Dynamic Response of Electro-Mechanical Properties of Cement-Based Piezoelectric Composites
Abstract
:1. Introduction
2. Materials and Methods
2.1. Sample Preparation
2.2. Sample Packed
2.3. Performance Test
3. Results and Discussion
3.1. Quasi-Static Compression Test
3.2. Impact Compression Test
3.3. Electro-Mechanical Response Analysis
4. Conclusions
- (1)
- Under quasi-static compression, the sensitivity of type 1-3 and type 2-2 composites has a nonlinear mutation point (approximately 21.7 and 35.0 MPa, respectively). The linear range of type 2-2 is significantly greater than that of type 1-3 (by 61.3%).
- (2)
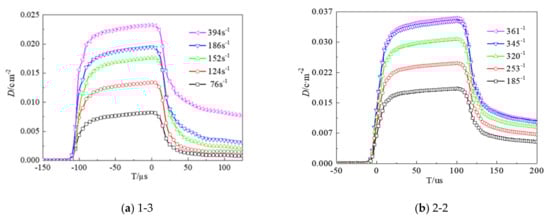
- Both type 1-3 and type 2-2 composites have strain rate effects and are strain rate sensitive materials. At a lower strain rate, the peak value of the output electric displacement increases as the strain rate rises; at a higher strain rate, the growth rate associated with the peak value of the output electric displacement slows down.
- (3)
- The stress relaxation time and strain rate exhibit an approximately negative linear correlation for both type 1-3 and type 2-2; that is, the relaxation time monotonously decreases with an increase in strain rate. The time required for type 2 to return to its normal state is lower after the external force is released.
- (4)
- Similar to the results obtained under quasi-static compression, the dynamic sensitivity of type 1-3 and type 2-2 also has electrical domain switching points (70.5 and 88.0 MPa, respectively). The linear range of type 2-2 is greater than that of type 1-3 (by 24.8%). Therefore, type 2-2 has certain advantages as a sensor material, regardless of whether it is subjected to quasi-static or dynamic loading.
Author Contributions
Funding
Institutional Review Board Statement
Informed Consent Statement
Data Availability Statement
Acknowledgments
Conflicts of Interest
References
- Tasuji, M.E. Stress-stain Response and Fracture of Concrete under Multiaxial Conditions. ACI 1978, 75, 306–312. [Google Scholar]
- Chen, J.K.; Jiang, M.Q.; Zhu, J. Damage evolution in cement mortar due to erosion of sulphate. Corros. Sci. 2008, 50, 2478–2483. [Google Scholar] [CrossRef] [Green Version]
- Chen, J.K.; Jiang, M.Q. Long-term evolution of delayed ettringite and gypsum in Portland cement mortars under sulfate erosion. Constr. Build. Mater. 2008, 23, 812–816. [Google Scholar] [CrossRef] [Green Version]
- Spark, P.R.; Menzies, J.B. The effect of rate loading upon the static and fatigue strengths of plain concrete in compression. Mag. Concr. Res. 1973, 25, 73–801. [Google Scholar] [CrossRef]
- Ou, J.P.; Han, B.G. Piezoresistive Cement-based Strain Sensors and Self-sensing Concrete Components. J. Intell. Mater. Syst. Struct. 2009, 20, 329–336. [Google Scholar]
- Garcia-Macias, E.; Downey, A.; D’Alessandro, A.; Castro-Triguero, R. Enhanced lumped circuit model for smart nanocomposite cement-based sensors under dynamic compressive loading conditions. Sens. Actuators A Phys. 2017, 260, 45–57. [Google Scholar] [CrossRef] [Green Version]
- Yuan, M.Z.; Zhang, J.R.; Yang, L.Z. Processing method and property study for cement-based piezoelectric composites and sensors. Mater. Res. Innov. 2015, 19, S134–S138. [Google Scholar] [CrossRef]
- Sha, F.; Xu, D.; Huang, S. Mechanical Sensing Properties of Embedded Smart Piezoelectric Sensor for Structural Health Monitoring of Concrete. Res. Nondestruct. Eval. 2021, 32, 1–25. [Google Scholar] [CrossRef]
- Cédric, D.; Arnaud, D. A study on the performance of piezoelectric composite materials for designing embedded transducers for concrete assessment. Smart Mater. Struct. 2018, 27, 035008. [Google Scholar]
- Sikora, P.; Chung, S.Y. Cement-Based Composites: Advancements in Development and Characterization. Crystals 2020, 10, 832. [Google Scholar] [CrossRef]
- Dong, B.; Xing, F.; Li, Z. Cement-Based Piezoelectric Ceramic Composite and Its Sensor Applications in Civil Engineering. ACI Mater. J. 2011, 108, 543–549. [Google Scholar]
- Wei, Z.; Gao, J.; Shi, B.; Cui, H.; Zhu, H. Health Monitoring of Rehabilitated Concrete Bridges Using Distributed Optical Fiber Sensing. Comput. Aided Civ. Infrastruct. Eng. 2010, 21, 411–424. [Google Scholar]
- Dong, Z.; Li, Z.; Wu, K.R. 2-2 Piezoelectric cement matrix composite: Part II. Actuator effect. Cem. Concr. Res. 2002, 32, 825–830. [Google Scholar]
- Lee, S.J.; Ahn, D.; You, I.; Yoo, D.Y.; Kang, Y.S. Wireless cement-based sensor for self-monitoring of railway concrete infrastructures. Autom. Constr. 2020, 119, 103323. [Google Scholar] [CrossRef]
- Chaipanich, A.; Rianyoi, R.; Potong, R.; Jaitanong, N. Aging of 0-3 piezoelectric PZT ceramic-Portland cement composites. Ceram. Int. 2014, 40, 13579–13584. [Google Scholar] [CrossRef]
- Ding, W.J.; Xu, W.W.; Dong, Z.J.; Liu, Y.Q.; Wang, Q.; Shiotani, T. Piezoelectric properties and microstructure of ceramicrete-based piezoelectric composites. Ceram. Int. 2021, 47, 29681–29687. [Google Scholar] [CrossRef]
- Ding, W.J.; Liu, Y.Q.; Wang, Q.; Han, N.X. Cement-Based Piezoelectric Ceramic Composites for Sensing Elements: A Comprehensive State-of-the-Art Review. Sensors 2021, 21, 3230. [Google Scholar] [CrossRef]
- Chaipanich, A. Effect of PZT particle size on dielectric and piezoelectric properties of PZT-cement composites. Curr. Appl. Phys. 2007, 7, 574–577. [Google Scholar] [CrossRef]
- Guan, X.C.; Liu, Y.C.; Li, H.; Ou, J.P. Study on Preparation and Performance of 1–3 Type Cement-based Piezoelectric Composite. J. Disaster Prev. Mitig. Eng. 2010, 30, 345–347. (In Chinese) [Google Scholar]
- Sun, Y.; Deng, J.P. The influence of forming pressure on the 0–3 type PZT/cement piezoelectric composite. Acta Mater. Compos. Sin. 2017, 34, 1146–1151. (In Chinese) [Google Scholar]
- Hou, S.; Zhang, H.B.; Ou, J.P. SA–based concrete seismic stress monitoring for high-strength concrete. Smart Mater. Struct. 2016, 25, 095041. [Google Scholar] [CrossRef]
- Ma, Y.; Cheng, X.; Jiang, Q.; Li, Y. A cement-based 1-3 piezoelectric composite sensor working in d15 mode for charactering the shear stress in civil engineering structure. Smart Mater. Struct. 2018, 27, 115013. [Google Scholar] [CrossRef]
- Newnham, R.E.; Skinner, D.P.; Cross, L.E. Connectivity and Piezoelectric–Pyroelectric Composite. Mater. Res. Bull. 1978, 13, 525–536. [Google Scholar] [CrossRef]
- Qian, L.; Zhang, F.; Xu, X.Y.; Chen, J.Y. Research on PZT5 domain switching under impact loading. J. Funct. Mater. 2017, 48, 7093–7097, 7103. (In Chinese) [Google Scholar]
- Tang, E.L.; Li, Y.; Wang, R.Z.; Han, Y.F.; Wang, L.; Xiang, S.H.; Li, Z.B.; Gao, G.W.; Lin, X.C.; Liu, M.; et al. Research on Dynamic Response and Electrical Output Characteristics of PZT-5H Piezoelectric Ceramics under Strong Impact. Binggong Xuebao Acta Armamentarii 2018, 39, 983–990. (In Chinese) [Google Scholar]
- Zhang, F.; Feng, P.J.; Wang, T.; Chen, J.Y. Mechanical-electric response characteristics of 1–3 cement based piezoelectric composite under impact loading. Constr. Build. Mater. 2019, 228, 116781. [Google Scholar] [CrossRef]
- Rong, H.; Zhi, F.S. Dynamic analysis of sandwich cement-based piezoelectric composites. Compos. Sci. Technol. 2012, 72, 894–901. [Google Scholar]
- Wang, L.L.; Wang, Y.G. The important role of stress wave in studying the dynamic constitutive properties of materials with SHPB. Explos. Shock. Waves 2005, 1, 17–25. [Google Scholar]










| Sample | Linearity Range/MPa | Fitting Function | Correlation Coefficient R2 | Sensitivity/(pC·N−1) |
|---|---|---|---|---|
| Parameter | ||||
| 1-3 | 0–21.7 | D = 0.000157σ − 0.43533 | 99.88% | 157 |
| 2-2 | 0–35.0 | D = 0.000169σ + 0.00052 | 99.49% | 169 |
| Sample | Linearity Range/MPa | Fitting Function | Correlation Coefficient R2 | Sensitivity/(pC·N−1) | |
|---|---|---|---|---|---|
| Parameter | |||||
| 1-3 | 0–70.5 | D = 0.000323σ − 0.0014 | 99.81% | 323 | |
| 2-2 | 0–88.0 | D = 0.000296σ + 0.0082 | 98.35% | 296 | |
Publisher’s Note: MDPI stays neutral with regard to jurisdictional claims in published maps and institutional affiliations. |
© 2021 by the authors. Licensee MDPI, Basel, Switzerland. This article is an open access article distributed under the terms and conditions of the Creative Commons Attribution (CC BY) license (https://creativecommons.org/licenses/by/4.0/).
Share and Cite
Li, Y.; Zhang, Y.; Dong, H.; Cheng, W.; Shi, C.; Chen, J. Dynamic Response of Electro-Mechanical Properties of Cement-Based Piezoelectric Composites. Appl. Sci. 2021, 11, 11925. https://doi.org/10.3390/app112411925
Li Y, Zhang Y, Dong H, Cheng W, Shi C, Chen J. Dynamic Response of Electro-Mechanical Properties of Cement-Based Piezoelectric Composites. Applied Sciences. 2021; 11(24):11925. https://doi.org/10.3390/app112411925
Chicago/Turabian StyleLi, Yi, Youwei Zhang, Haiwei Dong, Wenjie Cheng, Chaoming Shi, and Jiangying Chen. 2021. "Dynamic Response of Electro-Mechanical Properties of Cement-Based Piezoelectric Composites" Applied Sciences 11, no. 24: 11925. https://doi.org/10.3390/app112411925
APA StyleLi, Y., Zhang, Y., Dong, H., Cheng, W., Shi, C., & Chen, J. (2021). Dynamic Response of Electro-Mechanical Properties of Cement-Based Piezoelectric Composites. Applied Sciences, 11(24), 11925. https://doi.org/10.3390/app112411925
