Wavelength-Dependent Nonlinear Absorption in Palladium Nanoparticles
Abstract
1. Introduction
2. Materials and Methods
3. Results and Discussion
4. Conclusions
Author Contributions
Funding
Institutional Review Board Statement
Informed Consent Statement
Data Availability Statement
Conflicts of Interest
References
- Hua, Y.; Chandra, K.; Dam, D.H.M.; Wiederrecht, G.P.; Odom, T.W. Shape-dependent nonlinear optical properties of anisotropic gold nanoparticles. J. Phys. Chem. Lett. 2015, 6, 4904–4908. [Google Scholar] [CrossRef] [PubMed]
- Luo, S.L.; Chen, Y.; Fan, G.H. Saturable absorption and reverse saturable absorption on silver particles with different shapes. Appl. Phys. A 2014, 117, 891–894. [Google Scholar] [CrossRef]
- Qu, S.L.; Song, Y.L.; Liu, H.F.; Wang, Y.X.; Gao, Y.C.; Liu, S.T.; Zhang, X.R.; Li, Y.L.; Zhu, D.B. A theoretical and experimental study on optical limiting in platinum nanoparticles. Optics Commun. 2002, 203, 283–288. [Google Scholar] [CrossRef]
- Gao, Y.C.; Zhang, X.R.; Li, Y.L.; Liu, H.F.; Wang, Y.X.; Chang, Q.; Jiao, W.Y.; Song, Y.L. Saturable absorption and reverse saturable absorption in platinum nanoparticles. Optics Commun. 2005, 251, 429–433. [Google Scholar] [CrossRef]
- Ganeev, R.A.; Tugushev, R.I.; Usmanov, T. Application of the nonlinear optical properties of platinum nanoaprticles for the mode locking of Nd: Glass laser. Appl. Phys. B 2009, 94, 647–651. [Google Scholar] [CrossRef]
- Fan, G.H.; Qu, S.L.; Wang, Q.; Zhao, C.J.; Zhang, L.; Li, Z.G. Pd nanoparticles formation by femtosecond laser irradiation and the nonlinear optical properties at 532 nm using nanosecond laser pulses. J. Appl. Phys. 2011, 109, 023102. [Google Scholar] [CrossRef]
- Manjunatha, K.B.; Dileep, R.; Umesh, G.; Ramachandra Bhat, B. Study of third-order nonlinear optical and all-optical switching properties of palladium metal–organic complex. Opt. Mater. 2013, 35, 1366–1372. [Google Scholar] [CrossRef]
- Manjunatha, K.B.; Dileep, R.; Umesh, G.; Ramachandra Bhat, B. Nonlinear optical and all-optical switching studies of palladium (II) complex. Mater. Lett. 2013, 105, 173–176. [Google Scholar] [CrossRef]
- Fan, G.H.; Chen, M.R.; Wu, X.Z.; Han, M.; Song, Y.L.; Qu, S.L.; Xie, B.; Yang, L.P.; Gao, R.X.; Guo, Z.Y.; et al. Dramatic changes of optical nonlinearity and ultrafast dynamics of palladium nanoparticles caused by hydriding. Chem. Phys. Lett. 2016, 643, 93–97. [Google Scholar] [CrossRef]
- Rheinberger, D.; Ohm, U.; Zhumaev, E.; Domke, K.F. Extending surface plasmon resonance spectroscopy to platinum surfaces. Electrochim. Acta. 2019, 314, 96–101. [Google Scholar] [CrossRef]
- Cai, S.S.; Gonzalez-Vila, A.; Zhang, X.J.; Guo, T.C. Caucheteur.Palladium-coated plasmonic optical fiber gratings for hydrogen detection. Opt. Lett. 2019, 44, 4483–4486. [Google Scholar] [CrossRef]
- Xiong, Y.J.; Chen, J.Y.; Wiley, B.J.M.; Xia, Y.N.; Yin, Y.D.; Li, Z.Y. Size- Dependence of Surface Plasmon Resonance and Oxidation for Pd Nanocubes Synthesized via a Seed Etching Process. Nano Lett. 2005, 5, 1237–1242. [Google Scholar] [CrossRef]
- Xiong, Y.J.; McLellan, J.M.; Chen, J.Y.; Yin, Y.D.; Li, Z.Y.; Xia, Y.N. Kinetically Controlled Synthesis of Triangular and Hexagonal Nanoplates of Palladium and Their SPR/SERS Properties. Am. Chem. Soc. 2005, 127, 17118–17127. [Google Scholar] [CrossRef]
- Zeng, J.; Zhu, C.; Tao, J.; Jin, M.S.; Zhang, H.; Li, Z.Y.; Zhu, Y.M.; Xia, Y.N. Controlling the nucleation and growth of silver on palladium nanocubes by manipulating the reaction kinetics. Angew. Chem. Int. Ed. Engl. 2012, 51, 2354–2358. [Google Scholar] [CrossRef]
- Mahmoud, A. Surface-Enhanced Raman Spectroscopy of Double-Shell Hollow Nanoparticles: Electromagnetic and Chemical Enhancements. Langmuir 2013, 29, 6253–6261. [Google Scholar] [CrossRef]
- Weiner, R.G.; Desantis, C.J.; Cardoso, M.B.C. Diffusion and Seed Shape: Intertwined Parameters in the Synthesis of Branched Metal Nanostructures. ACS Nano 2014, 8, 8625–8635. [Google Scholar] [CrossRef] [PubMed]
- Mahmoud, A. Plasmon Resonance Hybridization of Gold Nanospheres and Palladium Nanoshells Combined in a Rattle Structure. J. Phys. Chem. Lett. 2014, 5, 2594–2600. [Google Scholar] [CrossRef] [PubMed]
- Sugawa, K.; Tahara, H.; Yamashita, A. Refractive Index Susceptibility of the Plasmonic Palladium Nanoparticle: Potential as the Third Plasmonic Sensing Material. ACS Nano 2015, 9, 1895–1904. [Google Scholar] [CrossRef]
- Du, J.S.; Yu, J.J.; Xiong, Y.L.; Lin, Z.Q.; Zhang, H.; Yang, D. Developing an aqueous approach for synthesizing Au and M@Au (M = Pd, CuPt) hybrid nanostars with plasmonic properties. Phys. Chem. Chem. Phys. 2014, 17, 1265–1272. [Google Scholar] [CrossRef] [PubMed]
- Li, Y.; Yan, Y.C.; Li, Y.H.; Zhang, H. Size-controlled synthesis of Pd nanosheets for tunable plasmonic properties. CrystEngComm 2015, 17, 1833–1838. [Google Scholar] [CrossRef]
- Verma, P.; Kuwahara, Y.; Mori, K. Synthesis and Characterization of Pd/Ag Bimetallic Nanocatalyst on SBA-15 Mesoporous Silica as a Plasmonic Catalyst. J. Mater. Chem. A 2015, 3, 18889–18897. [Google Scholar] [CrossRef]
- Hsu, S.C.; Chuang, Y.C.; Sneed, B.T. Turning the Halide Switch in the Synthesis of Au–Pd Alloy and Core–Shell Nanoicosahedra with Terraced Shells: Performance in Electrochemical and Plasmon-Enhanced Catalysis. Nano Lett. 2016, 16, 5514–5520. [Google Scholar] [CrossRef]
- Rodal-Cedeira, S.; Montes-García, V.; Polavarapu, L.; Solís, D.M.; Heidari, H.; La Porta, A.; Angiola, M.; Martucci, A.; Taboada, J.M.; Obelleiro, F.; et al. Plasmonic Au@Pd nanorods with boosted refractive index susceptibility and SERS efficiency: A multifunctional platform for hydrogen sensing and monitoring of catalytic reactions. Chem. Mater. 2016, 28, 9169–9180. [Google Scholar] [CrossRef]
- Zhang, L.; Wang, C.; Yuan, J.; Chen, R.X. Preparation of Palladium Nanoparticles by Water Bath Method and Electrocatalytic Properties of Its Modified Electrode. Rare Met. Mater. Eng. 2013, 42, 1936–1940. [Google Scholar]
- Papagiannouli, I.; Potamianos, D.; Krasia-Christoforou, T.; Couris, S. Third-order optical nonlinearities of PVP/Pd nanohybrids. Opt. Mater. 2017, 72, 226–232. [Google Scholar] [CrossRef]
- Sheik-Bahae, M.; Said, A.A.; Wei, T.H.; Hagan, D.J.; Van Stryland, E.W. Sensitive Measurement of optical nonlinearities using a single beam. IEEE J. Quantum Electr. 1990, 26, 760769. [Google Scholar] [CrossRef]





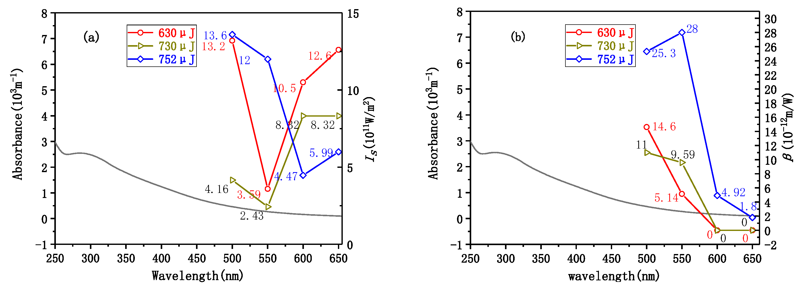
| (nm) | (μJ) | (m/W) | ||
|---|---|---|---|---|
| 500 | 630 | 2.51 × 1013 | 1.32 × 1012 | 1.46 × 10−11 |
| 730 | 2.91 × 1013 | 4.16 × 1011 | 1.1 × 10−11 | |
| 752 | 2.99 × 1013 | 1.36 × 1012 | 2.53 × 10−11 | |
| 550 | 630 | 2.51 × 1013 | 3.59 × 1011 | 5.14 × 10−12 |
| 730 | 2.91 × 1013 | 2.43 × 1011 | 9.59 × 10−12 | |
| 752 | 2.99 × 1013 | 1.2 × 1012 | 2.8 × 10−11 | |
| 600 | 630 | 2.51 × 1013 | 1.05 × 1012 | 0 |
| 730 | 2.91 × 1013 | 8.32 × 1011 | 0 | |
| 752 | 2.99 × 1013 | 4.47 × 1011 | 4.92 × 10−12 | |
| 650 | 630 | 2.51 × 1013 | 1.26 × 1012 | 0 |
| 730 | 2.91 × 1013 | 8.32 × 1011 | 0 | |
| 752 | 2.99 × 1013 | 5.99 × 1011 | 1.8 × 10−12 |
Publisher’s Note: MDPI stays neutral with regard to jurisdictional claims in published maps and institutional affiliations. |
© 2021 by the authors. Licensee MDPI, Basel, Switzerland. This article is an open access article distributed under the terms and conditions of the Creative Commons Attribution (CC BY) license (http://creativecommons.org/licenses/by/4.0/).
Share and Cite
Chen, C.; Wang, J.; Gao, Y. Wavelength-Dependent Nonlinear Absorption in Palladium Nanoparticles. Appl. Sci. 2021, 11, 1640. https://doi.org/10.3390/app11041640
Chen C, Wang J, Gao Y. Wavelength-Dependent Nonlinear Absorption in Palladium Nanoparticles. Applied Sciences. 2021; 11(4):1640. https://doi.org/10.3390/app11041640
Chicago/Turabian StyleChen, Chunyu, Jun Wang, and Yachen Gao. 2021. "Wavelength-Dependent Nonlinear Absorption in Palladium Nanoparticles" Applied Sciences 11, no. 4: 1640. https://doi.org/10.3390/app11041640
APA StyleChen, C., Wang, J., & Gao, Y. (2021). Wavelength-Dependent Nonlinear Absorption in Palladium Nanoparticles. Applied Sciences, 11(4), 1640. https://doi.org/10.3390/app11041640

