [Google Scholar] [CrossRef]
- Laudat, T.; Dugrain, V.; Mazzoni, T.; Huang, M.-Z.; Alzar, C.L.G.; Sinatra, A.; Rosenbusch, P.; Reichel, J. Spontaneous spin squeezing in a rubidium BEC. New J. Phys. 2018, 20, 073018. [Google Scholar] [CrossRef]
- Helm, J.L.; Rooney, S.J.; Gardiner, S.A. Splitting bright matter-wave solitons on narrow potential barriers: Quantum to classical transition and applications to interferometry. Phys. Rev. A 2014, 89, 033610. [Google Scholar] [CrossRef]
- Garrett, M.C.; Ratnapala, A.; van Ooijen, E.D.; Vale, C.J.; Weegink, K.; Schnelle, S.K.; Vainio, O.; Heckenberg, N.R.; Rubinsztein-Dunlop, H.; Davis, M.J. Growth dynamics of a Bose-Einstein condensate in a dimple trap without cooling. Phys. Rev. A 2011, 83, 013630. [Google Scholar] [CrossRef]







Publisher’s Note: MDPI stays neutral with regard to jurisdictional claims in published maps and institutional affiliations. |
© 2021 by the authors. Licensee MDPI, Basel, Switzerland. This article is an open access article distributed under the terms and conditions of the Creative Commons Attribution (CC BY) license (http://creativecommons.org/licenses/by/4.0/).
Share and Cite
Damgaard Hansen, S.; Nygaard, N.; Mølmer, K. Scattering of Matter Wave Solitons on Localized Potentials. Appl. Sci. 2021, 11, 2294. https://doi.org/10.3390/app11052294
Damgaard Hansen S, Nygaard N, Mølmer K. Scattering of Matter Wave Solitons on Localized Potentials. Applied Sciences. 2021; 11(5):2294. https://doi.org/10.3390/app11052294
Chicago/Turabian StyleDamgaard Hansen, Sidse, Nicolai Nygaard, and Klaus Mølmer. 2021. "Scattering of Matter Wave Solitons on Localized Potentials" Applied Sciences 11, no. 5: 2294. https://doi.org/10.3390/app11052294
APA StyleDamgaard Hansen, S., Nygaard, N., & Mølmer, K. (2021). Scattering of Matter Wave Solitons on Localized Potentials. Applied Sciences, 11(5), 2294. https://doi.org/10.3390/app11052294
