A Macro–Micro Damage Model for Rock under Compression Loading
Abstract
:1. Introduction
2. Wing Crack Model Analysis
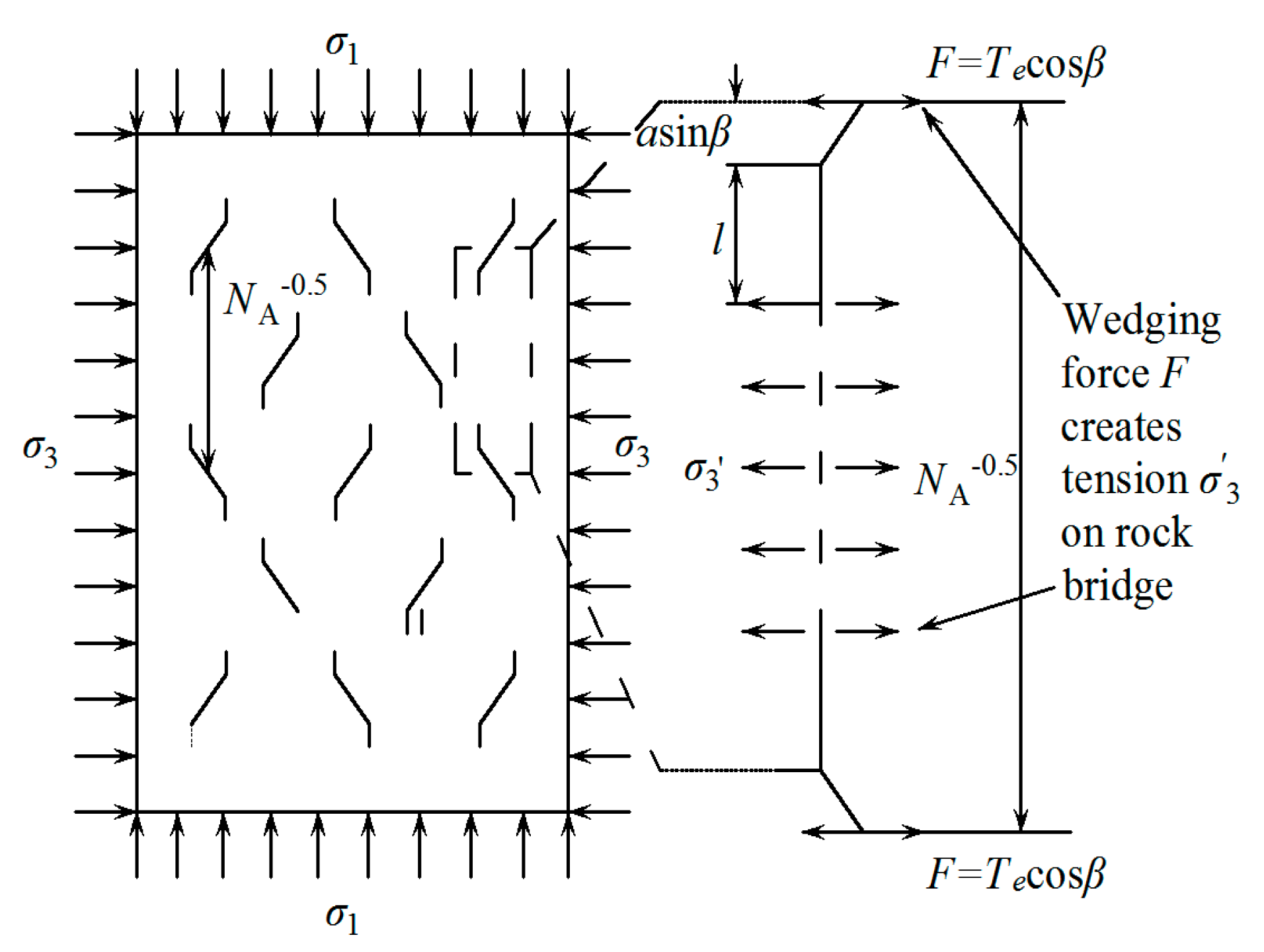
2.1. Improved Wing Crack Model
- (1)
- A component for the two straight wing cracks of common length l, regarded as a single isolated straight crack of length 2l, and subjected to the far field stresses.
- (2)
- A component due to effective shear stress induced by the presence of the main crack subjected to the far field stresses.
2.2. Comparative Analysis of Models
- (1)
- Main crack inclination angle β: 0.2π and 0.4π;
- (2)
- Stress ratio λ = σ3/σ1: 0 and 0.2 (uniaxial compression and biaxial compression);
- (3)
- The equivalent crack propagation length l/a: 0.0001 and 1 (rather short wing crack and long wing crack).
- (1)
- When l/a = 0.0001, that is, the wing crack length is rather short. The calculation results of the S model and current model are basically consistent. Of course, deviation of the results given by the HN model is also small. However, it can be seen from Figure 4a,b that when θ is equal to about 70.5°, the stress intensity factors predicted by the S model and the current model in this study all reach the maximum value except for the HN model. This is consistent with the theoretical cracking angle θc (i.e., θc = 70.5°) of wing crack [3], while the predicted cracking angle of HN model is 90°.
- (2)
- When l/a = 1, that is, the wing crack length is long. It can be seen from Figure 4c,d that the calculation results of the HN model and current model are basically consistent. The results given by S model are generally too large, indicating that S model is not suitable for the case of long wing crack. With the increase of confining pressure and the main crack inclination angle β, the deviation of the result given by the S model becomes more obvious. However, the large deviation mainly occurs when the stress intensity factor is negative. The negative stress intensity factor indicates that the wing crack has been closed and would not propagate.
3. Description of the Damage Model
3.1. Relationship between Stress and Crack Growth in Compression
3.2. Relationship between Microcrack Growth and Macroscopic Strain
3.3. Stress–Strain Relationship during Progressive Failure
4. Results
4.1. Triaxial Tests and Parameters Determination
4.2. Verification of the Present Model
4.2.1. Verification of Current Model by the Sandstone Triaxial Experiment Results
4.2.2. Reliability Verification of Current Model
5. Discussion
5.1. Effects of Initial Microcrack Size a and Friction Coefficient μ on Stress–Strain Relationship
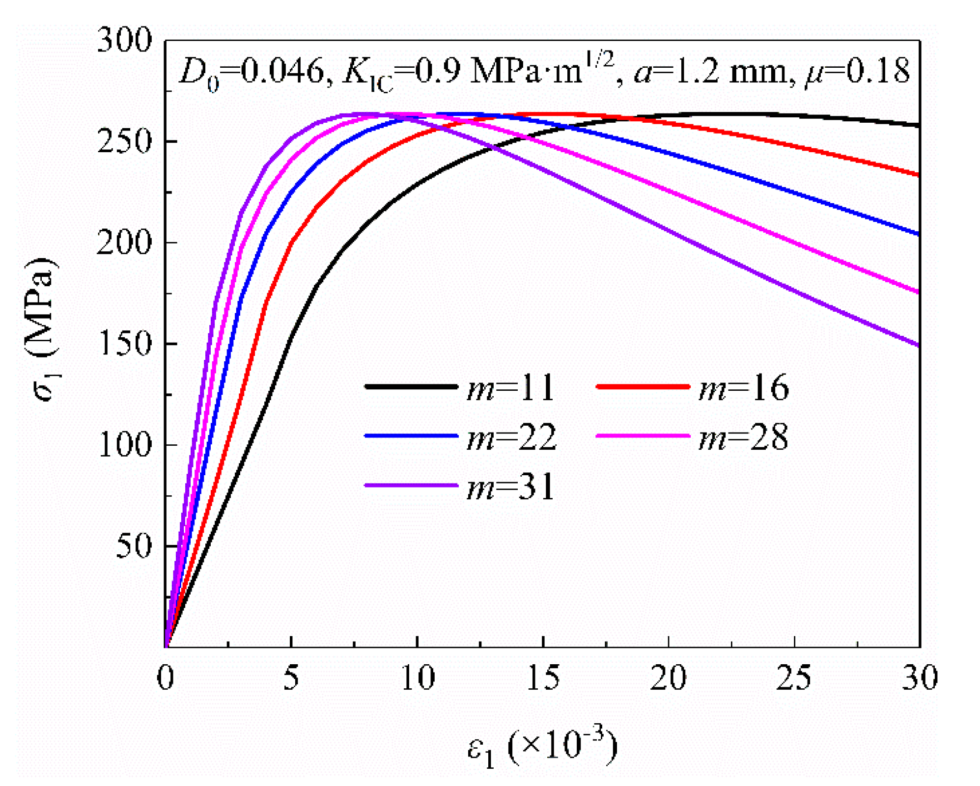
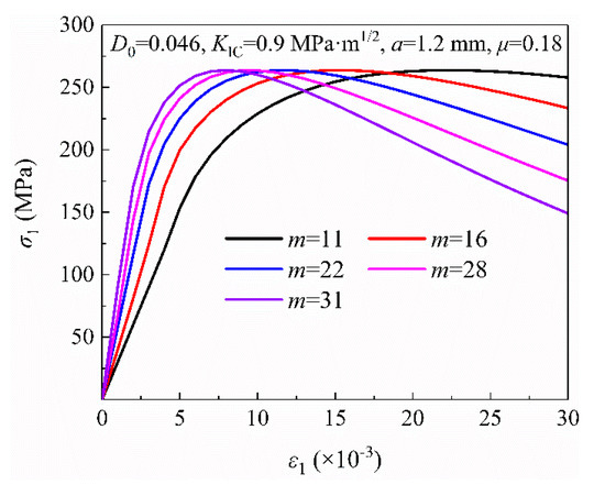
5.2. Effect of Parameter m on Stress–Strain Relationship
5.3. Effect of Fracture Toughness KIC on Stress–Strain Relationship
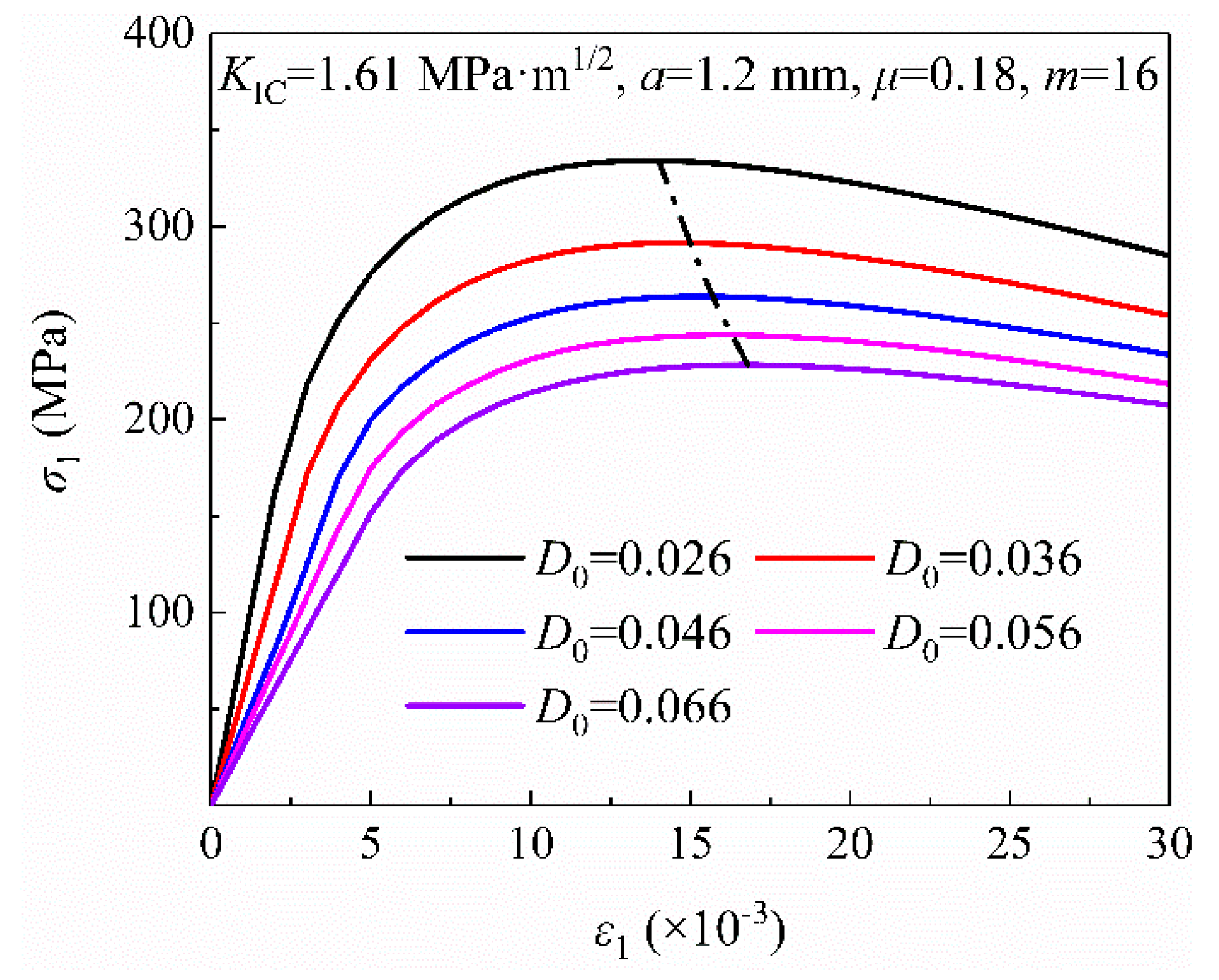
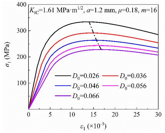
5.4. Effect of Initial Damage D0 on Stress–Strain Relationship
6. Conclusions
- (1)
- Through studying the cracking and propagation laws of compressive–shear rock cracks under remote stress field, a new calculation model for the mode-I stress intensity factor KI at wing crack tip was proposed considering the interaction of wing cracks and the additional stress caused by rock bridge damage. The results showed that compared with the classical model proposed by Horii and Nemat-Nasser [2] (i.e., Equation (1)), the proposed calculation model can accurately predict the cracking angle of wing crack. Compared with S model (i.e., Equation (4)), when the equivalent crack propagation length is long, the proposed criterion has a higher accuracy than the Equation (4). Compared with LK model (i.e., Equation (5)), when the equivalent crack propagation length is short (l/a < 1), the prediction accuracy of this model is higher than that of Equation (5). In conclusion, the proposed calculation model can simulate the whole range of variation of wing crack length from being extremely short to very long.
- (2)
- Based on the modified calculation model for the mode-I stress intensity factor KI, a homogenization method is used to establish the macro–micro damage model for rock materials by combining the relationship between microcrack growth and macroscopic strain. By comparing the test curves with the theoretical curves, the results show that the proposed damage constitutive model can both simulate stress–strain response in the failure process of the sandstone samples, and identify the peak strength of rock well. Furthermore, comparing experimental and theoretical relations between crack initiation stress and confining pressure, model parameters (i.e., μ, a, and β) hardly measured by test are solved. The proposed macro–micro damage model based on micromechanics can continuously describe the relationship between stress–strain curve for rock materials, which provides a simple and easy method to study the effect of microcrack growth on the progressive failure process of rock under compression loading.
- (3)
- Effects of initial microcrack size, microcrack friction coefficient, fracture toughness, initial damage and parameter m on the stress–strain relationship are studied. It was found that with the increase in the value m, the peak compressive strength of rock remains unchanged, and the corresponding peak strain decreases gradually. Parameter m can be used to reflect the brittleness and ductility of rock materials to a certain extent. The peak compressive strength of rock increases with the increase of microcrack friction coefficient and fracture toughness. However, the peak strength of rock decreases with the increase of initial microcrack size and initial damage.
Author Contributions
Funding
Institutional Review Board Statement
Informed Consent Statement
Data Availability Statement
Conflicts of Interest
References
- Horri, H.; Nemat-Nasser, S. Compression-induced micro-crack growth in brittle solids. Axial splitting and shear failure. J. Geophys. Res. 1985, 90, 3105–3125. [Google Scholar] [CrossRef]
- Horii, H.; Nemat-Nasser, S. Brittle Failure in Compression: Splitting, Faulting and Brittle-Ductile Transition. Phil. Trans. Roy. Soc. 1986, 319, 337–374. [Google Scholar]
- Ashby, M.F.; Hallam, S.D. The failure of brittle solids containing small cracks under compressive stress states. Acta. Metall. 1986, 34, 497–510. [Google Scholar] [CrossRef]
- Cao, W.G.; Tan, X.; Zhang, C.; He, M. Constitutive model to simulate full deformation and failure process for rocks considering initial compression and residual strength behaviors. Can. Geotech. J. 2019, 37, 649–661. [Google Scholar] [CrossRef]
- Liu, G.; Jiang, Q.H.; Xiong, F. Experimental study of crack propagation and deformation failure of multiple-jointed rock mass. Rock Soil Mech. 2016, 37, 151–158. [Google Scholar]
- Zhang, H.M.; Meng, X.Z.; Yang, G.S. A study on mechanical properties and damage model of rock subjected to freeze-thaw cycles and confining pressure. Cold Reg. Sci. Technol. 2020, 174, 103056. [Google Scholar] [CrossRef]
- Zhu, W.S.; Zhang, Q.Y. Brittle elastic fracture damage constitutive model of jointed rockmass and its application to engineering. Chin. J. Rock Mech. Eng. 1990, 18, 245–249. [Google Scholar]
- Chen, W.Z.; Li, S.C.; Qiu, X.B.; Zhu, W.S. Fracture-damage coupled model of jointed rock mass and its application to stability of large underground caverns. Rock Soil Mech. 2002, 23, 288–291. [Google Scholar]
- Li, S.C.; Li, S.C.; Zhu, W.S.; Chen, W.Z.; Qiu, X.B. Fracture-damage stability analysis of underground powerhouse in right bank of Three Gorges. Rock Soil Mech. 2000, 21, 193–197. [Google Scholar]
- Wu, X.Y.; Baud, P.; Wong, T.F. Micromechanics of compressive failure and spatial evolution of anisotropic damage in Darley Dale sandstone. Int. J. Rock Mech. Min. Sci. 2000, 37, 143–160. [Google Scholar] [CrossRef]
- Zhu, Z.D.; Huang, Q.; Wang, J.B.; Shao, J.F.; Wang, W. Mesoscopic experiment on degradation evolution of rock deformation and its meso-damage mechanical model. Chin. J. Rock Mech. Eng. 2013, 32, 1167–1175. [Google Scholar]
- Zhou, X.P. Triaxial compressive behavior of rock with mesoscopic heterogenous behavior: Strain energy density factor approach. Theor. Appl. Fract. Mech. 2006, 45, 46–63. [Google Scholar] [CrossRef]
- Huang, C.; Subhash, G.; Vitton, S.J. A dynamic damage growth model for uniaxial compressive response of rock aggregates. Mech. Mater. 2002, 34, 267–277. [Google Scholar] [CrossRef]
- Li, H.B.; Zhao, J.; Li, T.J. Micromechanical modelling of the mechanical properties of a granite under dynamic uniaxial compressive loads. Int. J. Rock Mech. Min. Sci. 2000, 37, 923–935. [Google Scholar] [CrossRef]
- Li, H.B.; Zhao, J.; Li, T.J.; Yuan, J.X. Analytical simulation of the dynamic compressive strength of a granite using the sliding crack model. Int. J. Numer. Anal. Meth. Geomech. 2001, 25, 853–869. [Google Scholar] [CrossRef]
- Ashby, M.F.; Sammis, C.G. The damage mechanics of brittle solids in compression. Pure. Appl. Geophys. 1990, 133, 489–521. [Google Scholar] [CrossRef]
- Li, X.Z.; Shao, Z.S.; Fan, L.F. A micro-macro method for predicting the shear strength of brittle rock under compressive loading. Mech. Res. Commun. 2016, 75, 13–19. [Google Scholar] [CrossRef]
- Li, X.Z.; Qi, C.Z.; Shao, Z.S.; Xia, C. Effects of crack inclination on shear failure of brittle geomaterials under compression. Arab. J. Geosci. 2017, 10, 529. [Google Scholar] [CrossRef]
- Steif, P.S. Crack extension under compressive loading. Eng. Fract. Mech. 1984, 20, 463–473. [Google Scholar] [CrossRef]
- Lehner, F.; Kachanov, M. On modeling of "winged" cracks forming under compression. Int. J. Fract. 1996, 77, 65–75. [Google Scholar] [CrossRef]
- Zhou, J.W.; Xu, W.Y.; Yang, X.G. A microcrack damage model for brittle rocks under uniaxial compression. Mech. Res. Commun. 2010, 37, 399–405. [Google Scholar] [CrossRef]
- Zhou, X.P.; Yang, H.Q. Micromechanical modeling of dynamic compressive responses of mesoscopic heterogenous brittle rock. Theor. Appl. Fract. Mech. 2007, 48, 1–20. [Google Scholar] [CrossRef]
- Baud, P.; Reuschle, T.; Charlez, P. An improved wing crack model for the deformation and failure of rock in compression. Int. J. Rock Mech. Min. Sci. 1996, 33, 539–542. [Google Scholar] [CrossRef]
- Sih, G. Handbook of Stress Intensity Factors; Lehigh University: Bethlehem, PA, USA, 1973. [Google Scholar]
- Cotterell, B.; Rice, J.R. Slightly curved or kinked cracks. Int. J. Fract. 1980, 16, 155–169. [Google Scholar] [CrossRef]
- Weibull, W. A statistical distribution function of wide applicability. J. Appl. Mech. 1951, 18, 293–297. [Google Scholar] [CrossRef]
- Chen, Z.H.; Tang, C.A.; Huang, R.Q. A double rock sample model for rockbursts. Int. J. Rock Mech. Min. Sci. 1997, 34, 991–1000. [Google Scholar] [CrossRef]
- Kachanov, M.L. A microcrack model of rock inelasticity part II: Propagation of microcracks. Mech. Mater. 1982, 1, 29–41. [Google Scholar] [CrossRef]
- Bhat, H.S.; Sammis, C.G.; Rosakis, A.J. The micromechanics of Westerley granite at large compressive loads. Pure. Appl. Geophys. 2011, 168, 2181–2198. [Google Scholar] [CrossRef] [Green Version]
- Yang, J.H.; Zhang, W.J.; Lu, W.B.; Chen, M.; Yan, P. Cracking mechanism of surrounding rock induced by release of excavation load in deep tunnel. Chin. J. Rock Mech. Eng. 2013, 32, 1222–1228. [Google Scholar]
- Martin, C.D.; Chandler, N.A. The progressive fracture of Lac du Bonnet granite. Int. J. Rock Mech. Min. Sci. 1944, 31, 643–659. [Google Scholar] [CrossRef]
- Zhu, Z.Q.; Sheng, Q.; Leng, X.L.; Zhang, Z.R. Study on crack initiation mechanism of three gorges granite. Chin. J. Rock Mech. Eng. 2007, 26, 2570–2575. [Google Scholar]
- Wang, B.; Zhu, J.B.; Wu, A.Q.; Hu, J.M.; Xiong, Z.M. Experimental study on mechanical properties of jinping marble under loading and unloading stress paths. Chin. J. Rock Mech. Eng. 2008, 27, 2138–2145. [Google Scholar]
- Li, X.Z.; Shao, Z.S. Micro–macro modeling of brittle creep and progressive failure subjected to compressive loading in rock. Environ. Earth Sci. 2016, 75, 583. [Google Scholar] [CrossRef]
- Li, X.Z.; Shao, Z.S. Investigation of Macroscopic Brittle Creep Failure Caused by Microcrack Growth under Step Loading and Unloading in Rocks. Rock Mech. Rock Eng. 2016, 49, 2581–2593. [Google Scholar] [CrossRef]















Publisher’s Note: MDPI stays neutral with regard to jurisdictional claims in published maps and institutional affiliations. |
© 2021 by the authors. Licensee MDPI, Basel, Switzerland. This article is an open access article distributed under the terms and conditions of the Creative Commons Attribution (CC BY) license (https://creativecommons.org/licenses/by/4.0/).
Share and Cite
Peng, Z.; Zeng, Y.; Chen, X.; Cheng, S. A Macro–Micro Damage Model for Rock under Compression Loading. Appl. Sci. 2021, 11, 12154. https://doi.org/10.3390/app112412154
Peng Z, Zeng Y, Chen X, Cheng S. A Macro–Micro Damage Model for Rock under Compression Loading. Applied Sciences. 2021; 11(24):12154. https://doi.org/10.3390/app112412154
Chicago/Turabian StylePeng, Zhixiong, Yawu Zeng, Xi Chen, and Shufan Cheng. 2021. "A Macro–Micro Damage Model for Rock under Compression Loading" Applied Sciences 11, no. 24: 12154. https://doi.org/10.3390/app112412154
APA StylePeng, Z., Zeng, Y., Chen, X., & Cheng, S. (2021). A Macro–Micro Damage Model for Rock under Compression Loading. Applied Sciences, 11(24), 12154. https://doi.org/10.3390/app112412154
