Analysis of Height-to-Width Ratio of Commercial Streets with Arcades Based on Sunshine Hours and Street Orientation
Abstract
1. Introduction
2. Thermal and Sunshine Environment in Qilou Streets
3. Methods and Analysis
- (1)
- The street orientation angle: Minsheng Road spans from 43° Northeast to 29° Northeast, whereas Xingning Road spans from 119° Northeast to 73° Southeast. In this study, the initial direction of the street is the East-West direction which was set to 0°
- (2)
- Street width: the street width of the pedestrian street or mall ranged from 9 to 13 m.
- (3)
- Street length: the pedestrian streets were partitioned by some branches of roads. The continuous building was 90–130 m long.
- (4)
- Building level height: the level height of the building along the sides of the pedestrian street was 2.7–4 m. Hence, the level height was set to 3.3 m in the sunshine model.
- (5)
- Number of building levels: Figure 6 shows that the distribution of building storeys along the sides of the pedestrian street ranges from 1 to 9. Both the level heights and number of levels determine the heights of the buildings. The effects of building height and street orientation on street sunshine hours are shown in Figure 7 and Figure 8, respectively. The heights increased or decreased in proportion to the average height of actual architectural complexes.
4. Optimization and Discussion
5. Conclusions
- (1)
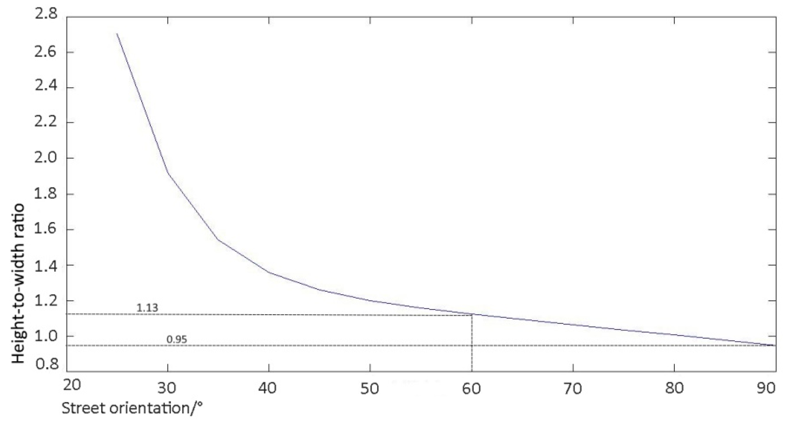
- The north–south street is suitable for forming a large shadow area by using the high height-to-width ratio. When the ratio is 0.95–1.13, the street sunshine hours decrease to less than 4 h, thereby affording a more comfortable thermal environment.
- (2)
- The adoption of recessed spaces is suitable on the east–west street to create a cool resting space in summer. The recessed spaces should be reasonably designed by using Equation (7).
- (3)
- The northeast–southwest-oriented streets should organically combine height-to-width ratio and “recessed area” design methods to create a comfortable Qilou street environment based on actual urban morphology.
Author Contributions
Funding
Institutional Review Board Statement
Informed Consent Statement
Data Availability Statement
Conflicts of Interest
References
- Jin, H.; Wang, B. A review of evaluation studies on urban micro-climate and thermal comfort. Build. Sci. 2017, 33, 1–8. (In Chinese) [Google Scholar]
- Oke, T.R. Street design and urban canopy layer climate. Energy Build. 1988, 11, 103–113. [Google Scholar] [CrossRef]
- Johansson, E. Influence of urban geometry on outdoor thermal comfort in a hot dry climate: A study in Fez, Morocco. Build. Environ. 2006, 41, 1326–1338. [Google Scholar] [CrossRef]
- Rasul, A.; Balzter, H.; Smith, C. Spatial variation of the daytime surface urban cool island during the dry season in Erbil, Iraqi Kurdistan, from Landsat 8. Urban Clim. 2015, 14, 176–186. [Google Scholar] [CrossRef]
- Lobaccaro, G.; Acero, J.A. Comparative analysis of green actions to improve outdoor thermal comfort inside typical urban street canyons. Urban Clim. 2015, 14, 251–267. [Google Scholar] [CrossRef]
- Huang, Y.Q.; Sun, Y.M. Judgment characteristics and quantitative index of suitable block scale. J. South China Univ. Technol. (Nat. Sci. Ed.) 2012, 40, 131–138. (In Chinese) [Google Scholar]
- Aminipouri, M.; Rayner, D.; Lindberg, F.; Thorsson, S.; Knudby, A.J.; Zickfeld, K.; Middel, A.; Krayenhoff, E.S. Urban tree planting to maintain outdoor thermal comfort under climate change: The case of Vancouver’s local climate zones. Build. Environ. 2019, 158, 226–236. [Google Scholar] [CrossRef]
- Gong, F.Y.; Zeng, Z.C.; Ng, E.; Norford, L.K. Spatiotemporal patterns of street-level solar radiation estimated using Google Street View in a high-density urban environment. Build. Environ. 2019, 148, 547–566. [Google Scholar] [CrossRef]
- Li, C. Research on the Residential Thermal Environment Based on the Planning Factors. Master’s Thesis, Tsinghua University, Beijing, China, 2012. (In Chinese). [Google Scholar]
- Leng, H.; Ma, Y.H. A preliminary study on the street space patterns by applying microclimate thermal comfort zoning method. J. Harbin Inst. Technol. 2015, 47, 63–68. (In Chinese) [Google Scholar]
- Yu, Z.; Chen, S.; Wong, N.H. Temporal variation in the impact of urban morphology on outdoor air temperature in the tropics: A campus case study. Build. Environ. 2020, 181, 107–132. [Google Scholar] [CrossRef]
- Ronchi, S.; Salata, S.; Arcidiacono, A. Which urban design parameters provide climate-proof cities? An application of the Urban Cooling InVEST Model in the city of Milan comparing historical planning morphologies. Sustain. Cities Soc. 2020, 63, 102459. [Google Scholar] [CrossRef]
- Bahgat, R.; Reffat, R.M.; Elkady, S.L. Analyzing the impact of design configurations of urban features on reducing solar radiation. J. Build. Eng. 2020, 32, 101664. [Google Scholar] [CrossRef]
- Ma, X.; Fukuda, H.; Zhou, D.; Gao, W.; Wang, M. The study on outdoor pedestrian thermal comfort in blocks: A case study of the Dao He Old Block in hot-summer and cold-winter area of southern China. Sol. Energy 2019, 179, 210–225. [Google Scholar] [CrossRef]
- Martinelli, L.; Matzarakis, A. Influence of height/width proportions on the thermal comfort of courtyard typology for Italian climate zones. Sustain. Cities Soc. 2017, 29, 97–106. [Google Scholar] [CrossRef]
- Ali-Toudert, F.; Mayer, H. Effects of asymmetry, galleries, overhanging facades and vegetation on thermal comfort in urban street canyons. Solar Energy 2007, 81, 742–754. [Google Scholar] [CrossRef]
- WMO-No. 8. Guide to Meteorological Instruments and Methods of Observation; Secretariat of the World Meteorological Organization: Geneva, Switzerland, 2014. [Google Scholar]
- Wang, G.A.; Mi, H.T.; Deng, T.H. Calculation of the change range of the sun high angle and the azimuth of sunrise and sunset in one year. Meteorol. Environ. Sci. 2007, 30, 161–164. (In Chinese) [Google Scholar]
- Ångström, A. Solar and terrestrial radiation. Q. J. R. Meteorol. Soc. 1924, 50, 121–125. [Google Scholar] [CrossRef]
- Rietveld, M. A new method for estimating the regression coefficients in the formula relating solar radiation to sunshine. Agric. Meteorol. 1978, 19, 243–252. [Google Scholar] [CrossRef]
- Newland, F.J. A study of solar radiation models for the coastal region of south China. Sol. Energy 1988, 31, 227–235. [Google Scholar] [CrossRef]
- Bakirci, K. Correlations for estimation of daily global solar radiation with hours of bright sunshine in Turkey. Energy 2009, 34, 485–501. [Google Scholar] [CrossRef]
- David, B.; Ampratwum, A.; Dorvlo, S.S. Estimation of solar radiation from the number of sunshine hours. Appl. Energy 1999, 63, 161–167. [Google Scholar]
- Ogelman, H.; Ecevit, A.; Tasdemiroglu, E. A new method for estimating solar radiation from bright sunshine data. Sol. Energy 1984, 33, 618–625. [Google Scholar] [CrossRef]
- Bahel, V.; Bakhel, H.; Srinivasan, R. A correlation of global solar radiation. Energy 1987, 12, 131–135. [Google Scholar] [CrossRef]
- Almorox, J.; Hontoria, C. Global solar radiation estimation using sunshine duration in Spain. Energy Convers. Manag. 2004, 45, 1529–1535. [Google Scholar] [CrossRef]
- Besharat, F.; Ali, A.; Dehghan, A.R. Empirical models for estimating global solar radiation: A review and case study. Renew. Sustain. Energy Rev. 2013, 21, 798–821. [Google Scholar] [CrossRef]
- Sun, Z.A.; Shi, J.R.; Weng, D.M. A further research on the climatological calculation method of the global solar radiation over China. J. Nanjing Inst. Meteorol. 1992, 15, 21–28. (In Chinese) [Google Scholar]
- Zhu, W.; Wu, B.; Yan, N.; Ma, Z.; Wang, L.; Liu, W. Estimating sunshine duration using hourly total cloud amount data from a geostationary meteorological satellite. Atmosphere 2020, 11, 26. [Google Scholar] [CrossRef]
- Zhao, N.; Zeng, X.F.; Han, S.M. Solar radiation estimation using sunshine hour and air pollution index in China. Energy Convers. Manag. 2013, 76, 846–851. [Google Scholar] [CrossRef]
- Liu, D.L.; Yang, L.; Huo, X.J.; Liu, J.P. Review of globe solar radiation model for building energy efficiency analysis. J. Civil Archit. Environ. Eng. 2015, 37, 101–108. (In Chinese) [Google Scholar]
- Yoshinobu, A. The Aesthetic Townscape; Yi, P.F., Translator; Baihua Literature and Art Publishing House: Tianjin, China, 2006. [Google Scholar]
- Wang, Q.Q.; Han, J.H.; Zeng, J. Technical Rules for Green Building Evaluation 2019; China Architecture & Building Press: Beijing, China, 2020. (In Chinese) [Google Scholar]
- Edgerton, E. Environmental Psychology: Putting Research into Practice; Cambridge Scholars Publishing: Newcastle, UK, 2005. [Google Scholar]
















| Model Parameters | Value | Remarks |
|---|---|---|
| Street orientation | 0°~90° | Setting the east–west direction as the initial value and 5° as the step size, shift to 90° northward |
| Street width | 10 m | - |
| Street length | 100 m | - |
| Level height of buildings | 3.3 m | - |
| Number of levels of buildings | 1~10 stories | Setting 1 as the initial value and 1 as the step size, increase to 10 levels |
| Building width | 15 m | - |
| Environmental Element | Value | Remarks |
|---|---|---|
| Sunshine height | 0 m | - |
| Sunshine location | Nanning | - |
| Sunshine date | 22 June | - |
| Sunshine hours | 8 h | 8: 00~16: 00 |
| Sunshine standard | National standard | - |
| Sunshine precision | Minute | - |
| Street Orientation | a | b | Residual Sum of Squares | Fit | Modified Fit | Standard Deviation |
|---|---|---|---|---|---|---|
| 0° | 1780 | −3.542 | 1.497 | 0.8334 | 0.8125 | 0.4326 |
| 5° | 4568 | −4.046 | 1.023 | 0.8861 | 0.8718 | 0.3577 |
| 10° | 8610 | −4.451 | 0.4695 | 0.9477 | 0.9412 | 0.2422 |
| 15° | 4128 | −4.159 | 0.3335 | 0.9629 | 0.9582 | 0.2042 |
| 20° | 149.1 | −2.465 | 0.9209 | 0.8975 | 0.8847 | 0.3393 |
| 25° | 18.68 | −1.465 | 0.7248 | 0.9193 | 0.9092 | 0.301 |
| 30° | 12.59 | −1.33 | 0.4054 | 0.9549 | 0.9492 | 0.2251 |
| 35° | 9.284 | −1.251 | 0.2019 | 0.9775 | 0.9747 | 0.1589 |
| 40° | 7.902 | −1.232 | 0.1191 | 0.9867 | 0.9851 | 0.122 |
| 45° | 6.902 | −1.197 | 0.09127 | 0.9898 | 0.9866 | 0.1068 |
| 50° | 6.225 | −1.183 | 0.06195 | 0.9931 | 0.9922 | 0.088 |
| 55° | 5.819 | −1.179 | 0.0819 | 0.9909 | 0.9897 | 0.1012 |
| 60° | 5.321 | −1.15 | 0.04847 | 0.9946 | 0.9939 | 0.07784 |
| 65° | 4.982 | −1.13 | 0.04291 | 0.9952 | 0.9946 | 0.07323 |
| 70° | 4.612 | −1.097 | 0.04539 | 0.9949 | 0.9943 | 0.07532 |
| 75° | 4.282 | −1.044 | 0.08706 | 0.9903 | 0.9891 | 0.1043 |
| 80° | 4.015 | −1.009 | 0.1233 | 0.9863 | 0.9846 | 0.1241 |
| 85° | 3.72 | −0.9564 | 0.2044 | 0.9772 | 0.9744 | 0.1599 |
| 90° | 3.415 | −0.8825 | 0.2975 | 0.9669 | 0.9627 | 0.1929 |
| Residual Sum of Squares | Fit | Modified Fit | Standard Deviation |
|---|---|---|---|
| 0.05501 | 0.9998 | 0.9997 | 0.07417 |
| Residual Sum of Squares | Fit | Modified Fit | Standard Deviation |
|---|---|---|---|
| 0.01876 | 0.9366 | 0.9251 | 0.0413 |
Publisher’s Note: MDPI stays neutral with regard to jurisdictional claims in published maps and institutional affiliations. |
© 2021 by the authors. Licensee MDPI, Basel, Switzerland. This article is an open access article distributed under the terms and conditions of the Creative Commons Attribution (CC BY) license (http://creativecommons.org/licenses/by/4.0/).
Share and Cite
Huang, X.; Li, C.; Zhuang, Z. Analysis of Height-to-Width Ratio of Commercial Streets with Arcades Based on Sunshine Hours and Street Orientation. Appl. Sci. 2021, 11, 1706. https://doi.org/10.3390/app11041706
Huang X, Li C, Zhuang Z. Analysis of Height-to-Width Ratio of Commercial Streets with Arcades Based on Sunshine Hours and Street Orientation. Applied Sciences. 2021; 11(4):1706. https://doi.org/10.3390/app11041706
Chicago/Turabian StyleHuang, Xianfeng, Congmin Li, and Zhixiang Zhuang. 2021. "Analysis of Height-to-Width Ratio of Commercial Streets with Arcades Based on Sunshine Hours and Street Orientation" Applied Sciences 11, no. 4: 1706. https://doi.org/10.3390/app11041706
APA StyleHuang, X., Li, C., & Zhuang, Z. (2021). Analysis of Height-to-Width Ratio of Commercial Streets with Arcades Based on Sunshine Hours and Street Orientation. Applied Sciences, 11(4), 1706. https://doi.org/10.3390/app11041706

