Modified Ankle Joint Neuromechanics during One-Legged Heel Raise Test after an Achilles Rupture and Its Associations with Jumping
Abstract
Featured Application
Abstract
1. Introduction
2. Materials and Methods
2.1. Participants
2.2. Isometric EMG Measurement
2.3. EMG, Kinematic and Kinetic Data during Heel-Raise Exercise
2.4. One-Legged Jumping Test
2.5. Self-Reported Questionnaire
2.6. Statistical Analyses
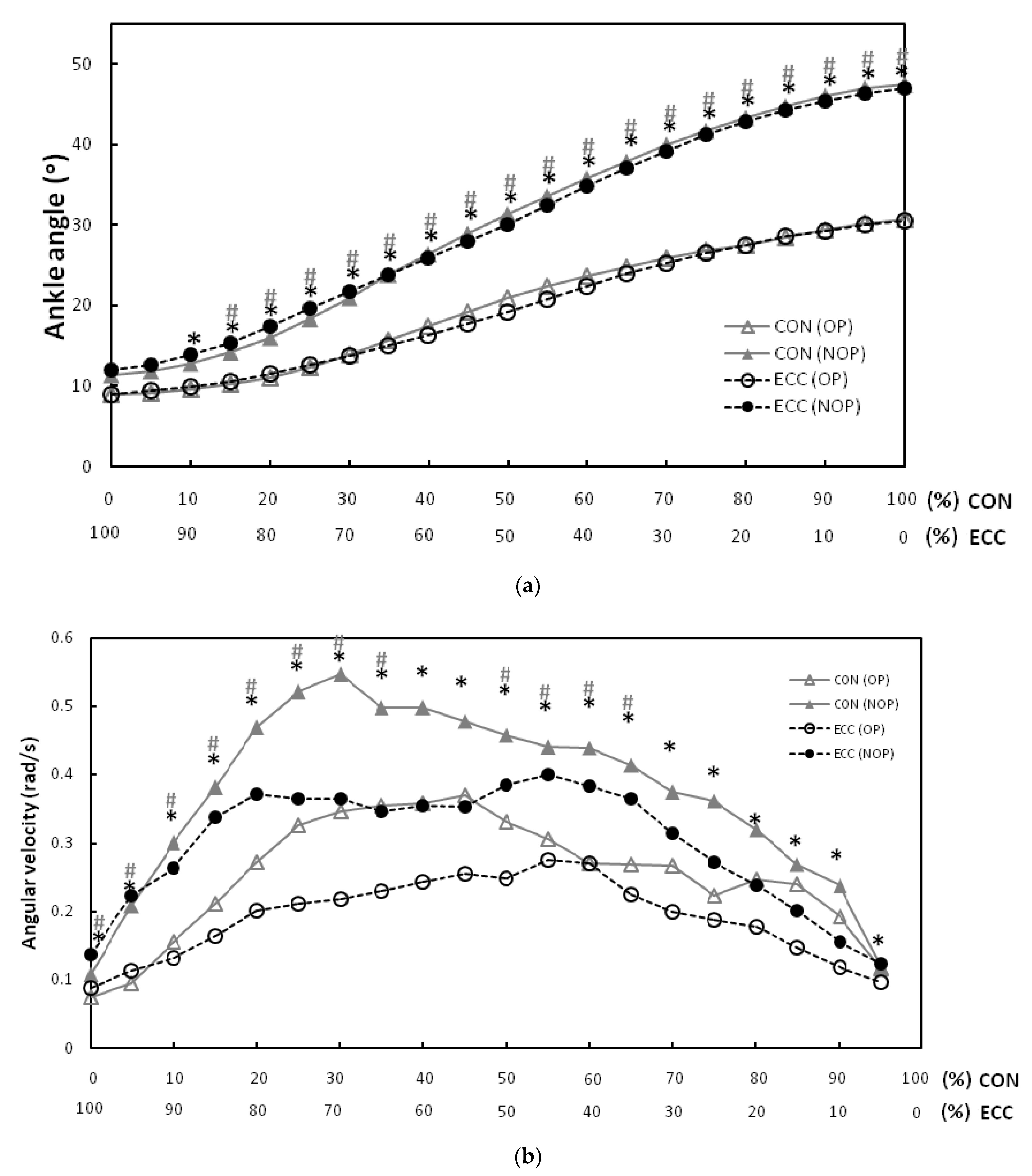
3. Results
4. Discussion
5. Conclusions
Author Contributions
Funding
Institutional Review Board Statement
Informed Consent Statement
Data Availability Statement
Conflicts of Interest
References
- Brorsson, A.; GrävareSilbernagel, K.; Olsson, N.; Nilsson Helander, K. Calf muscle performance deficits remain 7 years after an Achilles’ tendon rupture. Am. J. Sports Med. 2018, 46, 470–477. [Google Scholar] [CrossRef] [PubMed]
- Brorsson, A.; Willy, R.W.; Tranberg, R.; GrävareSilbernagel, K. Heel-rise height deficit 1 year after Achilles’ tendon rupture relates to changes in ankle biomechanics 6 years after injury. Am. J. Sports Med. 2017, 45, 3060–3068. [Google Scholar] [CrossRef]
- Mullaney, M.J.; McHugh, M.P.; Tyler, T.F.; Nicholas, S.J.; Lee, S.J. Weakness in end-range plantar flexion after Achilles’ tendon repair. Am. J. Sports Med. 2006, 34, 1120–1125. [Google Scholar] [CrossRef] [PubMed]
- Olsson, N.; Nilsson-Helander, K.; Karlsson, J.; Eriksson, B.I.; Thomée, R.; Faxén, E.; Silbernagel, K.G. Major functional deficits persist 2 years after acute Achilles’ tendon rupture. Knee Surg. Sports Traumatol. Arthrosc. 2011, 19, 1385–1393. [Google Scholar] [CrossRef] [PubMed]
- Bostick, G.P.; Jomha, N.M.; Suchak, A.A.; Beaupré, L.A. Factors associated with calf muscle endurance recovery 1 year after Achilles’ tendon rupture repair. J. Orthop. Sports Phys. Ther. 2010, 40, 345–351. [Google Scholar] [CrossRef] [PubMed]
- Peng, W.C.; Chao, Y.H.; Fu, A.S.N.; Fong, S.S.M.; Rolf, C.; Chiang, H.; Chen, S.; Wang, H.K. Muscular morphomechanical characteristics after an Achilles’ repair. Foot Ankle Int. 2019, 40, 568–577. [Google Scholar] [CrossRef] [PubMed]
- Silbernagel, K.G.; Steele, R.; Manal, K. Deficits in heel-rise height and Achilles’ tendon elongation occur in patients recovering from an Achilles’ tendon rupture. Am. J. Sports Med. 2012, 40, 1564–1571. [Google Scholar] [CrossRef] [PubMed]
- Orishimo, K.F.; Schwartz-Balle, S.; Tyler, T.F.; McHugh, M.P.; Bedford, B.B.; Lee, S.J.; Nicholas, S.J. Can weakness in end-range plantar flexion after Achilles’ tendon repair be prevented? Orthop. J. Sports Med. 2018, 6. [Google Scholar] [CrossRef]
- Lidstone, D.E.; van Werkhoven, H.; Needle, A.R.; Rice, P.E.; McBride, J.M. Gastrocnemius fascicle and achilles tendon length at the end of the eccentric phase in a single and multiple countermovement hop. J. Electromyogr. Kinesiol. 2018, 38, 175–181. [Google Scholar] [CrossRef] [PubMed]
- Fukutani, A.; Herzog, W. Influence of stretch magnitude on the stretch-shortening cycle in skinned muscle fibres. J. Exp. Biol. 2019, 222, jeb206557. [Google Scholar] [CrossRef]
- Fukutani, A.; Kurihara, T.; Isaka, T. Influence of joint angular velocity on electrically evoked concentric force potentiation induced by stretch-shortening cycle in young adults. Springerplus 2015, 4, 82. [Google Scholar] [CrossRef] [PubMed]
- Häggmark, T.; Eriksson, E. Hypotrophy of the soleus muscle in man afterAchilles’tendonrupture. Discussion of findings obtained by computed tomography and morphologic studies. Am. J. Sports Med. 1979, 7, 121–126. [Google Scholar] [CrossRef] [PubMed]
- Heikkinen, J.; Lantto, I.; Flinkkila, T.; Ohtonen, P.; Niinimaki, J.; Siira, P.; Laine, V.; Leppilahti, J. Soleus atrophy is common after the nonsurgical treatment of acute Achilles’ tendon ruptures: A randomized clinical trial comparing surgical and nonsurgical functional treatments. Am. J. Sports Med. 2017, 45, 1395–1404. [Google Scholar] [CrossRef] [PubMed]
- Zellers, J.A.; Marmon, A.R.; Ebrahimi, A.; GrävareSilbernagel, K. Lower extremity work along with triceps surae structure and activation is altered with jumping after Achilles’ tendon repair. J. Orthop. Res. 2019, 37, 933–941. [Google Scholar] [CrossRef]
- Strom, A.C.; Casillas, M.M. Achilles’ tendon rehabilitation. Foot Ankle Clin. 2009, 14, 773–782. [Google Scholar] [CrossRef] [PubMed]
- Maffulli, N.; Kenward, M.G.; Testa, V.; Capasso, G.; Regine, R.; King, J. Clinical diagnosis of Achilles’ tendinopathy with tendinosis. Clin. J. Sport Med. 2003, 13, 11–15. [Google Scholar] [CrossRef]
- O’Reilly, M.A.; Massouh, H. Pictorial review, the sonographic diagnosis of pathology in the Achilles’ tendon. Clin. Radiol. 1993, 48, 202–206. [Google Scholar] [CrossRef]
- Peng, W.C.; Chang, Y.P.; Chao, Y.H.; Fu, S.N.; Rolf, C.; Shih, T.T.; Su, S.C.; Wang, H.K. Morphomechanical alterations in the medial gastrocnemius muscle in patients with a repaired Achilles’ tendon, associations with outcome measures. Clin. Biomech. 2017, 43, 50–57. [Google Scholar] [CrossRef] [PubMed]
- Wang, H.K.; Chiang, H.; Chen, W.S.; Shih, T.T.; Huang, Y.C.; Jiang, C.C. Early neuromechanical outcomes of the triceps surae muscle-tendon after an Achilles’ tendon repair. Arch. Phys. Med. Rehabil. 2013, 94, 1590–1598. [Google Scholar] [CrossRef]
- Chaudhry, S.; Morrissey, D.; Woledge, R.C.; Bader, D.L.; Screen, H.R. Eccentric and concentric loading of the triceps surae, an in vivo study of dynamic muscle and tendon biomechanical parameters. J. Appl. Biomech. 2015, 31, 69–78. [Google Scholar] [CrossRef]
- Hou, W.H.; Yeh, T.S.; Liang, H.W. Reliability and validity of the Taiwan Chinese version of the Lower Extremity Functional Scale. J. Formos. Med. Assoc. 2014, 113, 313–320. [Google Scholar] [CrossRef] [PubMed]
- Bressel, E.; Larsen, B.T.; McNair, P.J.; Cronin, J. Anklejointproprioception and passive mechanical properties of the calf muscles after an Achilles tendon rupture, a comparison with matched controls. Clin. Biomech. 2004, 19, 284–291. [Google Scholar] [CrossRef] [PubMed]
- Maganaris, C.N.; Baltzopoulos, V.; Sargeant, A.J. Differences in human antagonistic ankle dorsiflexor coactivation between legs, can they explain the moment deficit in the weaker plantarflexor leg? Exp. Physiol. 1998, 83, 843–855. [Google Scholar] [CrossRef] [PubMed]
- Werkhausen, A.; Albracht, K.; Cronin, N.J.; Meier, R.; Bojsen-Møller, J.; Seynnes, O.R. Modulation of muscle-tendon interaction in the human triceps surae during an energy dissipation task. J. Exp. Biol. 2017, 220, 4141–4149. [Google Scholar] [CrossRef]
- Un, C.P.; Lin, K.H.; Shiang, T.Y.; Chang, E.C.; Su, S.C.; Wang, H.K. Comparative and reliability studies of neuromechanical leg muscle performances of volleyball athletes in different divisions. Eur. J. Appl. Physiol. 2013, 113, 457–466. [Google Scholar] [CrossRef]
- Oda, H.; Sano, K.; Kunimasa, Y.; Komi, P.V.; Ishikawa, M. Neuromechanical modulation of the Achilles tendon during bilateral hopping in patients with unilateral Achilles tendon rupture, over 1 year after surgical repair. Sports Med. 2017, 47, 1221–1230. [Google Scholar] [CrossRef]
- Geertsen, S.S.; Lundbye-Jensen, J.; Nielsen, J.B. Increased central facilitation of antagonist reciprocal inhibition at the onset of dorsiflexion following explosive strength training. J. Appl. Physiol. 2008, 105, 915–922. [Google Scholar] [CrossRef]
- Pensini, M.; Martin, A.; Maffiuletti, N.A. Central versus peripheral adaptations following eccentric resistance training. Int. J. Sports Med. 2002, 23, 567–574. [Google Scholar] [CrossRef] [PubMed]
- Franchi, M.V.; Atherton, P.J.; Reeves, N.D.; Flück, M.; Williams, J.; Mitchell, W.K.; Selby, A.; Beltran Valls, R.M.; Narici, M.V. Architectural, functional and molecular responses to concentric and eccentric loading in human skeletal muscle. Acta Phys. 2014, 210, 642–654. [Google Scholar] [CrossRef]
- Suydam, S.M.; Buchanan, T.S.; Manal, K.; Silbernagel, K.G. Compensatory muscle activation caused by tendon lengtheningpostAchilles’tendon rupture. Knee Surg. Sports Traumatol. Arthrosc. 2015, 23, 868–874. [Google Scholar] [CrossRef]
- Kawakami, Y.; Ichinose, Y.; Fukunaga, T. Architectural and functional features of human triceps surae muscles during contraction. J. Appl. Physiol. 1998, 85, 398–404. [Google Scholar] [CrossRef] [PubMed]
- Chino, K.; Oda, T.; Kurihara, T.; Nagayoshi, T.; Yoshikawa, K.; Kanehisa, H.; Fukunaga, T.; Fukashiro, S.; Kawakami, Y. In vivo fascicle behavior of synergistic muscles in concentric and eccentric plantar flexions in humans. J. Electromyogr. Kinesiol. 2008, 18, 79–88. [Google Scholar] [CrossRef] [PubMed]
- Ishikawa, M.; Komi, P.V.; Grey, M.J.; Lepola, V.; Bruggemann, G.P. Muscle-tendon interaction and elastic energy usage in human walking. J. Appl. Physiol. 2005, 99, 603–608. [Google Scholar] [CrossRef] [PubMed]
- Godinho, I.; Pinheiro, B.N.; Júnior, L.D.S.; Lucas, G.C.; Cavalcante, J.F.; Monteiro, G.M.; Uchoa, P.A.G. Effect of reduced ankle mobility on jumping performance in young athletes. Motricidade 2014, 15, 46–51. [Google Scholar]
- Panoutsakopoulos, V.; Kotzamanidou, M.C.; Papaiakovou, G.; Kollias, I.A. The ankle joint range of motion and its effect on squat jump performance with and without arm swing in adolescent female volleyball players. J. Funct. Morphol. Kinesiol. 2021, 6, 14. [Google Scholar] [CrossRef]
- Papaiakovou, G. Kinematic and kinetic differences in the execution of vertical jumps between people with good and poor ankle joint dorsiflexion. J. Sports Sci. 2013, 31, 1789–1796. [Google Scholar] [CrossRef]
- Yun, S.J.; Kim, M.H.; Weon, J.H.; Kim, Y.; Jung, S.H.; Kwon, O.Y. Correlation between toe flexor strength and ankle dorsiflexion ROM during the countermovement jump. J. Phys. Ther. Sci. 2016, 28, 2241–2244. [Google Scholar] [CrossRef]
- Kubo, K.; Kanehisa, H.; Takeshita, D.; Kawakami, Y.; Fukashiro, S.; Fukunaga, T. In vivo dynamics of human medial gastrocnemius muscle-tendon complex during stretch-shortening cycle exercise. Acta Physiol. Scand. 2000, 170, 127–135. [Google Scholar] [CrossRef] [PubMed]



| Characteristics | Achilles Repair |
|---|---|
| Age (y) | 40.5 (19.5) |
| Gender (n): Male/Female | 21/5 |
| Repaired leg (n): Right/Left | 15/11 |
| Body height (cm) | 173.6 (7.0) |
| Post-surgery period (months) | 4.5 (5.15) |
| Body weight (kg) | 74.8 (12.5) |
| Injury mechanism (n): Sports/Non-sports injury | 24/2 |
| LEFS score | 75 (6.5) |
| RMS EMG | Repaired Leg | Non-Injured Leg | p Value | |
|---|---|---|---|---|
| TA | CON | 0.20 (0.10–0.55) | 0.16 (0.05–0.36) | 0.027 * |
| ECC | 0.13 (0.07–0.48) | 0.12 (0.04–0.32) | 0.049 * | |
| SOL | CON | 0.99 (0.55–1.53) | 0.86 (0.48–2.45) | 0.023 * |
| ECC | 0.75 (0.31–1.28) | 0.49 (0.34–1.13) | 0.002 * | |
| MG | CON | 0.95 (0.59–1.37) | 0.89 (0.47–1.47) | 0.351 |
| ECC | 0.64 (0.45–0.95) | 0.54 (0.28–1.06) | 0.204 | |
| LG | CON | 0.87 (0.43–1.25) | 0.91 (0.48–1.51) | 0.647 |
| ECC | 0.57 (0.29–0.86) | 0.54 (0.35–0.93) | 0.744 | |
| nOLH (%) | 0.75 (0.40–1.01) | 0.95 (0.68–1.10) | <0.001 * |
| Kinematic | Kinetic | |||
|---|---|---|---|---|
| CON phase | Ankle joint (°) | Joint angular velocity (rad/s) | Normalized ground reaction force Fz | Mechanical work (J) |
| Sol RMS EMG | −0.011 | −0.072 | −0.404 | −0.327 |
| (0.952) | (0.684) | (0.021) | (0.056) | |
| MG RMS EMG | 0.490 * | −0.065 | −0.041 | 0.040 |
| (0.004) | (0.726) | (0.812) | (0.948) | |
| ECC phase | ||||
| Sol RMS EMG | 0.013s | −0.281 | −0.153 | −0.560 * |
| (0.959) | (0.113) | (0.417) | (0.001) | |
| MG RMS EMG | 0.247 | −0.199 | 0.058 | −0.127 |
| (0.180) | (0.276) | (0.751) | (0.490) | |
| Kinematic and Kinetic Data | Spearman Rank Correlation Coefficients |
|---|---|
| Ankle joint (°) | −0.192 (0.293) |
| Joint angular velocity (rad/s) | 0.575 (0.001) * |
| Ground reaction force Fz (n) | −0.077 (0.675) |
| Mechanical work (J) | −0.471 (0.007) * |
Publisher’s Note: MDPI stays neutral with regard to jurisdictional claims in published maps and institutional affiliations. |
© 2021 by the authors. Licensee MDPI, Basel, Switzerland. This article is an open access article distributed under the terms and conditions of the Creative Commons Attribution (CC BY) license (http://creativecommons.org/licenses/by/4.0/).
Share and Cite
Shih, K.-S.; Chen, P.-Y.; Yeh, W.-L.; Ma, H.-L.; Farn, C.-J.; Hou, C.-H.; Peng, W.-C.; Wang, H.-K. Modified Ankle Joint Neuromechanics during One-Legged Heel Raise Test after an Achilles Rupture and Its Associations with Jumping. Appl. Sci. 2021, 11, 2227. https://doi.org/10.3390/app11052227
Shih K-S, Chen P-Y, Yeh W-L, Ma H-L, Farn C-J, Hou C-H, Peng W-C, Wang H-K. Modified Ankle Joint Neuromechanics during One-Legged Heel Raise Test after an Achilles Rupture and Its Associations with Jumping. Applied Sciences. 2021; 11(5):2227. https://doi.org/10.3390/app11052227
Chicago/Turabian StyleShih, Kao-Shang, Pei-Yu Chen, Wen-Ling Yeh, Hsiao-Li Ma, Chui-Jia Farn, Chun-Han Hou, Wei-Chen Peng, and Hsing-Kuo Wang. 2021. "Modified Ankle Joint Neuromechanics during One-Legged Heel Raise Test after an Achilles Rupture and Its Associations with Jumping" Applied Sciences 11, no. 5: 2227. https://doi.org/10.3390/app11052227
APA StyleShih, K.-S., Chen, P.-Y., Yeh, W.-L., Ma, H.-L., Farn, C.-J., Hou, C.-H., Peng, W.-C., & Wang, H.-K. (2021). Modified Ankle Joint Neuromechanics during One-Legged Heel Raise Test after an Achilles Rupture and Its Associations with Jumping. Applied Sciences, 11(5), 2227. https://doi.org/10.3390/app11052227

