Real-Time Extensive Livestock Monitoring Using LPWAN Smart Wearable and Infrastructure
Abstract
Featured Application
Abstract
1. Introduction
2. Materials and Methods
2.1. Wearable Design
2.2. Logic and Communications
- Beacon: GNSS is sampled at TGNSS and once position is acquired, it is saved in flash memory, sent via LoRaWAN and then the transceiver waits for a configuration message from the server before going to sleep. If no GNSS signal is detected for TTIMEOUT, last known coordinates are sent. It can follow a smart behavior if desired. Then, GNSS is acquired only if movement has been detected between two TGNSS periods. Movement condition is asserted by the inertial measurement unit (IMU) itself, as it activates an interrupt when an ATRHESOHLD is exceeded. If no smart behavior is set, the device sends GNSS regardless of the movement condition.
- Movement: on top of the beacon smart mode, the wearable streams IMU data at TSENSOR period. As IMU raw data stream would lead to a duty cycle policy violation, we have implemented four different behaviors to prevent exceeding it:
- ○
- Continuous: The easiest way to get maximum bitrate is to use FSK modulation to achieve 50 Kbps. Considering that the accelerometer has 14 bit precision measurements, at EU868 (869.525 MHz) frequency, the one with the best duty cycle (10%), we can stream at:
Unfortunately, this is not LoRaWAN compliant as duty cycle and bitrate are above limits. Thus, assuming duty cycle policies from EU868 region (1%), usual DR5 LoRaWAN modulation, according to Equation (2), we can stream around one sample per second.If we just send one piece of axis data, the can reach 3.4 Hz, which could lead to sending more meaningful data.- ○
- Coded: this mode behaves similarly to the previous, but it includes an additional step where the data is compressed prior to be sent [30]. VQ compression defines a NxM look-up table (codebook), being N the number of centroids, i.e., the number of different compressed samples that can be chosen for being transmitted, and M the size of the signal that each centroid represents. The compression algorithm accumulates a window of M samples of the signal and picks the centroid that better fits the original signal (minimizing mean squared error). Then, just the index of the centroid is transmitted, and the signal can be reconstructed at the reception by accessing the codebook with the index. The number of centroids N and the size of the window M allows establishing in advance the compression rate to be achieved (and thus increasing effective ):The codebook has to be generated previously with a machine learning algorithm that is trained with samples of the data to identify the centroids that will lead to better PSNR figures with the desired compression rate, Our major limitation is the memory available in the device. Using this mode, we can go up to 20 Hz sampling at DR5 over LoRaWAN protocol with good performance.
- ○
- Burst: this mode detects movement and then accumulates several seconds of data. Then, in order to comply with LoRaWAN regulation, we split the packet between the available channels using a scheduler that monitors channel usage and prevents messages to be sent when the duty cycle is about to be exceeded. When this happens, new data is discarded until we are ready to send again. Using this mode, we can send 3-s bursts at 10 Hz sampling at DR5 over LoRaWAN protocol.
- ○
- Smart: The smart strategy is like burst mode but before sending data, it analyzes it to check if no movement is detected; in that case, movement data is discarded, and not sent. This condition is determined when the maximum peak to peak value of the last five seconds of data is below a threshold ANO-MOVE. This threshold is configurable to adjust sensitivity of the device.
- Config: this mode sends LoRaWAN beacons every 10 s, allowing downlink messages that configure the wearable. Config mode is automatically entered after a hard reset and lasts TCONFIG. In this mode we can retrieve the GNSS samples stored in flash memory and send them through FSK packets.
- Standby: this is the lowest energy consumption mode where the wearable just sleeps. The only way to exit this state is via hard reset.
2.3. Infrastructure and Backend
3. Results
3.1. Laboratory Tests
3.1.1. Energy and Timing Analysis
- -
- First (Figure 7), the sensor samples data from IMU at 12.5 Hz when an event is detected, until desired payload length is achieved. Data are sent through LoRaWAN at DR5, the fastest available at any channel. Then, GNSS receiver is turned on until fix is achieved, and it is sent through LoRaWAN at DR1, the second slowest. We chose DR1 for location data because it let us send data each minute if IMU streaming is turned off, to comply with the duty cycle shows the current while doing a basic SmartIMU task.
- -
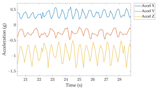
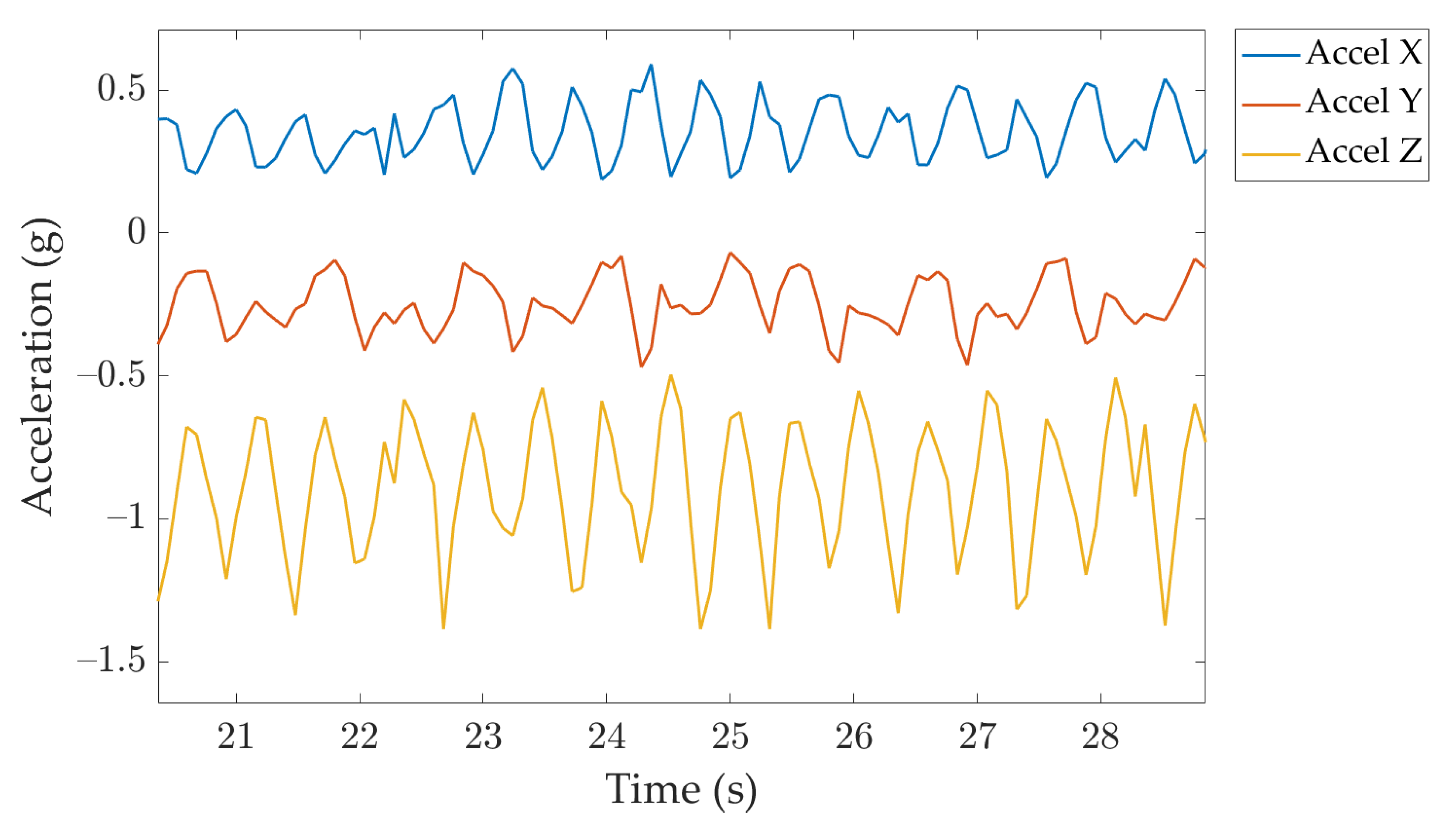
- Second (Figure 8), we stream accelerometer data at the highest possible resolution with FSK modulation. This mode is used to define activation thresholds and deciding on the filter constants for the embedded IMU unit registers.
3.1.2. Data Reconstruction Analysis
3.2. Field Tests
3.2.1. Communications Performance
3.2.2. Movement Data Analysis
4. Discussion
- -
- Communications: Use of LoRa allows long range point to point communications with reduced energy consumption and medium data bandwidth (up to 5.5 kbps). We have achieved a maximum of 12 km in mountain environment with enough link budget. Systems based in communications provided by TSPs (GPRS [6], satellite [44], NBioT [45], SigFox [7]) do not require deployment of any additional communication infrastructure, but they will not work where there is no coverage. Furthermore, cellular links use much more energy for communication than LoRa; 2 W [46] against 25 mW. This has a remarkable impact in battery life but also in reduced radiofrequency radiation to the animals, which means less heating due to SAR (specific absorption rate). Such power is completely safe as shown in [47,48,49,50,51]. Other LPWAN technologies such as SigFox use similar amount of energy but the duty policies allow just 144 messages per day [52] and it is not enough to send movement data. Satellite communications main drawback is the associated cost, which is quite high if we are sending movement data. Finally, systems based in medium-range sensor networks such as Zigbee [8,9,10] require higher density of routers making the required infrastructure much larger.
- -
- Infrastructure: Our system can work in three different scenarios: using a LoRaWAN telecom infrastructure (e.g., Everynet [53]), deploying ad hoc LoRaWAN gateways connected to Internet or, as we also propose to find cattle, carrying (on a person or a drone [54]) a mobile offline gateway. We have not found any other approach that gives such flexibility.
- -
- Data: Derived from the challenging communications and long battery life requirements, most systems having wide coverage only send so much data; mainly GPS. Fewer systems have onboard non-volatile memory that provides larger data recording. Those systems using wireless sensor networks and even WiFi [55] are not limited in terms of data throughput and can monitor large number of parameters (but they require a dense infrastructure). Our system does not require such bulky infrastructure, but still thanks to choosing the right coding technique, it can send movement data in real time.
5. Conclusions
Author Contributions
Funding
Institutional Review Board Statement
Informed Consent Statement
Conflicts of Interest
References
- Nori, M.; Switzer, J.; Crawford, A. Herding on the Brink: Towards a Global Survey of Pastoral Communities and Conflict; International Insitute for Sustainable Development: Winnipeg, MB, Canada, 2005. [Google Scholar]
- Some, J. Can Pastoralism Survive in the 21st Century? Available online: https://www.thenewhumanitarian.org/news/2007/07/13/can-pastoralism-survive-21st-century (accessed on 14 December 2020).
- Isselstein, J.; Jeangros, B.; Pavlu, V. Agronomic Aspects of Biodiversity Targeted Management of Temperate Grasslands in Europe—A Review. Agron. Res. 2005, 3, 139–151. [Google Scholar]
- Finck, P.; Riecken, U.; Schröder, E. Pasture Landscapes and Nature Conservation—New strategies for the preservation of open landscapes in Europe. In Pasture Landscapes and Nature Conservation; Springer: Berlin, Germany, 2002; pp. 1–13. [Google Scholar]
- Temple, D.; Manteca, X. Animal Welfare in Extensive Production Systems Is Still an Area of Concern. Front. Sustain. Food Syst. 2020, 4, 154. [Google Scholar] [CrossRef]
- Lomillos Pérez, J.M.; de la Varga, M.E.A.; García, J.J.; Gaudioso Lacasa, V.R. Monitoring Lidia Cattle with GPS-GPRS Technology—A Study on Grazing Behaviour and Spatial Distribution. Vet. México 2018, 4, 1–17. [Google Scholar] [CrossRef]
- Llaria, A.; Terrasson, G.; Arregui, H.; Hacala, A. Geolocation and Monitoring Platform for Extensive Farming in Mountain Pastures. In Proceedings of the IEEE International Conference on Industrial Technology, Seville, Spain, 17–19 March 2015; pp. 2420–2425. [Google Scholar]
- Huircán, J.I.; Muñoz, C.; Young, H.; Von Dossow, L.; Bustos, J.; Vivallo, G.; Toneatti, M. ZigBee-Based Wireless Sensor Network Localization for Cattle Monitoring in Grazing Fields. Comput. Electron. Agric. 2010, 74, 258–264. [Google Scholar] [CrossRef]
- Krishnan, A.J.; Binu, G. Energy Efficient Tree Construction for ZigBee Router Network. In Proceedings of the 2017 2nd International Conference on Communication and Electronics Systems (ICCES), Coimbatore, India, 19–20 October 2017; pp. 746–751. [Google Scholar]
- Nkwari, P.K.M.; Rimer, S.; Paul, B.; Ferreira, H. Heterogeneous Wireless Network Based on Wi-Fi and ZigBee for Cattle Monitoring. In Proceedings of the 2015 IST-Africa Conference, Lilongwe, Malawi, 6–8 May 2015; pp. 1–9. [Google Scholar]
- Sampath, A.; Meena, P. A Novel Approach to Cattle Health Monitoring for Maximizing Dairy Output Using LoRa IoT Technology. IJARCCE 2019, 8, 94–102. [Google Scholar] [CrossRef]
- Zinas, N.; Kontogiannis, S.; Kokkonis, G.; Valsamidis, S.; Kazanidis, I. Proposed Open Source Architecture for Long Range Monitoring. The Case Study of Cattle Tracking at Pogoniani. In Proceedings of the Panhellenic Conference on Informatics, Larissa, Greece, 28–30 September 2017; pp. 1–6. [Google Scholar]
- Codeluppi, G.; Cilfone, A.; Davoli, L.; Ferrari, G. LoRaFarM: A LoRaWAN-Based Smart Farming Modular IoT Architecture. Sensors 2020, 20, 2028. [Google Scholar] [CrossRef] [PubMed]
- Zhang, C.; Kovacs, J.M. The Application of Small Unmanned Aerial Systems for Precision Agriculture: A Review. Precis. Agric. 2012, 13, 693–712. [Google Scholar] [CrossRef]
- Daponte, P.; De Vito, L.; Glielmo, L.; Iannelli, L.; Liuzza, D.; Picariello, F.; Silano, G. A Review on the Use of Drones for Precision Agriculture. In IOP Conference Series: Earth and Environmental Science; IOP Publishing: Bristol, UK, 2019; p. 12022. [Google Scholar]
- Mogili, U.R.; Deepak, B. Review on Application of Drone Systems in Precision Agriculture. Procedia Comput. Sci. 2018, 133, 502–509. [Google Scholar] [CrossRef]
- Barbedo, J.G.A.; Koenigkan, L.V.; Santos, P.M.; Ribeiro, A.R.B. Counting Cattle in UAV Images—Dealing with Clustered Animals and Animal/Background Contrast Changes. Sensors 2020, 20, 2126. [Google Scholar] [CrossRef]
- Aburasain, R.; Edirisinghe, E.; Albatay, A. Drone-Based Cattle Detection Using Deep Neural Networks; Springer: Berlin, Germany, 2020; pp. 598–611. [Google Scholar]
- Shao, W.; Kawakami, R.; Yoshihashi, R.; You, S.; Kawase, H.; Naemura, T. Cattle Detection and Counting in UAV Images Based on Convolutional Neural Networks. Int. J. Remote Sens. 2020, 41, 31–52. [Google Scholar] [CrossRef]
- Rivas, A.; Chamoso, P.; González-Briones, A.; Corchado, J.M. Detection of Cattle Using Drones and Convolutional Neural Networks. Sensors 2018, 18, 2048. [Google Scholar] [CrossRef]
- Li, X.; Xing, L. Reactive Deployment of Autonomous Drones for Livestock Monitoring Based on Density-Based Clustering. In Proceedings of the International Conference on Robotics and Biomimetics (ROBIO), Dali, China, 6–8 December 2019; pp. 2421–2426. [Google Scholar]
- Barbedo, J.G.A.; Koenigkan, L.V. Perspectives on the Use of Unmanned Aerial Systems to Monitor Cattle. Outlook Agric. 2018, 47, 214–222. [Google Scholar] [CrossRef]
- Chapa, J.M.; Maschat, K.; Iwersen, M.; Baumgartner, J.; Drillich, M. Accelerometer Systems as Tools for Health and Welfare Assessment in Cattle and Pigs—A Review. Behav. Process. 2020, 181. [Google Scholar] [CrossRef] [PubMed]
- Williams, L.; Fox, D.; Bishop-Hurley, G.J.; Swain, D. Use of Radio Frequency Identification (RFID) Technology to Record Grazing Beef Cattle Water Point Use. Comput. Electron. Agric. 2019, 156, 193–202. [Google Scholar] [CrossRef]
- Godyń, D.; Herbut, P.; Angrecka, S. Measurements of Peripheral and Deep Body Temperature in Cattle—A Review. J. Therm. Biol. 2018, 79. [Google Scholar] [CrossRef]
- Priya, M.; Jayaram, B. WSN-Based Electronic Livestock of Dairy Cattle and Physical Parameters Monitoring. In Emerging Research in Electronics, Computer Science and Technology; Springer: Singapore, 2019; pp. 37–45. ISBN 978-3-662-53832-6. [Google Scholar]
- Wang, J.; He, Z.; Ji, J.; Zhao, K.; Zhang, H. IoT-Based Measurement System for Classifying Cow Behavior from Tri-Axial Accelerometer. Ciênc. Rural 2019, 49. [Google Scholar] [CrossRef]
- Tamura, T.; Okubo, Y.; Deguchi, Y.; Koshikawa, S.; Takahashi, M.; Chida, Y.; Okada, K. Dairy Cattle Behavior Classifications Based on Decision Tree Learning Using 3-Axis Neck-Mounted Accelerometers. Anim. Sci. J. 2019, 90. [Google Scholar] [CrossRef]
- Riaboff, L.; Aubin, S.; Bédère, N.; Couvreur, S.; Madouasse, A.; Goumand, E.; Chauvin, A.; Plantier, G. Evaluation of Pre-Processing Methods for the Prediction of Cattle Behaviour from Accelerometer Data. Comput. Electron. Agric. 2019. [Google Scholar] [CrossRef]
- Jalal, A.; Quaid, M.A.K.; Kim, K. A Study of Accelerometer and Gyroscope Measurements in Physical Life-Log Activities Detection Systems. Sensors 2020, 20, 6670. [Google Scholar]
- Marqués, G.; Basterretxea, K. Efficient Algorithms for Accelerometer-Based Wearable Hand Gesture Recognition Systems. In Proceedings of the 13th International Conference on Embedded and Ubiquitous Computing, Porto, Portugal, 21–23 October 2015; pp. 132–139. [Google Scholar]
- Sukor, A.A.; Zakaria, A.; Rahim, N.A. Activity Recognition Using Accelerometer Sensor and Machine Learning Classifiers. In Proceedings of the 14th International Colloquium on Signal Processing & Its Applications (CSPA), Penang, Malaysia, 9–10 March 2018; pp. 233–238. [Google Scholar]
- Jahanjoo, A.; Tahan, M.N.; Rashti, M.J. Accurate Fall Detection Using 3-Axis Accelerometer Sensor and MLF Algorithm. In Proceedings of the 3rd International Conference on Pattern Recognition and Image Analysis (IPRIA), Shahrekord, Iran, 19–20 April 2017; pp. 90–95. [Google Scholar]
- Sancheti, P.; Shedge, R.; Pulgam, N. Word-IPCA: An Improvement in Dimension Reduction Techniques. In Proceedings of the International Conference on Control, Power, Communication and Computing Technologies, Kannur, India, 23–24 March 2018; pp. 575–578. [Google Scholar]
- Padmaja, D.L.; Vishnuvardhan, B. Comparative Study of Feature Subset Selection Methods for Dimensionality Reduction on Scientific Data. In Proceedings of the 6th International Conference on Advanced Computing (IACC), Bhimavaram, India, 27–28 February 2016; pp. 31–34. [Google Scholar]
- Choudhury, S.; Bandyopadhyay, S.; Mukhopadhyay, S.; Mukherjee, S. Vector Quantization and Multi Class Support Vector Machines Based Fingerprint Classification. In Proceedings of the International Conference on Inventive Computation Technologies, Coimbatore, India, 26–27 August 2016; pp. 1–4. [Google Scholar]
- Banerjee, A.; Ghosh, J. Frequency-Sensitive Competitive Learning for Scalable Balanced Clustering on High-Dimensional Hyperspheres. IEEE Trans. Neural Netw. 2004, 15, 702–719. [Google Scholar] [CrossRef]
- Pelayo, E.; Buldain, D.; Orrite, C. Magnitude Sensitive Competitive Learning. Neurocomputing 2013, 112, 4–18. [Google Scholar] [CrossRef]
- Vizárraga, J.; Casas, R.; Marco, Á.; Buldain, J. Dimensionality Reduction for Smart IoT Sensors. Electronics 2020, 9, 2035. [Google Scholar] [CrossRef]
- Blanco, T.; Casas, R.; Manchado-Pérez, E.; Asensio, Á.; López-Pérez, J.M. From the Islands of Knowledge to a Shared Understanding: Interdisciplinarity and Technology Literacy for Innovation in Smart Electronic Product Design. Int. J. Technol. Des. Educ. 2017, 27, 329–362. [Google Scholar] [CrossRef]
- LoRa Alliance. LoRaWAN Regional Parameters. Available online: https://lora-alliance.org/sites/default/files/2020-06/rp_2-1.0.1.pdf (accessed on 14 December 2020).
- LoRaWAN Security Whitepaper. Available online: https://lora-alliance.org/sites/default/files/2019-05/lorawan_security_whitepaper.pdf (accessed on 14 December 2020).
- Stisen, A.; Blunck, H.; Bhattacharya, S.; Prentow, T.S.; Kjærgaard, M.B.; Dey, A.; Sonne, T.; Jensen, M.M. Smart Devices Are Different: Assessing and Mitigatingmobile Sensing Heterogeneities for Activity Recognition. In Proceedings of the 13th ACM Conference on Embedded Networked Sensor Systems, Seoul, Korea, 1–4 November 2015; pp. 127–140. [Google Scholar]
- Weise, F.J.; Hauptmeier, H.; Stratford, K.J.; Hayward, M.W.; Aal, K.; Heuer, M.; Tomeletso, M.; Wulf, V.; Somers, M.J.; Stein, A.B. Lions at the Gates: Trans-Disciplinary Design of an Early Warning System to Improve Human-Lion Coexistence. Front. Ecol. Evol. 2019, 6, 242. [Google Scholar] [CrossRef]
- Tang, Y.; Dananjayan, S.; Hou, C.; Guo, Q.; Luo, S.; He, Y. A Survey on the 5G Network and Its Impact on Agriculture: Challenges and Opportunities. Comput. Electron. Agric. 2021, 180, 105895. [Google Scholar] [CrossRef]
- ETSI UMTS Terrestrial Radio Access Network (UTRAN); UTRA FDD; Radio Transmission and Reception (UMTS XX.06 Version 1.0.0). Available online: https://www.3gpp.org/ftp/tsg_ran/TSG_RAN/TSGR_02/Docs/pdfs/RP-99028.pdf (accessed on 22 January 2021).
- Yamaguchi, H.; Tsurita, G.; Ueno, S.; Watanabe, S.; Wake, K.; Taki, M.; Nagawa, H. 1439 MHz Pulsed TDMA Fields Affect Performance of Rats in a T-maze Task Only When Body Temperature Is Elevated. Bioelectromagnetics 2003, 24, 223–230. [Google Scholar]
- Zook, B.C.; Simmens, S.J. The Effects of 860 MHz Radiofrequency Radiation on the Induction or Promotion of Brain Tumors and Other Neoplasms in Rats. Radiat. Res. 2001, 155, 572–583. [Google Scholar] [CrossRef]
- La Regina, M.; Moros, E.G.; Pickard, W.F.; Straube, W.L.; Baty, J.; Roti Roti, J.L. The Effect of Chronic Exposure to 835.62 MHz FDMA or 847.74 MHz CDMA Radiofrequency Radiation on the Incidence of Spontaneous Tumors in Rats. Radiat. Res. 2003, 160, 143–151. [Google Scholar] [CrossRef]
- Ziemann, C.; Brockmeyer, H.; Reddy, S.B.; Vijayalaxmi, M.; Prihoda, T.J.; Kuster, N.; Tillmann, T.; Dasenbrock, C. Absence of Genotoxic Potential of 902 MHz (GSM) and 1747 MHz (DCS) Wireless Communication Signals: In Vivo Two-Year Bioassay in B6C3F1 Mice. Int. J. Radiat. Biol. 2009, 85, 454–464. [Google Scholar]
- Utteridge, T.D.; Gebski, V.; Finnie, J.W.; Vernon-Roberts, B.; Kuchel, T.R. Long-Term Exposure of Eμ-Pim1 Transgenic Mice to 898.4 MHz Microwaves Does Not Increase Lymphoma Incidence. Radiat. Res. 2002, 158, 357–364. [Google Scholar] [CrossRef]
- Oliveira, L.; Rodrigues, J.J.; Kozlov, S.A.; Rabêlo, R.A.; Furtado, V. Performance Assessment of Long-range and Sigfox Protocols with Mobility Support. Int. J. Commun. Syst. 2019, 32, e3956. [Google Scholar] [CrossRef]
- Everynet. Coverage. Available online: https://www.everynet.com/coverage (accessed on 22 January 2021).
- Trasviña-Moreno, C.A.; Blasco, R.; Marco, Á.; Casas, R.; Trasviña-Castro, A. Unmanned Aerial Vehicle Based Wireless Sensor Network for Marine-Coastal Environment Monitoring. Sensors 2017, 17, 460. [Google Scholar]
- Sali, S.; Parvathi, C. Health Monitoring System Using Wireless Sensor Network. Int. J. Eng. Res. Appl. 2018, 8, 4–12. [Google Scholar]













| Modulation | Payload | Time | Throughput | Energy per Byte | Link Budget |
|---|---|---|---|---|---|
| LoRa (DR1) | 8 bytes | 495 ms | 129.3 b/s | 712 uJ | 148 dB |
| LoRa (DR5) | 228 bytes | 358 ms | 5.1 kb/s | 18.1 uJ | 138 dB |
| FSK | 61 bytes | 11 ms | 44.4 kb/s | 2.1 uJ | 123 dB |
| Mode | TGNSS-SAMPLE | FSENSOR-SAMPLE | TREPORT | Energy per Day 1 | Li-SOCl2 Lifetime 2 | Alkaline Lifetime 3 | Li-Ion Lifetime 4 |
|---|---|---|---|---|---|---|---|
| Beacon | 1 h | - | 1 h | 31.2 J | 9.0 years | 2.8 years | 4.2 years |
| Beacon | 1 h | - | 10′ | 37.9 J | 7.4 years | 2.3 years | 3.4 years |
| Beacon | 10′ | - | 10′ | 124.9 J | 2.2 years | 256 days | 1 year |
| Beacon + Smart movement | 10′ | 12 Hz | 10′ | 98.7 J | 2.8 years | 323 days | 1.3 year |
| Movement monitor (Lora DR1) | 10′ | 12 Hz | event-based 3 | 239 J | 1.2 years | 133 days | 200 days |
| Movement monitor (FSK) | 10′ | 12 Hz | event-based 5 | 248.5 J | 2.4 years | 375 days | 1.1 year |
| Sample Size (Bytes) | Sampling Freq (Hz) | Window Size (s) | Centroids | Codebook Size (KB) | Compression Rate | Data Rate (bps) |
|---|---|---|---|---|---|---|
| 3-axis (6 bytes) | 10 | 1 | 256 | 15.36 | 60 | 8 |
| 1024 | 61.44 | 30 | 16 | |||
| 4096 | 245.76 | 30 | 16 | |||
| 5 | 256 | 76.8 | 300 | 1.6 | ||
| 1024 | 307.2 | 150 | 3.2 | |||
| 4096 | 1228.8 | 150 | 3.2 | |||
| 10 | 256 | 153.6 | 600 | 0.8 | ||
| 1024 | 614.4 | 300 | 1.6 | |||
| 4096 | 2457.6 | 300 | 1.6 | |||
| 20 | 1 | 256 | 30.72 | 120 | 8 | |
| 1024 | 122.88 | 60 | 16 | |||
| 4096 | 491.52 | 60 | 16 | |||
| 5 | 256 | 153.6 | 600 | 1.6 | ||
| 1024 | 614.4 | 300 | 3.2 | |||
| 4096 | 2457.6 | 300 | 3.2 | |||
| 10 | 256 | 307.2 | 600 | 1.6 | ||
| 1024 | 1228.8 | 600 | 1.6 | |||
| 4096 | 4915.2 | 600 | 1.6 | |||
| 1-axis (2 bytes) | 10 | 1 | 256 | 5.12 | 20 | 8 |
| 1024 | 20.48 | 10 | 16 | |||
| 4096 | 81.92 | 10 | 16 | |||
| 5 | 256 | 25.6 | 100 | 1.6 | ||
| 1024 | 102.4 | 50 | 3.2 | |||
| 4096 | 409.6 | 50 | 3.2 | |||
| 10 | 256 | 51.2 | 200 | 0.8 | ||
| 1024 | 204.8 | 100 | 1.6 | |||
| 4096 | 819.2 | 100 | 1.6 | |||
| 20 | 1 | 256 | 10.24 | 40 | 8 | |
| 1024 | 40.96 | 20 | 16 | |||
| 4096 | 163.84 | 20 | 16 | |||
| 5 | 256 | 51.2 | 200 | 1.6 | ||
| 1024 | 204.8 | 100 | 3.2 | |||
| 4096 | 819.2 | 100 | 3.2 | |||
| 10 | 256 | 102.4 | 400 | 0.8 | ||
| 1024 | 409.6 | 200 | 1.6 | |||
| 4096 | 1638.4 | 200 | 1.6 |
Publisher’s Note: MDPI stays neutral with regard to jurisdictional claims in published maps and institutional affiliations. |
© 2021 by the authors. Licensee MDPI, Basel, Switzerland. This article is an open access article distributed under the terms and conditions of the Creative Commons Attribution (CC BY) license (http://creativecommons.org/licenses/by/4.0/).
Share and Cite
Casas, R.; Hermosa, A.; Marco, Á.; Blanco, T.; Zarazaga-Soria, F.J. Real-Time Extensive Livestock Monitoring Using LPWAN Smart Wearable and Infrastructure. Appl. Sci. 2021, 11, 1240. https://doi.org/10.3390/app11031240
Casas R, Hermosa A, Marco Á, Blanco T, Zarazaga-Soria FJ. Real-Time Extensive Livestock Monitoring Using LPWAN Smart Wearable and Infrastructure. Applied Sciences. 2021; 11(3):1240. https://doi.org/10.3390/app11031240
Chicago/Turabian StyleCasas, Roberto, Arturo Hermosa, Álvaro Marco, Teresa Blanco, and Francisco Javier Zarazaga-Soria. 2021. "Real-Time Extensive Livestock Monitoring Using LPWAN Smart Wearable and Infrastructure" Applied Sciences 11, no. 3: 1240. https://doi.org/10.3390/app11031240
APA StyleCasas, R., Hermosa, A., Marco, Á., Blanco, T., & Zarazaga-Soria, F. J. (2021). Real-Time Extensive Livestock Monitoring Using LPWAN Smart Wearable and Infrastructure. Applied Sciences, 11(3), 1240. https://doi.org/10.3390/app11031240

