Does Two-Class Training Extract Real Features? A COVID-19 Case Study
Abstract
Featured Application
Abstract
1. Introduction
- Pneumonia that affects both lungs instead of just one (bilateral pneumonia).
- Lungs that had a characteristic “ground glass” appearance on CT scans.
- Abnormalities in some laboratory tests, particularly those that were evaluated.
- Healthy patients and COVID-19 patients; using pneumonia patients as the test case.
- Healthy patients and patients with pneumonia; using COVID-19 patients as the test case.
- Patients with pneumonia and patients with COVID; using healthy patients as the test case.
2. Materials and Methods
2.1. Works and Datasets
- All the works used Deep Learning (DL) as the mechanism to detect COVID-19 positives. However, four of them used a variant based on transfer learning, obtaining a Deep Transfer Learning (DTL) system.
- Sixty-six-point-seven percent of the works detailed only classified between COVID-19 positive or COVID-19 negative.
- ResNet is the most used CNN model. It is important to mention that other works like [9] used very simple and computationally very light training models (such as pretrained VGG16), but despite this, very promising results were obtained.
2.2. Study Approach
2.2.1. Dataset Used
2.2.2. Processing Architecture
- H-P model: A first model trained only with Healthy (H) and Pneumonia (P) samples.
- H-C model: A model trained with Healthy (H) and COVID-19 positive (C) samples.
- P-C model: A model trained with Pneumonia (P) and COVID-19 positive (C) samples.
2.2.3. Performance Assessment
- Classic model test: A conventional training and evaluation are carried out. This is used to evaluate the samples of the classes for which the model has been trained. It is evaluated through the use of metrics and the analysis of the confusion matrix.The metrics considered consist of accuracy, precision, recall, and f1-score.where in this case, . The term refers to the number of samples with class c that were classified correctly as c. The term means the set of samples with a different class of c that were classified as c by the model. refers to the set of samples with class c that were classified as other different class. indicates the number of samples with a class other than c that were not classified as c.
- Extended class test: The quality of the model for extracting real features is evaluated with the samples of the class not used during the training of each model. In this test, the model can behave in two different ways:
- −
- Valid model: The classifier would be valid if it is able to classify the samples with the more similar class of the two considered (depending on the third class used).
- −
- Invalid model: it would not be valid if the model makes a balanced distribution of the samples or if the samples are classified randomly.
If the model is considered as invalid, it means that the model is not capable of extracting real features from the classes, but it only distinguishes differences between both of them. That is why in this phase, the distribution of the samples classified by the models are analyzed. Additionally, the performance results that each model would achieve when faced with a homogeneous sample of the three considered classes are shown. As the models have been designed to solve binary classification problems, in order to correctly interpret the results, we must combine the samples of two classes and assume a new classification problem, which will depend on the combination performed. The combinations and the resulting classification problems are displayed in the Results Section.
- H-P model: The testing class will be COVID-19. In this case, as COVID-19 patients present more severe symptoms of pneumonia than patients diagnosed with another type of pneumonia, a valid model should be capable of classifying COVID-19 patients in the pneumonia class.
- H-C model: The testing class will be pneumonia. In this case, if the system detects lung problems, pneumonia patients should not be classified as healthy.
- P-C model: The testing class will be healthy. In this case, if the system distinguishes the severity of lung damage, healthy patients should be classified in the pneumonia class.
3. Results
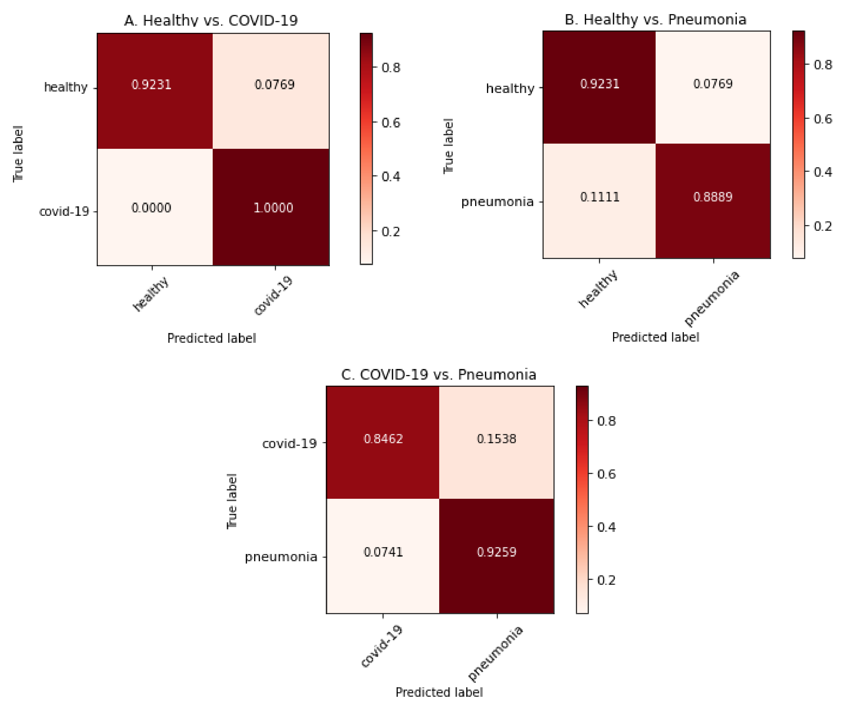
3.1. Classical Model Verification
3.2. Extended Class Test
- H-P model: the testing class will be COVID-19.
- H-C model: the testing class will be pneumonia.
- P-C model: the testing class will be healthy.
- H-P model—Case 1: COVID-19 images are included in the healthy class, in order to obtain a system that classifies between pneumonia positive and pneumonia negative.
- H-C model—Case 2: COVID-19 images are included in the pneumonia class in order to obtain a system that classifies between healthy and ill.
- P-C model—Case 1: Pneumonia images are included in the healthy class in order to obtain a system that classifies between COVID-19 positive and COVID-19 negative.
- H-P model—Case 2: Pneumonia images are included in the COVID-19 class in order to obtain a system that classifies between healthy and ill.
- H-C model—Case 1: Healthy images are included in the COVID-19 class in order to obtain a system that classifies between pneumonia positive and pneumonia negative.
- P-C model—Case 2: Healthy images are included in the pneumonia class in order to obtain a system that classifies between COVID-19 positive and COVID-19 negative.
4. Discussion
- [Case 1] H-P model: The system received COVID-19 images for testing. In this case, as healthy patients do not have any alveoli inflammation, a valid DL system should classify all the images as pneumonia. In fact, before the COVID-19 pandemic started, the first cases detected with severe alveoli inflammation in both lungs were classified by specialists as pneumonia.Regarding the results obtained, seventy-one-point-nine-seven percent of the cases are classified as pneumonia, but twenty-eight-point-zero-three percent are classified as healthy. Those results show a too large error for a difference so easily appreciable by a specialist; that is why those results obtained for the H-P model are considered not medically valid.
- [Case 2] H-C model: The system received pneumonia images for testing. This is the most interesting model, as many works presented in the bibliography (see Table 2) used this classification between healthy and COVID-19 patients. However, there have been many deceased patients whose damages provoked pneumonia symptoms. Therefore, a valid DL system should extract the characteristics regarding the alveoli inflammation of the images, and according to that, all images that present some alveoli inflammation should be classified as COVID-19. This may seem unrealistic, but for these DL works, the world itself is divided only into two classes: healthy and COVID-19. Therefore, for these systems, there are no other pneumonia cases beyond COVID-19 patients. That is why, if the meta-characteristics are extracted correctly during the training process, every image with alveoli inflammation should be classified as COVID-19.When focusing on the results obtained in Table 5, the system behavior seems random: half of the images are classified as healthy and the other half as COVID-19. These results seem to indicate that the system does not extract the correct characteristics from the classes involved, and each pneumonia image is classified randomly as healthy or COVID-19, which seems to be a big mistake due to the clear medical differences between those classes. Therefore, according to this, the model should not be considered as medically valid.
- [Case 3] P-C model: In this last model, the system received healthy images for testing. The system itself may not seem useful because no healthy patients were taken onto account. However, in using a medical approach, the pneumonia symptoms can be easily detected by specialist; so, this first division between ill and healthy can be done by doctors. With ill patients, using a system that distinguish between mild and severe pneumonia (produced by COVID-19) can be useful for diagnosis purposes. Even so, no published works used this model because the results obtained (as observed in Table 4) were lower than H-C models because of the differences between both classes. Regarding this model, if the characteristics’ extraction is performed correctly, a healthy patient should be classified in the pneumonia class as the lung damage is much lower that COVID-19 patients. Therefore, if the world is divided between pneumonia and COVID-19 classes, the healthy images are much more similar to pneumonia than COVID-19.Focusing on the results obtained in Table 5 and according to the previous explanation, the system seems to behave correctly: 96.21% of the healthy images are classified as pneumonia. Therefore, in this case, the model seems to be medically valid.
- H-P Model—Case 1 (Figure 3, top-left): As can be observed, many of the non-pneumonia images are classified as pneumonia (more than 46%), so the case of mixing healthy and COVID-19 classes is not medically valid.
- H-C Model—Case 2 (Figure 3, top-right): The system presents more than 13% of false positives when classifying healthy patients. Joining the COVID-19 and pneumonia classes produces acceptable results for distinguishing between sick and healthy patients, but the results show almost 8% false negative results for the diseased class. However, as detailed before, the H-P model is not useful to distinguish COVID-19 patients.
- P-C Model—Case 1 (Figure 3, middle-left): the integration of the pneumonia class with the healthy class may seem the most logical and easy election due to its use in previous works. For this case, the system obtains more than 31% of false positives for the COVID-19 class, so the results are not acceptable.
- H-P Model—Case 2 (Figure 3, middle-right): Using pneumonia images with COVID-19 may not seem very useful for COVID-19 detection, but in this case, there is 100% of healthy detection. However, there are more than 22% false negatives for diseased.
- H-C Model—Case 1 (Figure 3, bottom-left): For this case, joining the healthy and COVID-19 classes produces more than 92% of true positives for non-pneumonia, but the pneumonia class obtains almost 60% of false negatives. The results are not acceptable.
- P-C Model—Case 2 (Figure 3, bottom-right): Finally, the integration of healthy images with the pneumonia class improves the previous results. However, there is more than 15% of false negatives for the COVID-19 class, which is very dangerous for pandemic spread.
Answering the Questions
- Does the use of two classes in disease classification systems based on convolutional networks correctly extract the characteristics that distinguish that disease?No, it does not. According to the previous results obtained after testing several cases and combinations of binary classifiers for lung damage detection, we demonstrate that the behavior of the models trained with images of untrained classes is not correct and does not behave as if the characteristics of the trained classes had been correctly extracted.
- Does it only extract the characteristics that differentiate a healthy patient from another with the disease?It seems it does, although we cannot affirm this categorically. The operation of the training process of DL systems and the good classification results initially obtained for each binary model for its training classes allow us to affirm with relative security that the system only focuses on detecting the differences between the classes used during the training process.
- COVID-19: This first class presents four important characteristics that can be easily appreciated (see Figure 5-left). They are detailed next:
- −
- Pronounced peak of blacks.
- −
- Maximum concentration, between 150 and 200, with a local peak in the middle of the range.
- −
- Low concentration of whites.
- −
- Small end peak in whites.
- Healthy: This second class presents four important characteristics as well (see Figure 5-right). They are detailed next:
- −
- Low concentration of blacks.
- −
- Maximum concentration, between 100 and 150, with a local peak in the middle of the range.
- −
- Higher concentration of whites.
- −
- Small end peak in whites.
- Pneumonia: This final class presents other characteristics that are similar to the ones detailed for the other two classes (see Figure 5-middle). They are detailed next:
- −
- Pronounced peak of blacks; similar to the COVID-19 class, but larger.
- −
- Maximum concentration, between 100 and 150, with a local peak in the middle of the range; exactly the same as the healthy class.
- −
- Higher concentration of whites than the COVID-19 class, but lower than the healthy class.
- −
- No end peak in whites.
- Characteristic 1 (Ch1): Blacks’ peak.
- Characteristic 2 (Ch2): Whites’ peak.
- Characteristic 3 (Ch3): Black values’ concentration.
- Characteristic 4 (Ch4): White values’ concentration.
- Characteristic 5 (Ch5): Maximum concentration range.
- H-P model: The characteristics that easily distinguish these classes are Ch1, Ch2, Ch3, and Ch4. We can theorize that these characteristics rule the classification result.Therefore, introducing the COVID-19 class as a test, we can observe that it matches the characteristics Ch1 and Ch3 with the pneumonia class and characteristics Ch2 and Ch4 with the healthy class. Even so, as the mean Ch1peak is much higher than the mean Ch2 peak, it is reasonable to think that for this reason, there are a few more samples of this class that are classified as pneumonia than as healthy (almost 72%). Moreover, it is important to note that, as the characteristic that best distinguishes the COVID-19 class from the pneumonia class (Ch5) is not used in the H-P model as it is not relevant (similar values), this is another reason why it is more similar to the pneumonia class.
- H-C model: The characteristics that easily distinguish these classes are Ch1, Ch3, Ch4, and Ch5. We can theorize that these characteristics rule the classification result.Using the Pneumonia class as a test, it has similarities in characteristics Ch1 and Ch3 with the COVID-19 class and has similarities in characteristics Ch4 and Ch5 with the healthy class. Although the peak that can be observed in blacks (Ch1) concentrates a large number of pixels and this more closely resembles the COVID-19 class, the maximum concentration range of values (Ch5) is practically identical to that of the healthy class. Therefore, this may be the reason why the occurrences of this class are divided equally between the other two during the test phase.
- P-C model: The characteristics that easily distinguish these classes are Ch2, Ch4, and Ch5. We can theorize that these characteristics rule the classification result.Including the healthy class as a test, we can observe that it would resemble the COVID-19 class in the Ch2 characteristic, but it would resemble the pneumonia class in the Ch4 and Ch5 characteristics. Due to this, as the characteristics Ch4 and Ch5 have much greater weight than the characteristic Ch2 and, in addition, they concentrate most of the pixels, it is coherent that the results obtained more than 96% of classification as pneumonia.
- H-P model—Case 1: Almost all the characteristics that easily distinguish the pneumonia class have opposite values in the other two that compose the mixed class (COVID-19 and healthy). The only characteristic that differentiates both from pneumonia is Ch2 (white’s peak); however, in the whites’ concentration (Ch4), there are also significant differences between the images of COVID-19 and those of healthy patients. Due to these large differences between the two sets that compose the mixed class, the classification results are very low (reaching over 50% for the combined class detection).
- H-P model—Case 2: For this case, there is a clearly remarkable characteristic of the healthy class with respect to the mixed class (COVID-19 and pneumonia), which is Ch1 (blacks’ peak). Thanks to this, the results obtained improve significantly, although there is a worrying percentage of samples that are erroneously classified as belonging to the mixed class, presumably due to the range of the higher concentration of values (Ch5) that coincides between the healthy class and the pneumonia images.
- H-C model—Case 1: Mixing the images of pneumonia with those of healthy patients causes the COVID-19 class to be classified quite acceptably (around 92%), presumably due to the range of the maximum concentration of values (Ch5). However, for the mixed class, the results are very bad since several important characteristics have very different values between the images of pneumonia and those of healthy patients, such as Ch1 (which is similar between pneumonia and COVID-19) and Ch2 (which is similar between healthy and COVID-19).
- H-C model—Case 2: If we mix the pneumonia images with those of COVID-19, the classification of healthy patients reaches 100% due to the concentration of whites (Ch4) and the absence of the peak of blacks (Ch1), which clearly distinguishes the histograms. However, regarding the precision when classifying the mixed class, the percentage is significantly reduced due to the differences between the images with COVID-19 and pneumonia, presumably produced by the maximum concentration range of values (Ch5).
- P-C model—Case 1: If the images of healthy patients are mixed with those of COVID-19, we obtain a high percentage of classification for patients without pneumonia. In this case, the only characteristic that could justify these results is Ch2, although for Ch1, the black peak is much more significant than that which can be observed for the COVID-19 class. On the other hand, the pneumonia classification obtained very bad results (less than 42%) because, as has been verified, the pneumonia class shares many values of the characteristics extracted with the other classes.
- P-C model—Case 2: Finally, combining the images of healthy patients with those of pneumonia, a high classification result can be observed for the mixed class since the pneumonia images share the Ch4 and Ch5 characteristics with the images of healthy patients, with the Ch5 characteristics being the most relevant due to the values’ concentration. On the other hand, the results for the classification of the COVID-19 class are acceptable (but not excellent), with more than 15% failures due to the similarities in the Ch1 and Ch3 characteristics with the pneumonia images.
5. Conclusions
Author Contributions
Funding
Institutional Review Board Statement
Informed Consent Statement
Acknowledgments
Conflicts of Interest
Abbreviations
| SARS-CoV | Severe Acute Respiratory Syndrome Coronavirus |
| COVID-19 | Coronavirus Disease 2019 |
| RT-PCR | Reverse Transcription Polymerase Chain Reaction |
| CAD | Computer-Aided Diagnosis |
| BAL | Bronchoalveolar Lavage |
| MR | Magnetic Resonance |
| CT | Computerized Tomography |
| CXR | Chest X-ray |
| VGG16 | Visual Geometry Group 16 |
| DL | Deep Learning |
| DTL | Deep Transfer Learning |
| ROC | Receiver Operating Characteristic |
| AUC | Area Under Curve |
References
- Civit-Masot, J.; Luna-Perejon, F.; Vicente-Diaz, S.; Corral, J.M.R.; Civit, A. TPU Cloud-Based Generalized U-Net for Eye Fundus Image Segmentation. IEEE Access 2019, 7, 142379–142387. [Google Scholar] [CrossRef]
- Luna-Perejón, F.; Domínguez-Morales, M.J.; Civit-Balcells, A. Wearable fall detector using recurrent neural networks. Sensors 2019, 19, 4885. [Google Scholar] [CrossRef]
- Wang, Q.; Michau, G.; Fink, O. Missing-class-robust domain adaptation by unilateral alignment. IEEE Trans. Ind. Electron. 2020, 68, 663–671. [Google Scholar] [CrossRef]
- Zhao, D.; Yao, F.; Wang, L.; Zheng, L.; Gao, Y.; Ye, J.; Guo, F.; Zhao, H.; Gao, R. A comparative study on the clinical features of COVID-19 pneumonia to other pneumonias. Clin. Infect. Dis. 2020, 71, 756–761. [Google Scholar] [CrossRef]
- Lenga, M.; Schulz, H.; Saalbach, A. Continual learning for domain adaptation in chest x-ray classification. arXiv 2020, arXiv:2001.05922. [Google Scholar]
- Minaee, S.; Kafieh, R.; Sonka, M.; Yazdani, S.; Soufi, G.J. Deep-covid: Predicting COVID-19 from chest X-ray images using deep transfer learning. arXiv 2020, arXiv:2004.09363. [Google Scholar] [CrossRef]
- Yoo, S.H.; Geng, H.; Chiu, T.L.; Yu, S.K.; Cho, D.C.; Heo, J.; Choi, M.S.; Choi, I.H.; Cung Van, C.; Nhung, N.V.; et al. Deep learning-based decision-tree classifier for COVID-19 diagnosis from chest X-ray imaging. Front. Med. 2020, 7, 427. [Google Scholar] [CrossRef]
- Wang, L.; Lin, Z.Q.; Wong, A. COVID-Net: A tailored deep convolutional neural network design for detection of COVID-19 cases from chest X-ray images. Sci. Rep. 2020, 10, 19549. [Google Scholar] [CrossRef]
- Civit-Masot, J.; Luna-Perejón, F.; Domínguez Morales, M.; Civit, A. Deep learning system for COVID-19 diagnosis aid using X-ray pulmonary images. Appl. Sci. 2020, 10, 4640. [Google Scholar] [CrossRef]
- Jain, G.; Mittal, D.; Thakur, D.; Mittal, M.K. A deep learning approach to detect Covid-19 coronavirus with X-Ray images. Biocybern. Biomed. Eng. 2020, 40, 1391–1405. [Google Scholar] [CrossRef] [PubMed]
- Cohen, J.P.; Morrison, P.; Dao, L. COVID-19 image data collection. arXiv 2020, arXiv:2003.11597. [Google Scholar]
- Cohen, J.P.; Morrison, P.; Dao, L.; Roth, K.; Duong, T.Q.; Ghassemi, M. COVID-19 Image Data Collection: Prospective Predictions Are the Future. arXiv 2020, arXiv:2006.11988. [Google Scholar]
- de la Iglesia Vayá, M.; Saborit, J.M.; Montell, J.A.; Pertusa, A.; Bustos, A.; Cazorla, M.; Galant, J.; Barber, X.; Orozco-Beltrán, D.; García-García, F.; et al. BIMCV COVID-19+: A large annotated dataset of RX and CT images from COVID-19 patients. arXiv 2020, arXiv:2006.01174. [Google Scholar]
- Gunraj, H.; Wang, L.; Wong, A. COVIDNet-CT: A Tailored Deep Convolutional Neural Network Design for Detection of COVID-19 Cases from Chest CT Images. Front. Med. 2020. [Google Scholar] [CrossRef] [PubMed]
- Zhao, J.; Zhang, Y.; He, X.; Xie, P. COVID-CT-Dataset: A CT scan dataset about COVID-19. arXiv 2020, arXiv:2003.13865. [Google Scholar]
- Wu, Y.H.; Gao, S.H.; Mei, J.; Xu, J.; Fan, D.P.; Zhao, C.W.; Cheng, M.M. JCS: An explainable COVID-19 diagnosis system by joint classification and segmentation. arXiv 2020, arXiv:2004.07054. [Google Scholar]
- Khalifa, N.E.M.; Taha, M.H.N.; Hassanien, A.E.; Taha, S.H.N. The Detection of COVID-19 in CT Medical Images: A Deep Learning Approach. In Big Data Analytics and Artificial Intelligence against COVID-19: Innovation Vision and Approach; Springer: Berlin/Heidelberg, Germany, 2020; pp. 73–90. [Google Scholar]
- Singh, D.; Kumar, V.; Kaur, M. Classification of COVID-19 patients from chest CT images using multi-objective differential evolution–based convolutional neural networks. Eur. J. Clin. Microbiol. Infect. Dis. 2020, 39, 1379–1389. [Google Scholar] [CrossRef]
- Ahuja, S.; Panigrahi, B.K.; Dey, N.; Rajinikanth, V.; Gandhi, T.K. Deep transfer learning-based automated detection of COVID-19 from lung CT scan slices. Appl. Intell. 2021, 51, 571–585. [Google Scholar] [CrossRef]
- Albahli, S. A Deep Neural Network to Distinguish COVID-19 from other Chest Diseases using X-ray Images. Curr. Med. Imaging 2020. [Google Scholar] [CrossRef]
- Panwar, H.; Gupta, P.; Siddiqui, M.K.; Morales-Menendez, R.; Bhardwaj, P.; Singh, V. A deep learning and grad-CAM based color visualization approach for fast detection of COVID-19 cases using chest X-ray and CT-Scan images. Chaos Solitons Fractals 2020, 140, 110190. [Google Scholar] [CrossRef]
- Duran-Lopez, L.; Dominguez-Morales, J.P.; Corral-Jaime, J.; Vicente-Diaz, S.; Linares-Barranco, A. COVID-XNet: A custom deep learning system to diagnose and locate COVID-19 in chest X-ray images. Appl. Sci. 2020, 10, 5683. [Google Scholar] [CrossRef]
- Bahel, V.; Pillai, S. Detection of COVID-19 Using Chest Radiographs with Intelligent Deployment Architecture. In Big Data Analytics and Artificial Intelligence against COVID-19: Innovation Vision and Approach; Springer: Berlin/Heidelberg, Germany, 2020; pp. 117–130. [Google Scholar]
- Sethy, P.K.; Behera, S.K. Detection of coronavirus disease (COVID-19) based on deep features. Preprints 2020, 121, 103792. [Google Scholar]
- Ozturk, T.; Talo, M.; Yildirim, E.A.; Baloglu, U.B.; Yildirim, O.; Acharya, U.R. Automated detection of COVID-19 cases using deep neural networks with X-ray images. Comput. Biol. Med. 2020, 121, 103792. [Google Scholar] [CrossRef] [PubMed]
- Apostolopoulos, I.D.; Mpesiana, T.A. Covid-19: Automatic detection from x-ray images utilizing transfer learning with convolutional neural networks. Phys. Eng. Sci. Med. 2020, 43, 635–640. [Google Scholar] [CrossRef]
- Hira, S.; Bai, A.; Hira, S. An automatic approach based on CNN architecture to detect Covid-19 disease from chest X-ray images. Appl. Intell. 2020, 1–26. [Google Scholar] [CrossRef]
- Simonyan, K.; Zisserman, A. Very deep convolutional networks for large-scale image recognition. arXiv 2014, arXiv:1409.1556. [Google Scholar]
- Russakovsky, O.; Deng, J.; Su, H.; Krause, J.; Satheesh, S.; Ma, S.; Huang, Z.; Karpathy, A.; Khosla, A.; Bernstein, M.; et al. ImageNet Large Scale Visual Recognition Challenge. Int. J. Comput. Vis. (IJCV) 2015, 115, 211–252. [Google Scholar] [CrossRef]
- Das, M.; Farmer, J.; Gallagher, A.; Loui, A. Event-based location matching for consumer image collections. In Proceedings of the 2008 International Conference on Content-Based Image and Video Retrieval, Niagara Falls, ON, Canada, 7–9 July 2008; pp. 339–348. [Google Scholar]
- Loui, A.C.; Das, M. Matching of Complex Scenes Based on Constrained Clustering. In Proceedings of the AAAI Fall Symposium: Multimedia Information Extraction, Arlington, TX, USA, 7–9 November 2008; Volume 8, p. 5. [Google Scholar]
- Oses, N.; Legarretaetxebarria, A.; Quartulli, M.; García, I.; Serrano, M. Determining input variable ranges in Industry 4.0: A heuristic for estimating the domain of a real-valued function or trained regression model given an output range. arXiv 2019, arXiv:1904.02655. [Google Scholar]





| Dataset | Data Type | Classes | Images | COVID-19 1 | Perfect Balance 2 |
|---|---|---|---|---|---|
| COVID-chestXray [11,12] | CXR, CT | 4: COVID-19, healthy, other viral pneumonia, bacterial pneumonia | 960 | 37.4% | 25% |
| BIMCVCOVID-19+ [13] | CXR, CT | 3: COVID-19, non-COVID-19, others | 1354 | 90.5% | 33.3% |
| COVIDx-CXR [8] | CXR | 3: COVID-19, pneumonia, normal | 13,975 | 12.8% | 33.3% |
| COVIDx-CT [14] | CT | 3: COVID-19, pneumonia, normal | 104,009 | 19.2% | 33.3% |
| COVID-CT [15] | CT | 2: COVID-19, non-COVID-19 | 746 | 46.8% | 50% |
| COVID-CS [16] | CT | 2: COVID-19, non-COVID-19 | 144,167 | 0.5% | 50% |
| Work | Method | Dataset(s) | Data Type | Model(s) | Classes | Accuracy |
|---|---|---|---|---|---|---|
| Khalifa, N. [17] | DTL | COVID-CT | CCT | ResNet50, Shufflenet, Mobilenet | 2: COVID-19, non-COVID-19 | 85.33% |
| Wang, L. [8] | DL | COVIDx-CT | CCT | DeCovNet | 2: COVID-19, non-COVID-19 | 90.10% |
| Singh, D. [18] | DL | COVID-chestXray | CCT | MODE-based CNN | 2: COVID-19, non-COVID-19 | 93.30% |
| Ahuja, S. [19] | DL | COVID-chestXray | CCT | ResNet-18 | 2: COVID-19, non-COVID-19 | 99.40% |
| Albahli, S. [20] | DL | COVID-chestXray | CXR | ResNet152 | 2: COVID-19, other chest diseases | 87.00% |
| Panwar, H. [21] | DL | COVID-chestXray | CXR | nCOVnet using VGG16 | 2: COVID-19, Other | 88.10% |
| Duran-Lopez, L. [22] | DL | BIMCV COVID-19+ | CXR | Custom | 2: COVID-19, non-COVID-19 | 91–97% |
| Minaee, S. [6] | DTL | COVID-chestXray | CXR | ResNet18 and SqueezeNet | 2: COVID-19, non-COVID-19 | 92.05% |
| Bahel, V. [23] | DL | COVID-chestXray | CXR | ResNet152, VGG19, DenseNet | 2: COVID-19, non-COVID-19 | 93% |
| Yoo, S. [7] | DL | COVID-chestXray | CXR | ResNet-18 | 2: COVID-19, tuberculosis | 95.00% |
| Sethy, P. [24] | DL | COVID-chestXray, COVIDx-CRX | CXR | ResNet50 + SVM | 2: COVID-19, non-COVID-19 | 95.40% |
| Civit-Masot, J. [9] | DTL | COVIDx-CRX | CXR | VGG16 | 3: COVID-19, pneumonia, normal | 86.00% |
| Ozturk, T. [25] | DL | COVID-chestXray | CXR | DarkCovidNet | 3: COVID-19, pneumonia, no-findings | 87.00% |
| Jain, R. [10] | DL | COVIDx-CXR | CXR | Inception V3, XceptionNet, RexNeXt | 3: COVID-19, pneumonia, normal | 93–97% |
| Apostolopoulos, I. [26] | DTL | COVID-chestXray | CXR | VGG19 and MobileNet | 3: COVID-19, pneumonia, normal | 97.80% |
| Hira, S. [27] | DTL | COVID-chestXray | CXR | AlexNet, GoogleNet, ResNet50, DenseNet121, ... | 4: COVID-19, normal, bacterial pneumonia, other viral pneumonia | 95.56% |
| Jain, G. [10] | DTL | COVID-chestXray, COVIDx-CRX | CXR | ResNet50 and ResNet101 | 4: COVID-19, normal, bacterial pneumonia, other viral pneumonia | 97.14% |
| Subset | Total | Train | Test |
|---|---|---|---|
| COVID-19 | 132 | 105 | 27 |
| Healthy | 132 | 105 | 27 |
| Pneumonia | 132 | 106 | 26 |
| Total | 396 | 316 | 80 |
| Model | Accuracy | Precision | F1-Score | Specificity |
|---|---|---|---|---|
| Healthy vs. COVID-19 (H-C Model) | 0.96 | 0.97 | 0.96 | 0.96 |
| Healthy vs. Pneumonia (H-P Model) | 0.91 | 0.91 | 0.91 | 0.91 |
| Pneumonia vs. COVID-19 (P-C Model) | 0.89 | 0.89 | 0.89 | 0.89 |
| Model | Testing Class | Classified as Healthy | Classified as Pneumonia | Classified as COVID-19 | Medically Valid? |
|---|---|---|---|---|---|
| H-P Model | COVID-19 | 28.03% | 71.97% | X | No |
| H-C Model | Pneumonia | 50% | X | 50% | No |
| P-C Model | Healthy | X | 96.21% | 3.79% | Yes |
Publisher’s Note: MDPI stays neutral with regard to jurisdictional claims in published maps and institutional affiliations. |
© 2021 by the authors. Licensee MDPI, Basel, Switzerland. This article is an open access article distributed under the terms and conditions of the Creative Commons Attribution (CC BY) license (http://creativecommons.org/licenses/by/4.0/).
Share and Cite
Muñoz-Saavedra, L.; Civit-Masot, J.; Luna-Perejón, F.; Domínguez-Morales, M.; Civit, A. Does Two-Class Training Extract Real Features? A COVID-19 Case Study. Appl. Sci. 2021, 11, 1424. https://doi.org/10.3390/app11041424
Muñoz-Saavedra L, Civit-Masot J, Luna-Perejón F, Domínguez-Morales M, Civit A. Does Two-Class Training Extract Real Features? A COVID-19 Case Study. Applied Sciences. 2021; 11(4):1424. https://doi.org/10.3390/app11041424
Chicago/Turabian StyleMuñoz-Saavedra, Luis, Javier Civit-Masot, Francisco Luna-Perejón, Manuel Domínguez-Morales, and Antón Civit. 2021. "Does Two-Class Training Extract Real Features? A COVID-19 Case Study" Applied Sciences 11, no. 4: 1424. https://doi.org/10.3390/app11041424
APA StyleMuñoz-Saavedra, L., Civit-Masot, J., Luna-Perejón, F., Domínguez-Morales, M., & Civit, A. (2021). Does Two-Class Training Extract Real Features? A COVID-19 Case Study. Applied Sciences, 11(4), 1424. https://doi.org/10.3390/app11041424

