Prestack Seismic Inversion via Nonconvex L1-2 Regularization
Abstract
:1. Introduction
2. Method
2.1. The Forward Problem
2.2. Establishment of Low-Frequency Model Constraints
2.3. Construction of the Inversion Objective Function
2.4. Decorrelation Processing of Inversion Parameters
2.5. Resolving the Inversion Objective Function
3. Synthetic Examples
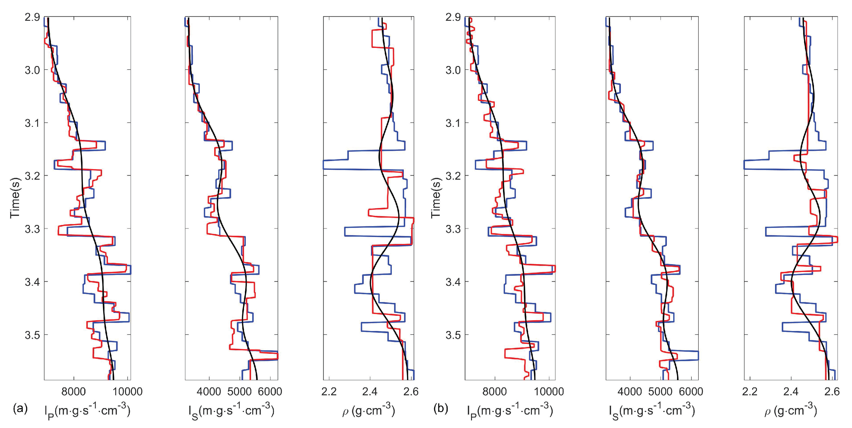
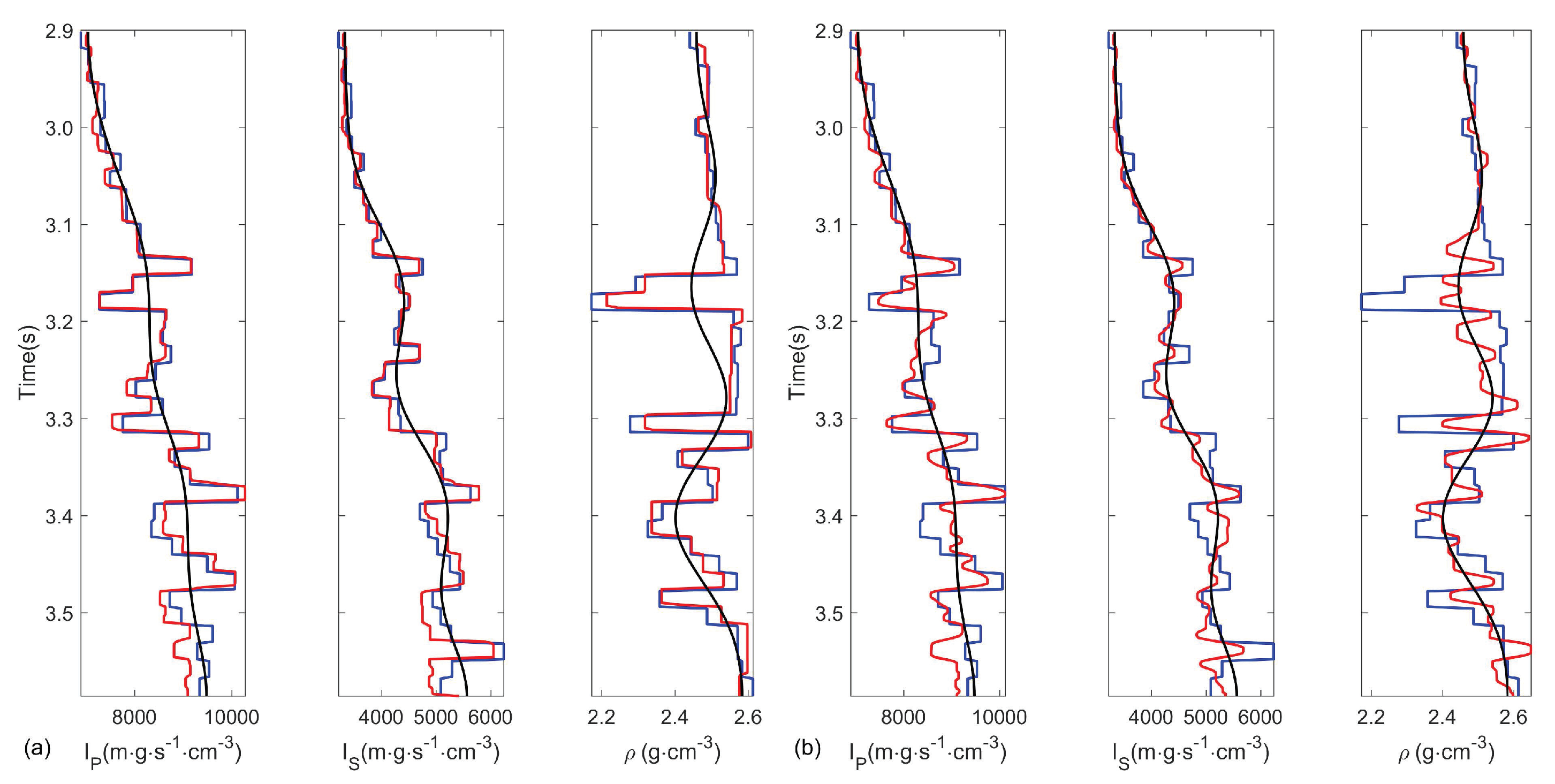
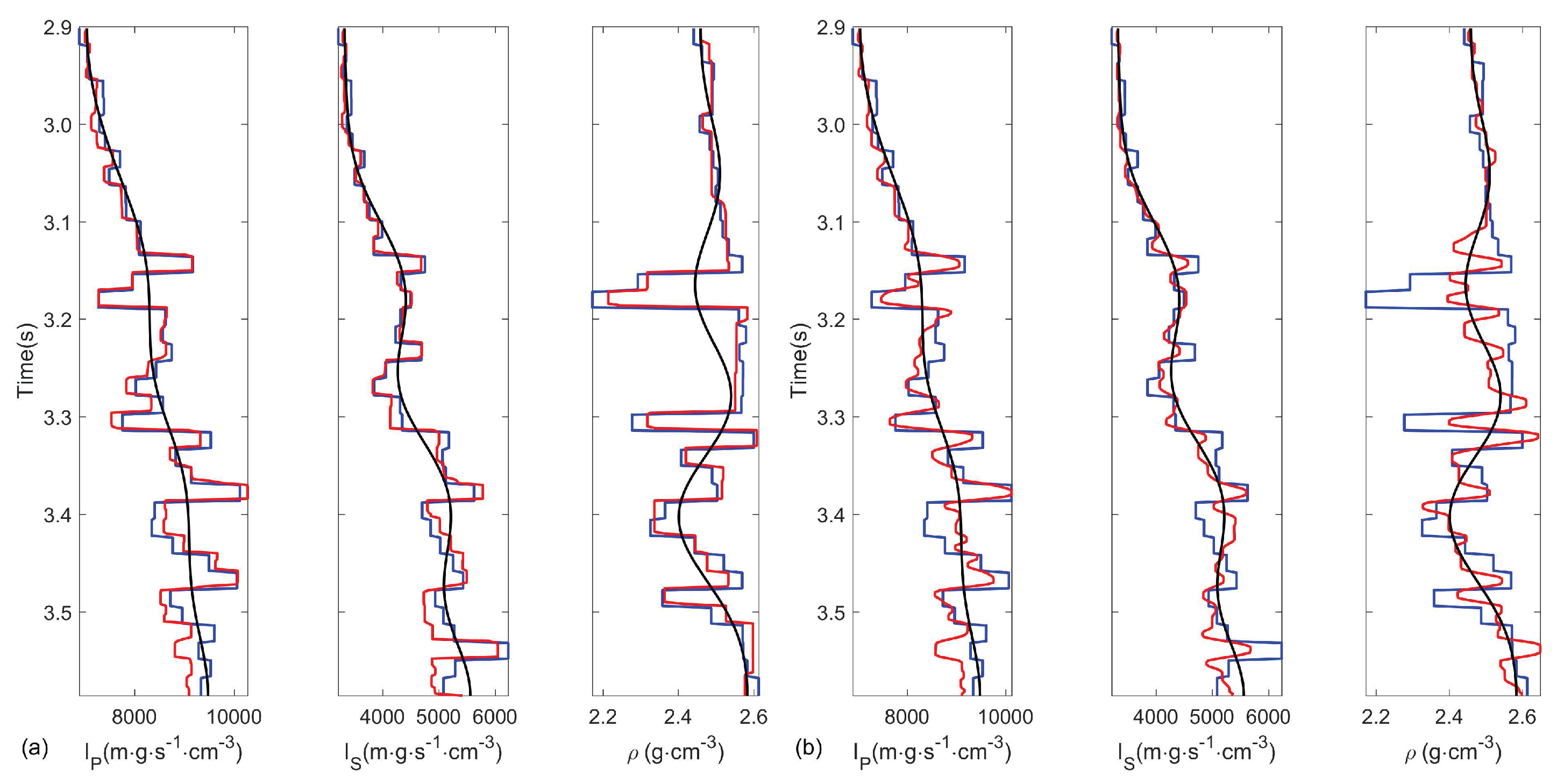
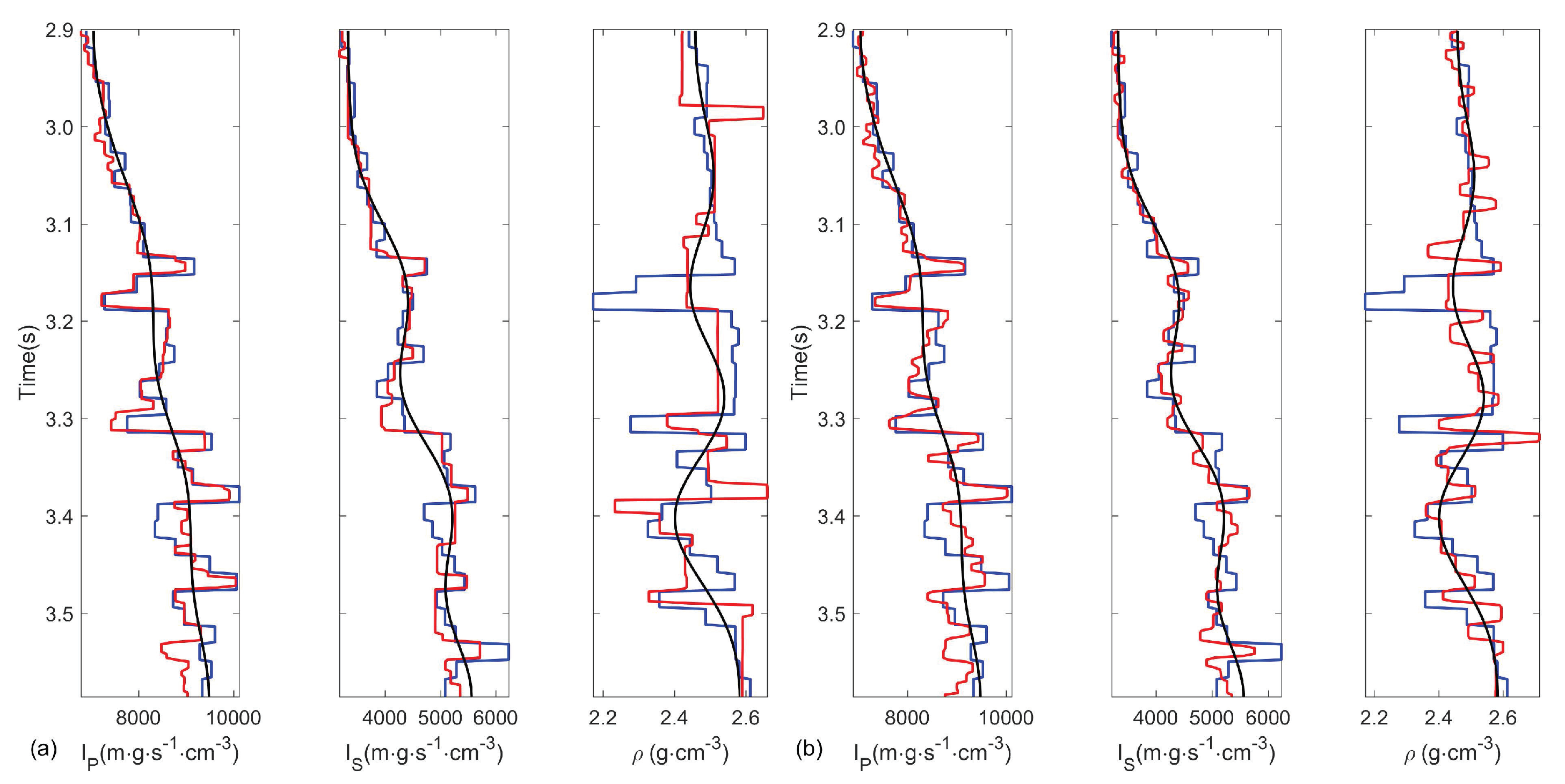
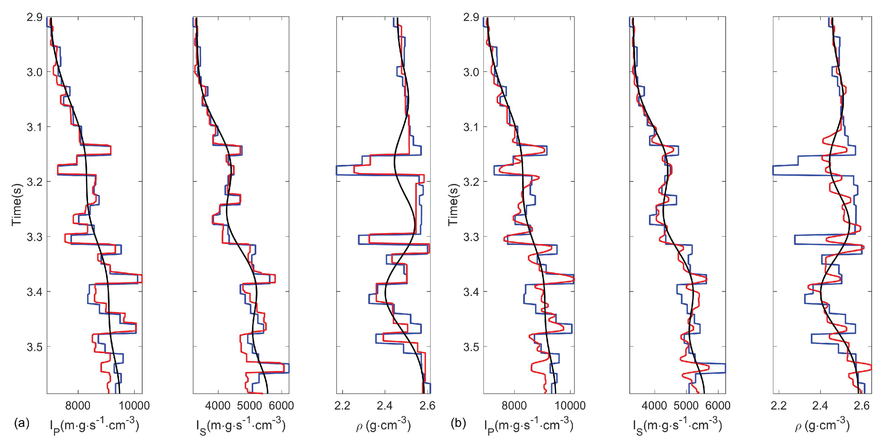
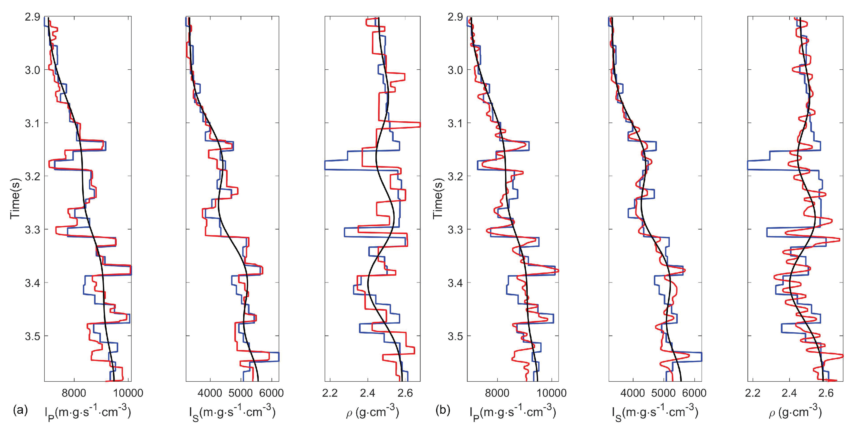
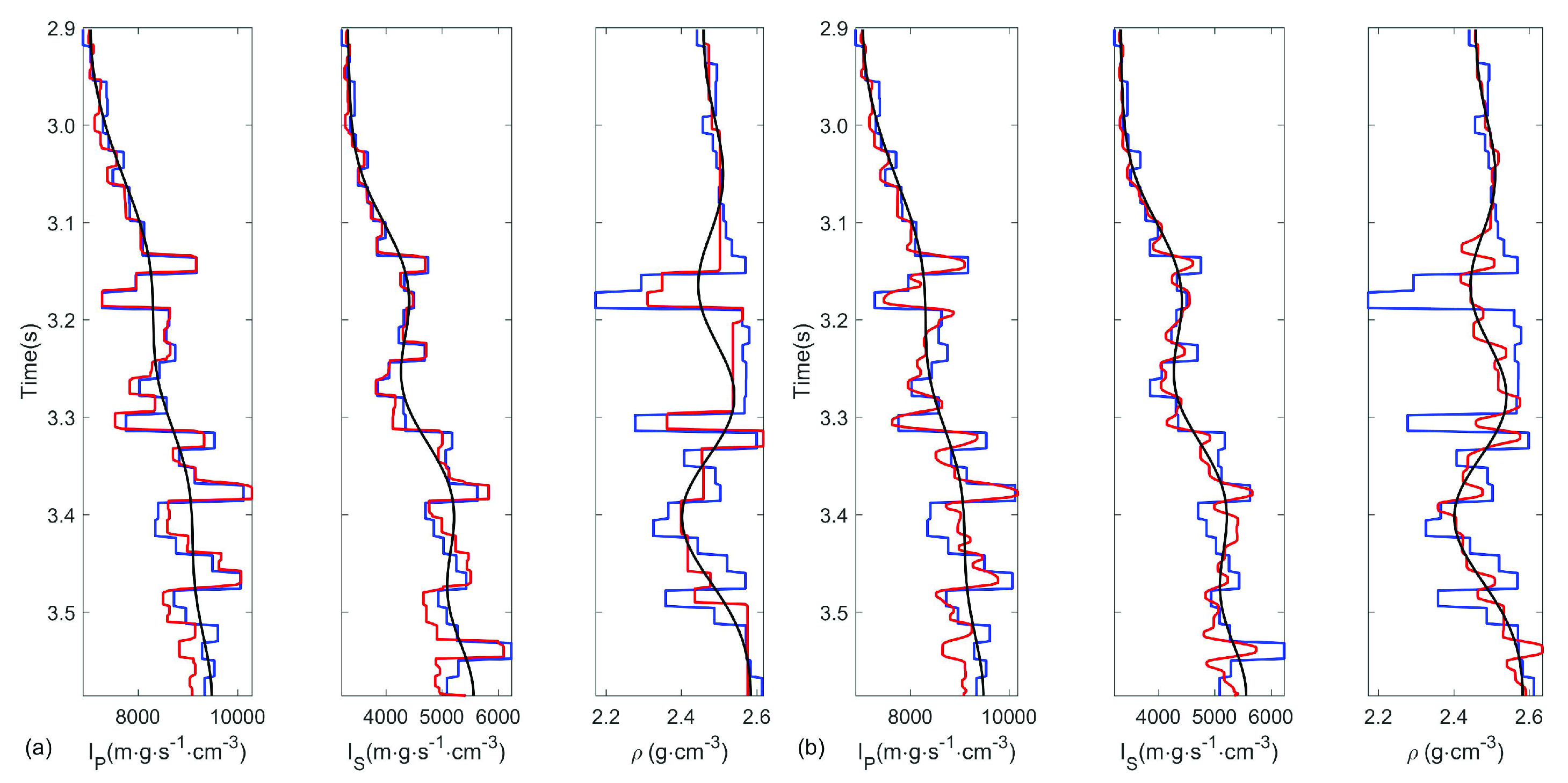
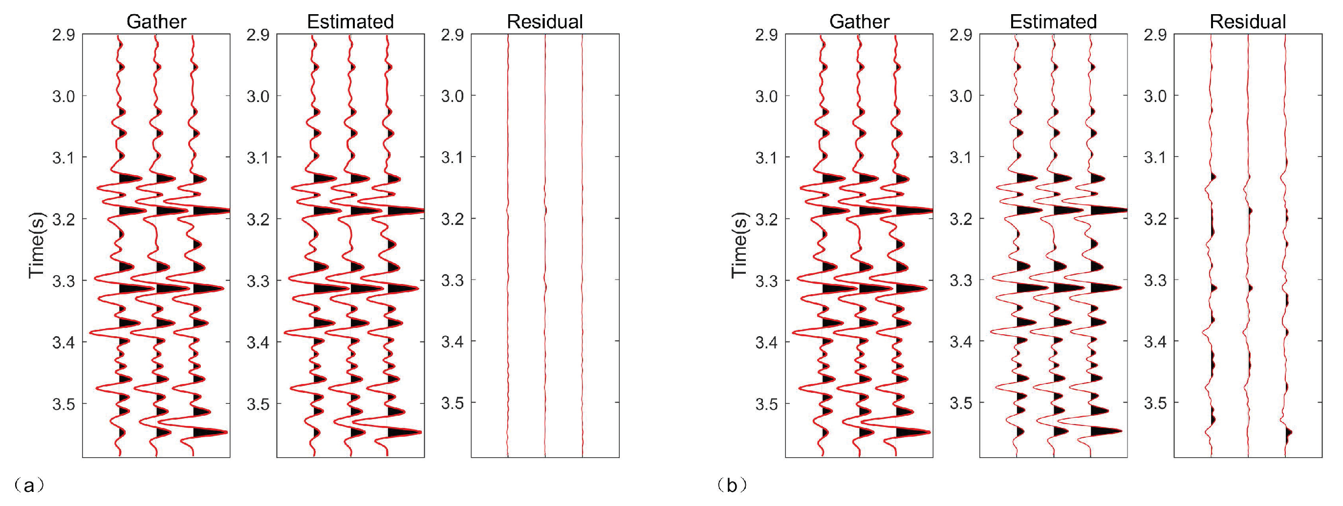
3.1. Noise-Free Test
3.2. Noise Test
3.3. Analysis of Factors Influencing the Inversion Results
4. Application
5. Discussion
6. Conclusions
Author Contributions
Funding
Institutional Review Board Statement
Informed Consent Statement
Data Availability Statement
Conflicts of Interest
Appendix A. Bayesian Derivation of the Objective Function
References
- Russell, B.H. Prestack seismic amplitude analysis: An integrated overview. Interpretation 2014, 2, SC19–SC36. [Google Scholar] [CrossRef] [Green Version]
- Fatti, J.L.; Smith, G.C.; Vail, P.J.; Strauss, P.J.; Levitt, P.R. Detection of gas in sandstone reservoirs using AVO analysis: A 3-D seismic case history using the Geostack technique. Geophysics 1994, 59, 1362–1376. [Google Scholar] [CrossRef]
- Gidlow, P.M.; Smith, G.C.; Vail, P. Hydrocarbon detection using fluid factor traces: A case history. In 3rd SAGA Biennial Conference and Exhibition, Expanded Abstracts; European Association of Geoscientists and Engineers: Houten, The Netherlands, 1993; pp. 78–89. [Google Scholar]
- Downton, J.E. Seismic Parameter Estimation from AVO Inversion. Ph.D. Thesis, The University of Calgary, Calgary, AB, Canada, 2005. [Google Scholar]
- Zhang, R.; Castagna, J. Seismic sparse-layer reflectivity inversion using basis pursuit decomposition. Geophysics 2011, 76, R147–R158. [Google Scholar] [CrossRef] [Green Version]
- Zhang, R.; Sen, M.K.; Srinivasan, S. Multi-trace basis pursuit inversion with spatial regularization. J. Geophys. Eng. 2013, 10, 035012. [Google Scholar] [CrossRef]
- Pérez, D.O.; Velis, D.R.; Sacchi, M.D. Three-term inversion of prestack seismic data using a weighted L2,1 mixed norm. Geophys. Prospect. 2017, 65, 1477–1495. [Google Scholar] [CrossRef]
- Beck, A.; Teboulle, M. A fast iterative shrinkage-thresholding algorithm for linear inverse problems. SIAM J. Imaging Sci. 2009, 2, 183–202. [Google Scholar] [CrossRef] [Green Version]
- Li, S.; Peng, Z.; Wu, H. Prestack Multi-Gather Simultaneous Inversion of Elastic Parameters Using Multiple Regularization Constraints. J. Earth Sci. 2018, 29, 1359–1371. [Google Scholar] [CrossRef]
- Fu, X.; Zhang, F.; Li, X.; Qian, Z.; Chen, H.; Mei, L. Simultaneous inversion of P-and S-wave impedances based on an improved approximation equation of reflection coefficients. Chin. J. Geophys. 2019, 62, 276–288. (In Chinese) [Google Scholar]
- She, B.; Wang, Y.; Zhang, J.; Wang, J.; Hu, G. AVO inversion with high-order total variation regularization. J. Appl. Geophys. 2019, 161, 167–181. [Google Scholar] [CrossRef]
- Nie, W.; Wen, X.; Yang, J.; He, J.; Lin, K.; Yang, L. L1-2 minimization for P- and S-impedance inversion. Interpret.-A J. Subsurf. Charact. 2020, 8, T379–T390. [Google Scholar] [CrossRef]
- Connolly, P. Elastic impedance. Lead. Edge 1999, 18, 438–452. [Google Scholar] [CrossRef]
- Whitcombe, D.N.; Connolly, P.A.; Reagan, R.L.; Redshaw, T.C. Extended elastic impedance for fluid and lithology prediction. Geophysics 2002, 67, 63–67. [Google Scholar] [CrossRef]
- Zong, Z.; Yin, X.; Wu, G. AVO inversion and poroelasticity with P- and S-wave moduli. Geophysics 2012, 77, N17–N24. [Google Scholar] [CrossRef]
- Zong, Z.; Yin, X.; Wu, G. Elastic impedance parameterization and inversion with Young’s modulus and Poisson’s ratio. Geophysics 2013, 78, N35–N42. [Google Scholar] [CrossRef]
- Liu, X.J.; Yin, X.Y.; Wu, G.C.; Zong, Z.Y. Identification of deep reservoir fluids based on basis pursuit inversion for elastic impedance. Chin. J. Geophys. 2016, 59, 277–286. [Google Scholar]
- Zhang, B.; Chang, D.; Lin, T.; Marfurt, K.J. Improving the quality of prestack inversion by prestack data conditioning. Interpretation 2014, 3, T5–T12. [Google Scholar] [CrossRef]
- Zhang, B.; Zhao, T.; Jin, X.; Marfurt, K.J. Brittleness evaluation of resource plays by integrating petrophysical and seismic data analysis. Interpretation 2015, 3, T81–T92. [Google Scholar] [CrossRef] [Green Version]
- Yin, X.; Liu, X.; Zong, Z. Pre-stack basis pursuit seismic inversion for brittleness of shale. Commun. Inf. Syst. 2015, 12, 618–627. [Google Scholar] [CrossRef] [Green Version]
- Zhang, F.Q.; Jin, Z.J.; Sheng, X.J.; Li, X.S.; Shi, J.Y.; Liu, X.Q. A direct inversion for brittleness index based on GLI with basic-pursuit decomposition. Chin. J. Geophys. 2017, 60, 3954–3968. [Google Scholar]
- Wang, L.; Zhou, H.; Wang, Y.; Yu, B.; Zhang, Y.; Liu, W.; Chen, Y. Three parameters prestack seismic inversion based on L1-2 minimization. Geophys. J. Int. 2019, 84, R753–R766. [Google Scholar] [CrossRef]
- Lai, M.; Xu, Y.; Yin, W. Improved iteratively reweighted least squares for unconstrained smoothed Lq minimization. SIAM J. Numer. Anal. 2003, 51, 927–957. [Google Scholar] [CrossRef]
- Yin, P.; Esser, E.; Xin, J. Ratio and difference of L1 and L2 norms and sparse representation with coherent dictionaries. Commun. Inf. Syst. 2015, 14, 87–109. [Google Scholar] [CrossRef]
- Zhong, W.; Chen, Y.; Gan, S. L1/2 norm regularization for 3D seismic data interprolation. J. Seism. Explor. 2016, 25, 257. [Google Scholar]
- Huang, G.; Chen, X.; Luo, C.; Chen, Y. Pre-stack seismic inversion based on-norm regularized logarithmic absolute misfit function. Geophys. Prospect. 2020, 68, 2419–2443. [Google Scholar] [CrossRef]
- Huang, G.; Chen, X.; Chen, Y. PP and Dynamic Time Warped P-SV Wave AVA Joint-Inversion With L1-2 Regularization. IEEE Trans. Geosci. Remot Sens. 2020, 59, 5535–5548. [Google Scholar] [CrossRef]
- Lou, Y.; Yin, P.; He, Q.; Xin, J. Computing Sparse Representation in a Highly Coherent Dictionary Based on Difference of L1 and L2. J. Sci. Comput. 2015, 64, 178–196. [Google Scholar] [CrossRef]
- Zoeppritz, K. On the reflection and penetration of seismic waves through unstable layers. J. Geophys. Eng. 1919, 1, 66–84. [Google Scholar]
- Theune, U.; Jensås, I.Ø.; Eidsvik, J. Analysis of prior models for a blocky inversion of seismic AVA data. Geophysics 2010, 75, C25–C35. [Google Scholar] [CrossRef]



















| Small Angle | Medium Angle | Large Angle | |
|---|---|---|---|
| Group 1 | |||
| Group 2 | |||
| Group 3 | |||
| Group 4 | |||
| Group 5 |
Publisher’s Note: MDPI stays neutral with regard to jurisdictional claims in published maps and institutional affiliations. |
© 2021 by the authors. Licensee MDPI, Basel, Switzerland. This article is an open access article distributed under the terms and conditions of the Creative Commons Attribution (CC BY) license (https://creativecommons.org/licenses/by/4.0/).
Share and Cite
Nie, W.; Xiang, F.; Li, B.; Wen, X.; Nie, X. Prestack Seismic Inversion via Nonconvex L1-2 Regularization. Appl. Sci. 2021, 11, 12015. https://doi.org/10.3390/app112412015
Nie W, Xiang F, Li B, Wen X, Nie X. Prestack Seismic Inversion via Nonconvex L1-2 Regularization. Applied Sciences. 2021; 11(24):12015. https://doi.org/10.3390/app112412015
Chicago/Turabian StyleNie, Wenliang, Fei Xiang, Bo Li, Xiaotao Wen, and Xiangfei Nie. 2021. "Prestack Seismic Inversion via Nonconvex L1-2 Regularization" Applied Sciences 11, no. 24: 12015. https://doi.org/10.3390/app112412015
APA StyleNie, W., Xiang, F., Li, B., Wen, X., & Nie, X. (2021). Prestack Seismic Inversion via Nonconvex L1-2 Regularization. Applied Sciences, 11(24), 12015. https://doi.org/10.3390/app112412015

