Mechanical Properties of Cement Composites Using Modified Plastics by Gamma Irradiation
Abstract
:1. Introduction
2. Materials and Method
2.1. Material properties
2.1.1. Physical Performance of Plastics
2.1.2. Modified Plastics by Gamma Irradiation
2.2. Gamma Irradiation Procedure
2.3. Subject of the Study
2.4. Cement Composite Mixing Ratio Design
2.5. Experimental Design and Methods
2.5.1. Flexural Strength Evaluation
2.5.2. Compression Strength Evaluation
2.5.3. Unit Volume Mass Measurement
2.5.4. SEM Analysis
2.5.5. XRD Analysis
3. Experimental Results and Consideration
3.1. Flexural Strength of Cement Composites According to the Type of Plastic Pellet and Gamma Irradiation Dose
Flexural Test Results
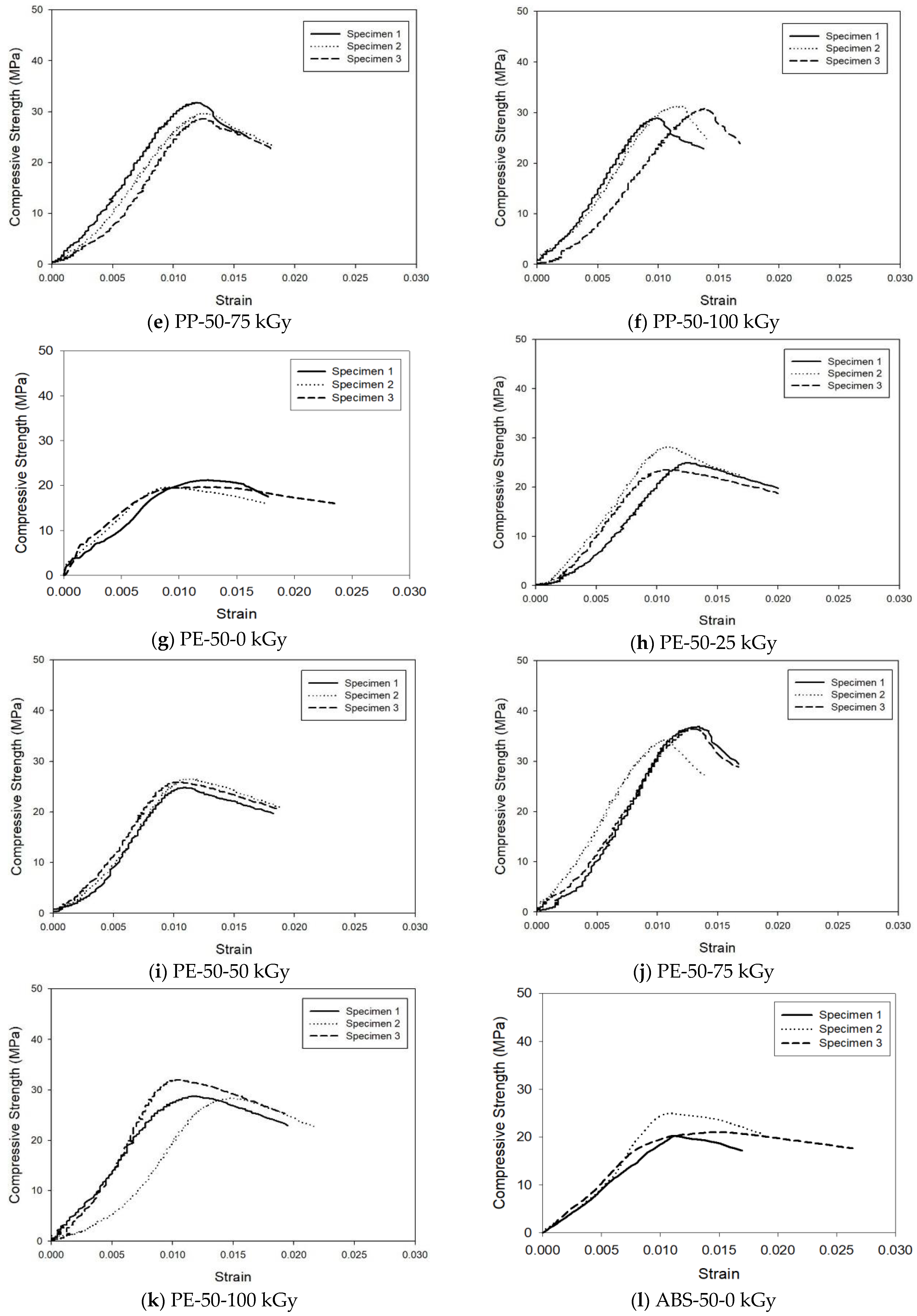
3.2. Compressive Strength of Cement Composites According to the Type of Plastic Pellet and Gamma Irradiation Dose
Compressive Test Results
3.3. Unit Volume Mass of Cement Composites According to the Type of Plastic Pellet
3.4. SEM Analysis Results
3.5. XRD Analysis Results
4. Conclusions
- Comparing the compressive strength test results of the cement composites with substitution of PP (poly propylene) pellets induced by crosslinking through gamma-irradiation technology and PP (poly propylene) pellets without gamma irradiation, it was confirmed that the compressive strength of the PP pellets substituted cement composites increased when PP pellets were irradiated with gamma irradiation dose of 25, 50, 75 and 100 kGy. The compression strength of the cement composite increased due to the change in the properties of the surface of the plastic pellet where the crosslinking reaction occurred through gamma irradiation resulting in increased adhesion to cement paste. The compressive strength increases further as the strength of the plastic aggregate irradiated with gamma increases, compared to the strength of the plastic aggregate that is not irradiated with gamma rays.
- Comparing the compressive strength test results of the cement composites with substitution of PE (poly ethylene) pellets induced by crosslinking through gamma-irradiation technology and PE (poly ethylene) pellets without gamma irradiation, the compressive stress of the cement composite produced by substitution of the plastic pellets irradiated with gamma rays increased as the irradiation dose increased and the compressive stress decreased at 100 kGy as in PP. It is determined that the surface properties of PE aggregates irradiated with gamma rays are modified through crosslinking, which improves the performance between aggregates and pastes, thereby increasing compressive stress and improving the strength of the cement composite.
- ABS (acrylonitrile butadiene styrene) pellets were found to vary in compressive stress of cement composites when the pellets through gamma irradiation were substituted as aggregates of cement composites. In this case, it is found that the plastic properties of ABS are resistant to gamma irradiation rather than to crosslinking through gamma irradiation. Conversely, compared to ABS that non-investigated gamma rays, an increase in strength occurred when ABS that irradiated with gamma rays was used, which is considered to require further study.
- When the cause of the increase in strength of the modified plastic aggregate-substituted cement composite was confirmed through SEM analyzing, in the case of PP or PE, there is the surface change according to gamma irradiation. However, in the case of ABS, no significant change in the surface due to gamma ray irradiation was found. Accordingly, it affects the strength properties, as the surface of the cement composites are modified. Based on the case of ABS, it seems that when gamma-ray irradiation is irradiated, not only the effect of surface modification but also the internal reaction occurs, and through these results, it is considered that further research is necessary.
- When the flexural strength was analyzed for cement composites using the plastic aggregate modified by gamma ray irradiation, the variables of PP and PE showed a decrease or no tendency. For ABS plastic aggregates, it was possible to confirm the highest bending stress when non-irradiated plastic aggregate was used. In the case of flexural strength compared to the compressive strength, it was confirmed that the results were different from those of the previous experiments. Thus, it is judged that additional experiments are needed.
- It was confirmed that the crystallinity increased when gamma rays were irradiated to the PP aggregate from an irradiation dose of 0 kGy to an irradiation dose of 75 kGy. However, it was confirmed that the crystallinity decreased when the irradiation was carried out with an irradiation dose of 100 kGy. Conversely, as a result of evaluating the physical properties of the cement composite, it was confirmed that the compressive strength was increased up to 100 kGy as the gamma ray irradiation dose irradiated to the plastic aggregate increased. When compared with the decrease in the crystallinity of aggregates at an irradiation dose of 100 kGy, it was judged that additional research is needed on the increase in compressive strength.
- As a result of conducting a study to modify plastic aggregates using gamma rays, it was confirmed that using gamma ray irradiation technology costs a lot and requires considerable energy. In addition, an investigation was organized and conducted on a method of generating radiation such as gamma rays. Representatively, natural radiation generated from the sun is exemplified; however, there have been several problems. First, there is a need for a device that transmits only gamma rays among radiation. Second, it is difficult to determine the irradiation dose even if gamma rays can be irradiated. For the above two reasons, it is judged that additional research is needed on the method of irradiating gamma rays and measuring irradiation dose.
Author Contributions
Funding
Institutional Review Board Statement
Informed Consent Statement
Data Availability Statement
Acknowledgments
Conflicts of Interest
References
- KS L ISO 679 Methods of Testing Cements-Determination of Strength; Korean Standards & Certifications: Chungbuk, Korea, 2006.
- KS F 2476 Standard Test Method for Polymer-Modified Cement Mortar; Korean Standards & Certifications: Chungbuk, Korea, 2019.
- Li, X.; Ling, T.-C.; Mo, K.H. Functions and impacts of plastic/rubber wastes as eco-friendly aggregate in concrete—A review. Constr. Build. Mater. 2020, 240, 117869. [Google Scholar] [CrossRef]
- Bandara, M.M.H.W.; Mampearachchi, W.K.; Anojan, T. Enhance the properties of concrete using pre-developed burnt clay chips as internally curing concrete aggregate. Case Stud. Constr. Mater. 2019, 11, e00284. [Google Scholar] [CrossRef]
- Miller, N.M.; Tehrani, F.M. Mechanical properties of rubberized lightweight aggregate concrete. Constr. Build. Mater. 2017, 147, 264–271. [Google Scholar] [CrossRef]
- Alqahtani, F.K.; Zafar, I. Characterization of processed lightweight aggregate and its effect on physical properties of concrete. Constr. Build. Mater. 2019, 230, 116992. [Google Scholar] [CrossRef]
- Schaefer, C. Irradiated Recycled Plastic as a Concrete Additive for Improved Chemo-mechanical Properties in Hardened Cement Pastes. Ph.D. Thesis, Department of Nuclear Science and Engineering, Massachusetts Institute of Technology, Cambridge, MA, USA, 18 May 2017. [Google Scholar]
- Schaefer, C.E.; Kupwade-Patil, K.; Ortega, M.; Soriano, C.; Büyüköztürk, O.; White, A.E.; Short, M.P. Irradiated recycled plastic as a concrete additive for improved chemo-mechanical properties and lower carbon footprint. Waste Manag. 2017, 71, 426–439. [Google Scholar] [CrossRef] [PubMed]
- Martínez-Barrera, G.; López, H.; Castaño, V.M.; Rodríguez, R. Studies on the rubber phase stability in gamma irradiated polystyrene-SBR blends by using FT-IR and Raman spectroscopy. Radiat. Phys. Chem. 2004, 69, 155–162. [Google Scholar] [CrossRef]
- Kattan, M. Thermal behavior of gamma-irradiated amorphous poly (ethylene terephthalate) films. Polym. Eng. Sci. 2006, 46, 1374–1377. [Google Scholar] [CrossRef]
- Lee, J.D.; Jeong, S.H.; Choi, S.D.; Kim, H.M. Effect of γ -ray Irradiation on Mechanical Properties of Ultra-High Molecular Weight Polyethylene. J. Korean Soc. Manuf. Prod. 2008, 6, 108–114. [Google Scholar]
- Dziewinski, J.; Zagorski, Z.P. Radiation Chemistry of Polymeric Components of Radioactive Waste. In Proceedings of the 5th International Symposium on Ionizing Radiation and Polymers, Sainte-Adele, QC, Canada, 21–26 September 2002. [Google Scholar]
- Kondyurin, A.; Bilek, M. Ion Beam Treatment of Polymers; Elsevier: Amsterdam, The Netherlands, 2008. [Google Scholar]
- Zaman, K.; Haji-Saeid, M. Radiation processing technologies: Past, present and future. Radiat. Phys. Chem. 2004, 71, 17–21. [Google Scholar]
- Wishart, J.F.; Rao, B.S.M. Radiation Trends in Radiation Chemistry; World Scientific: Singapore, 2010. [Google Scholar]
- Makuuchi, K.; Cheng, S. Radiation Processing of Polymer Materials and Its Industrial Applications; John Wiley and Sons, Inc.: Hoboken, NJ, USA, 2012. [Google Scholar]
- Kerluke, D.; Cheng, S.; Cleland, M. X-ray Processing of Advanced Composites at 5MeV and above. In Proceedings of the 47th Society for the Advancement of Materials and Process Engineering (SAMPE) Symposium and Exgibition, Long Beach, CA, USA, 12–16 May 2002. [Google Scholar]
- Nasef, M.M.; Guven, O. Radiation-grafted copolyemrs for separation and purification purposes: Status challenges and future directions. Prog. Polym. Sci. 2012, 37, 1597–1656. [Google Scholar] [CrossRef]
- Samuel, A.H.; Magee, J.L. Theory of radiation chemistry, II. Track effects in radiolysis of water. J. Chem. Phys. 1953, 21, 1080. [Google Scholar] [CrossRef]
- Chemielewski, A.; Haji-Saeid, M.; Ahmed, S. Progress in radiation processing of polymers. Nucl. Instrum. Meth. B 2005, 236, 44–54. [Google Scholar] [CrossRef]
- Berejka, A.J.; Everle, C. Electron Beam Curing of Composites in North America. Radiat. Phys. Chem. 2002, 63, 551–556. [Google Scholar] [CrossRef]














| Specimen | W/C (%) | B:A | Substitution Rate (%) | Plastic Type | Irradiation Dose (kGy) |
|---|---|---|---|---|---|
| Plain | 50 | 3.6 | 50 | N | N |
| PP-50-0 | 50 | 3.6 | 50 | PP | N |
| PP-50-25 | 50 | 3.6 | 50 | PP | 25 |
| PP-50-50 | 50 | 3.6 | 50 | PP | 50 |
| PP-50-75 | 50 | 3.6 | 50 | PP | 75 |
| PP-50-100 | 50 | 3.6 | 50 | PP | 100 |
| PE-50-0 | 50 | 3.6 | 50 | PE | N |
| PE-50-25 | 50 | 3.6 | 50 | PE | 25 |
| PE-50-50 | 50 | 3.6 | 50 | PE | 50 |
| PE-50-75 | 50 | 3.6 | 50 | PE | 75 |
| PE-50-100 | 50 | 3.6 | 50 | PE | 100 |
| ABS-50-0 | 50 | 3.6 | 50 | ABS | 0 |
| ABS-50-25 | 50 | 3.6 | 50 | ABS | 25 |
| ABS-50-50 | 50 | 3.6 | 50 | ABS | 50 |
| ABS-50-75 | 50 | 3.6 | 50 | ABS | 75 |
| ABS-50-100 | 50 | 3.6 | 50 | ABS | 100 |
| Series | Cement (kg/m3) | Water (kg/m3) | Fine Aggregate (kg/m3) | |||
|---|---|---|---|---|---|---|
| Sand | PP | PE | ABS | |||
| Plain | 508 | 254 | 1524 | 0 | 0 | 0 |
| PP-50 | 762 | 268.6 | ||||
| PE-50 | 0 | 272.98 | ||||
| ABS-50 | 0 | 303.63 | ||||
| SEM Category | Measurement Condition |
|---|---|
| Acceleration Voltage | 15.0 kV |
| Working Distance | 9.8 mm, 9.9 mm, 10.0 mm, 10.6 mm, 10.7 mm, 11.2 mm |
| Magnification | ×100, ×500, ×2,000 |
| Spot Size | 100 μm |
| Coating | Pt |
| XRD Category | Measurement Condition |
|---|---|
| X-ray Generator | 18 kW |
| Tube Power | 45 kV, 200 mA |
| Scanning Speed | 4 |
| Scanning Type | Continuous Scanning |
| Range (θ) | 5~50° |
| Monochrometer | No Use |
| Specimen | Irradiation Dose (kGy) | Flexural Strength (MPa) | Increase Rate Compared to Nonirradiated Specimen (%) | ||
|---|---|---|---|---|---|
| 7 Days | 28 Days | 7 Days | 28 Days | ||
| Plain | - | 7.27 | 9.93 | - | - |
| PP-50-0 | 0 | 3.16 | 4.10 | - | - |
| PP-50-25 | 25 | 3.52 | 3.98 | 11.39 | -2.93 |
| PP-50-50 | 50 | 3.87 | 4.31 | 22.47 | 5.12 |
| PP-50-75 | 75 | 4.38 | 4.80 | 38.61 | 17.07 |
| PP-50-100 | 100 | 4.14 | 4.50 | 31.01 | 9.76 |
| PE-50-0 | 0 | 3.67 | 4.70 | - | - |
| PE-50-25 | 25 | 3.67 | 4.13 | - | -12.13 |
| PE-50-50 | 50 | 3.91 | 4.03 | 6.54 | -14.26 |
| PE-50-75 | 75 | 4.53 | 4.31 | 24.43 | -8.30 |
| PE-50-100 | 100 | 4.14 | 6.28 | 12.81 | 33.62 |
| ABS-50-0 | 0 | 3.44 | 3.75 | - | - |
| ABS-50-25 | 25 | 3.67 | 4.59 | 6.69 | 22.4 |
| ABS-50-50 | 50 | 4.22 | 5.72 | 22.67 | 52.53 |
| ABS-50-75 | 75 | 4.30 | 5.25 | 25 | 40.00 |
| ABS-50-100 | 100 | 4.14 | 4.69 | 20.35 | 25.07 |
| Specimen | Irradiation Dose (kGy) | Compressive Strength (MPa) | Increase Rate Compared to Nonirradiated Specimen (%) | ||
|---|---|---|---|---|---|
| 7 Days | 28 Days | 7 Days | 28 Days | ||
| Plain | - | 33.81 | 39.5 | - | - |
| PP-50-0 | 0 | 16.15 | 20.48 | - | - |
| PP-50-25 | 25 | 17.04 | 23.32 | 5.51 | 13.87 |
| PP-50-50 | 50 | 17.94 | 25.69 | 11.08 | 25.44 |
| PP-50-75 | 75 | 20.56 | 30.00 | 27.31 | 46.48 |
| PP-50-100 | 100 | 18.77 | 29.90 | 16.22 | 46.00 |
| PE-50-0 | 0 | 16.08 | 20.63 | - | - |
| PE-50-25 | 25 | 16.65 | 25.53 | 3.54 | 23.75 |
| PE-50-50 | 50 | 17.23 | 25.76 | 7.15 | 24.87 |
| PE-50-75 | 75 | 18.31 | 35.84 | 13.87 | 73.73 |
| PE-50-100 | 100 | 17.65 | 29.7 | 9.76 | 43.97 |
| ABS-50-0 | 0 | 19.00 | 22.60 | - | - |
| ABS-50-25 | 25 | 19.17 | 30.98 | 0.89 | 37.08 |
| ABS-50-50 | 50 | 20.06 | 29.81 | 5.58 | 31.90 |
| ABS-50-75 | 75 | 22.94 | 31.76 | 20.74 | 40.53 |
| ABS-50-100 | 100 | 22.23 | 29.56 | 17.00 | 30.80 |
| Series | Plain | PP-50 | PE-50 | ABS-50 |
|---|---|---|---|---|
| Unit volume weight (t/m3) | 2.148 | 1.711 | 1.663 | 1.708 |
Publisher’s Note: MDPI stays neutral with regard to jurisdictional claims in published maps and institutional affiliations. |
© 2021 by the authors. Licensee MDPI, Basel, Switzerland. This article is an open access article distributed under the terms and conditions of the Creative Commons Attribution (CC BY) license (https://creativecommons.org/licenses/by/4.0/).
Share and Cite
Cheon, H.; Ruziev, J.; Lee, H.; Kang, Y.; Roh, S.; Kim, W. Mechanical Properties of Cement Composites Using Modified Plastics by Gamma Irradiation. Appl. Sci. 2021, 11, 11982. https://doi.org/10.3390/app112411982
Cheon H, Ruziev J, Lee H, Kang Y, Roh S, Kim W. Mechanical Properties of Cement Composites Using Modified Plastics by Gamma Irradiation. Applied Sciences. 2021; 11(24):11982. https://doi.org/10.3390/app112411982
Chicago/Turabian StyleCheon, Hyeonwook, Jamshid Ruziev, Heonseok Lee, Yonghak Kang, Seungjun Roh, and Woosuk Kim. 2021. "Mechanical Properties of Cement Composites Using Modified Plastics by Gamma Irradiation" Applied Sciences 11, no. 24: 11982. https://doi.org/10.3390/app112411982
APA StyleCheon, H., Ruziev, J., Lee, H., Kang, Y., Roh, S., & Kim, W. (2021). Mechanical Properties of Cement Composites Using Modified Plastics by Gamma Irradiation. Applied Sciences, 11(24), 11982. https://doi.org/10.3390/app112411982

