Controlling the Pump-Probe Optical Response in Asymmetric Tunneling-Controlled Double Quantum Dot Molecule—Metal Nanoparticle Hybrids
Abstract
:1. Introduction
2. Methods
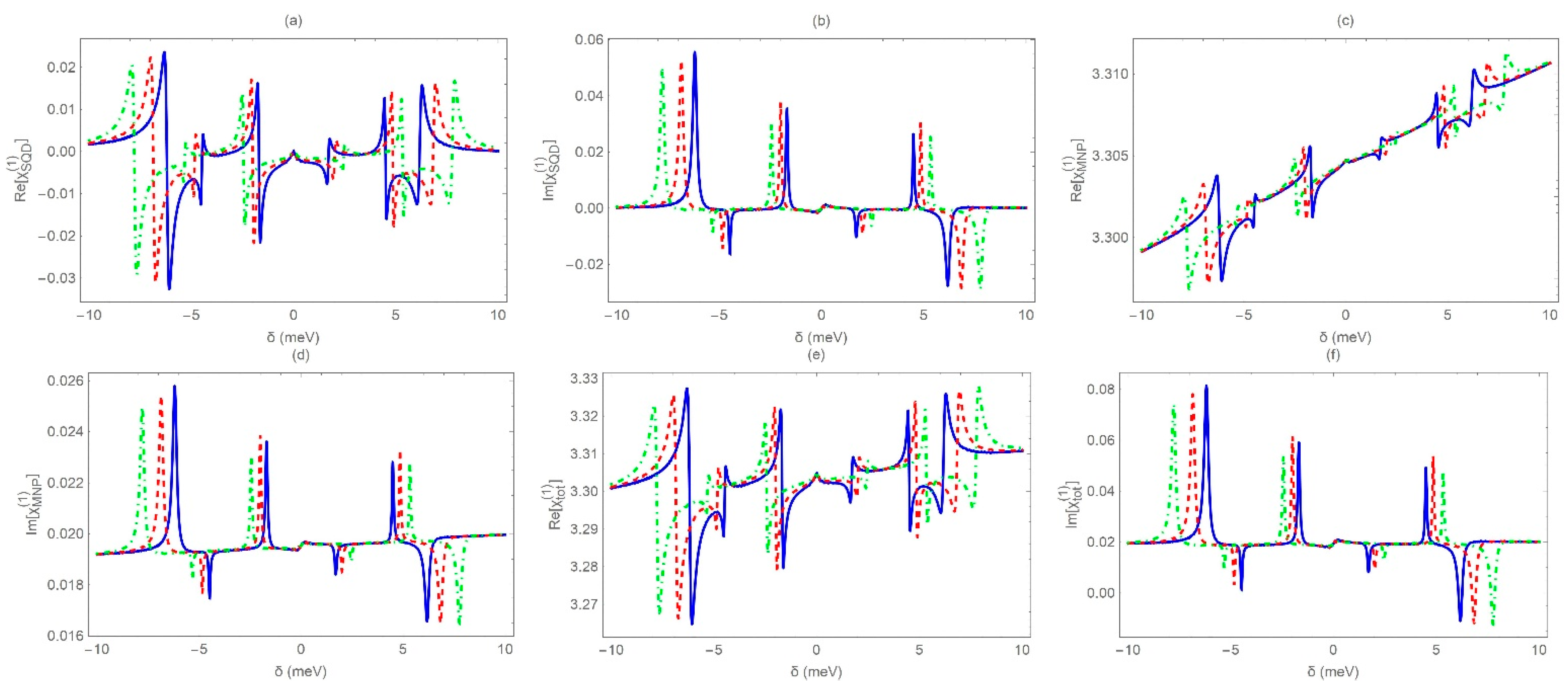
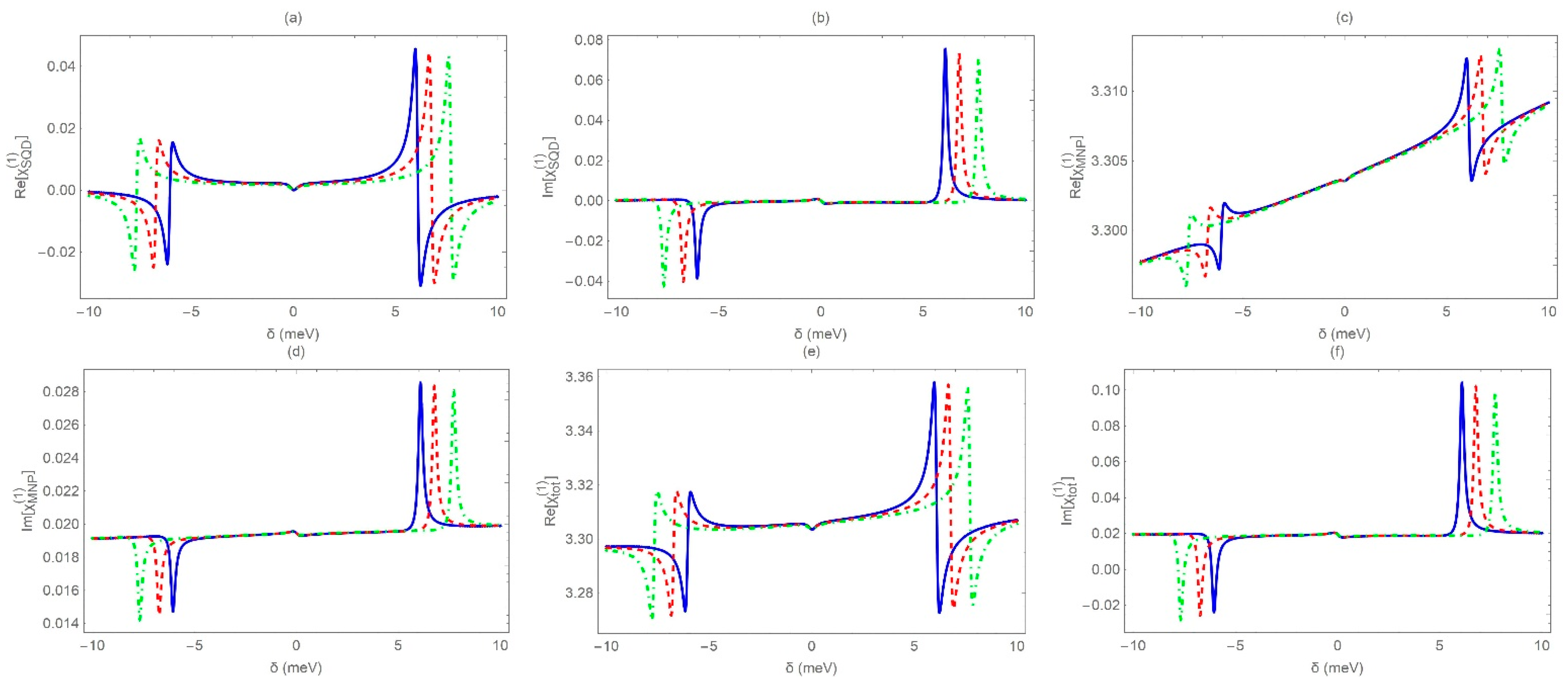
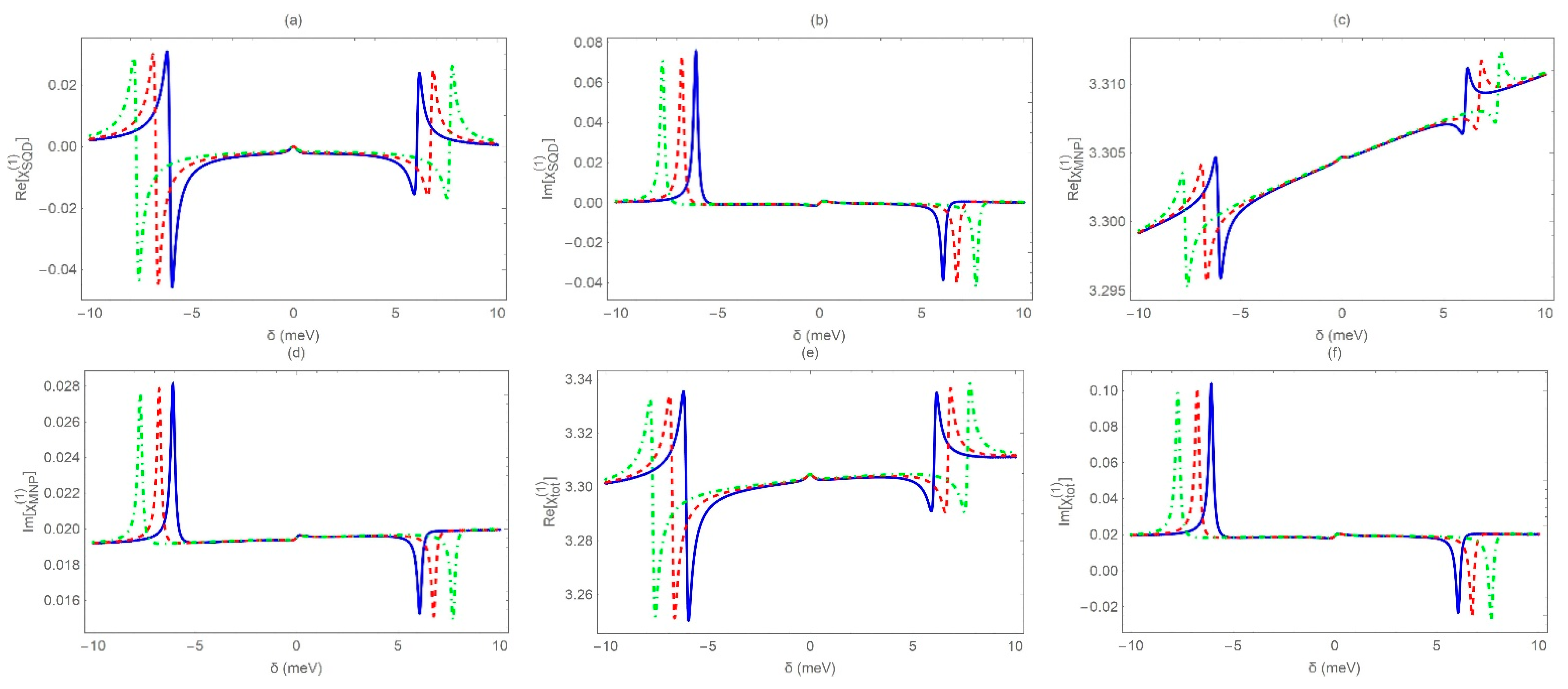
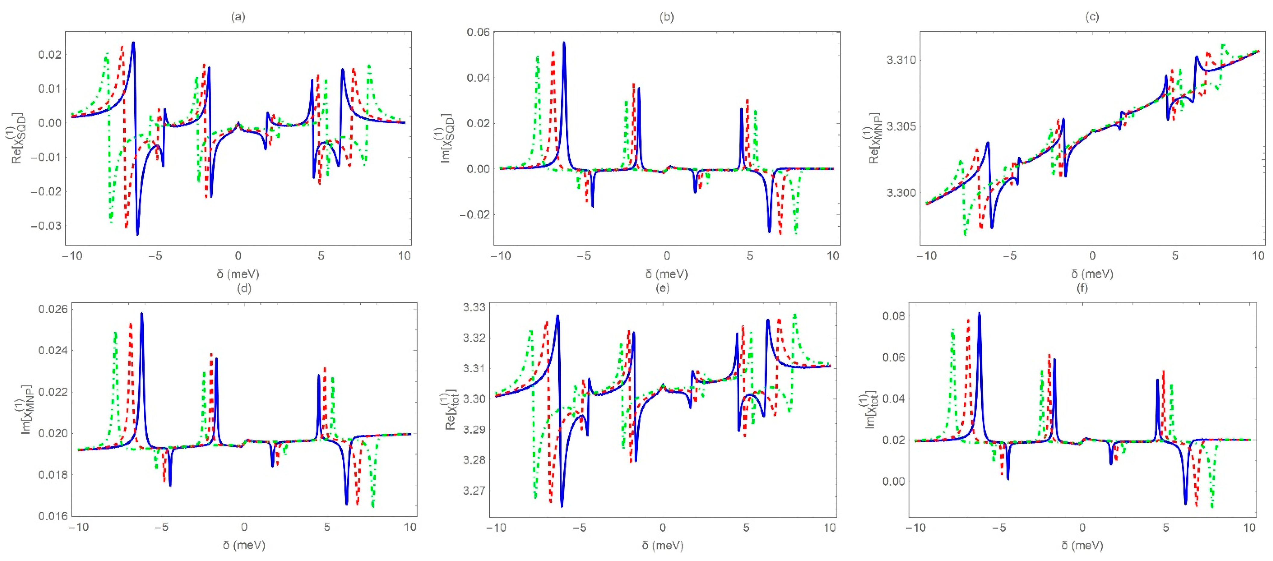
3. Results
4. Conclusions
Author Contributions
Funding
Conflicts of Interest
References
- Szychowski, B.; Pelton, M.; Daniel, M.-C. Preparation and properties of plasmonic-excitonic nanoparticle assemblies. Nanophotonics 2019, 8, 517–547. [Google Scholar] [CrossRef]
- Cheng, M.-T.; Liu, S.-D.; Zhou, H.-J.; Hao, Z.-H.; Wang, Q.-Q. Coherent exciton–plasmon interaction in the hybrid semiconductor quantum dot and metal nanoparticle complex. Opt. Lett. 2007, 32, 2125. [Google Scholar] [CrossRef] [PubMed]
- Sadeghi, S.M. The inhibition of optical excitations and enhancement of Rabi flopping in hybrid quantum dot–metallic nanoparticle systems. Nanotechnology 2009, 20, 225401. [Google Scholar] [CrossRef] [PubMed]
- Sadeghi, S.M. Plasmonic metaresonances: Molecular resonances in quantum dot–metallic nanoparticle conjugates. Phys. Rev. B 2009, 79, 233309. [Google Scholar] [CrossRef]
- Malyshev, A.V.; Malyshev, V.A. Optical bistability and hysteresis of a hybrid metal-semiconductor nanodimer. Phys. Rev. B 2011, 84, 035314. [Google Scholar] [CrossRef]
- Nugroho, B.S.; Iskandar, A.A.; Malyshev, V.A.; Knoester, J. Bistable optical response of a nanoparticle heterodimer: Mechanism, phase diagram, and switching time. J. Chem. Phys. 2013, 139, 014303. [Google Scholar] [CrossRef] [Green Version]
- Li, J.-B.; Kim, N.-C.; Cheng, M.-T.; Zhou, L.; Hao, Z.-H.; Wang, Q.-Q. Optical bistability and nonlinearity of coherently coupled exciton-plasmon systems. Opt. Express 2012, 20, 1856–1861. [Google Scholar] [CrossRef]
- Carreño, F.; Antón, M.A.; Paspalakis, E. Nonlinear optical rectification and optical bistability in a coupled asymmetric quantum dot—Metal nanoparticle hybrid. J. Appl. Phys. 2018, 124, 113107. [Google Scholar] [CrossRef]
- Solookinejad, G.; Jabbari, M.; Nafar, M.; Ahmadi, E.; Asadpour, S.H. Incoherent control of optical bistability and multistability in a hybrid system: Metallic nanoparticle-quantum dot nanostructure. J. Appl. Phys. 2018, 124, 063102. [Google Scholar] [CrossRef]
- Antón, M.A.; Carreño, F.; Melle, S.; Calderón, O.G.; Cabrera Granado, E.; Cox, J.; Singh, M.R. Plasmonic effects in excitonic population transfer in a driven semiconductor–metal nanoparticle hybrid system. Phys. Rev. B 2012, 86, 155305. [Google Scholar] [CrossRef] [Green Version]
- Paspalakis, E.; Evangelou, S.; Terzis, A.F. Control of excitonic population inversion in a coupled semiconductor quantum dot–metal nanoparticle system. Phys. Rev. B 2013, 87, 235302. [Google Scholar] [CrossRef]
- Yang, W.-X.; Chen, A.-X.; Huang, Z.; Lee, R.-K. Ultrafast optical switching in quantum dot-metallic nanoparticle hybrid systems. Opt. Express 2015, 23, 13032. [Google Scholar] [CrossRef] [PubMed]
- Qi, Y.; Shu, C.C.; Dong, D.Y.; Petersen, I.R.; Jacobs, K.; Gong, S.-Q. Fast quantum state transfer in hybrid quantum dot-metal nanoparticle systems by shaping ultrafast laser pulses. J. Phys. D Appl. Phys. 2019, 52, 425101. [Google Scholar] [CrossRef]
- Smbonias, A.; Stefanatos, D.; Paspalakis, E. Fast and robust exciton preparation in a coupled semiconductor quantum dot-metal nanoparticle system using shortcuts to adiabaticity. J. Appl. Phys. 2021, 129, 123107. [Google Scholar] [CrossRef]
- Nugroho, B.S.; Iskandar, A.A.; Malyshev, V.A.; Knoester, J. Plasmon-assisted two-photon Rabi oscillations in a semiconductor quantum dot—Metal nanoparticle heterodimer. Phys. Rev. B 2019, 99, 075302. [Google Scholar] [CrossRef] [Green Version]
- Paspalakis, E.; Smponias, A.; Stefanatos, D. Coherent preparation of the biexciton state in a semiconductor quantum dot coupled to a metallic nanoparticle. J. Appl. Phys. 2021, 129, 223104. [Google Scholar] [CrossRef]
- Smponias, A.; Stefanatos, D.; Paspalakis, E. Efficient biexciton preparation in a quantum dot—metal nanoparticle system using on-off pulses. Nanomaterials 2021, 11, 1859. [Google Scholar] [CrossRef]
- Lu, Z.; Zhu, K.-D. Slow light in an artificial hybrid nanocrystal complex. J. Phys. B 2009, 42, 015502. [Google Scholar] [CrossRef]
- Sadeghi, S.M. Gain without inversion in hybrid quantum dot-metallic nanoparticle systems. Nanotechnology 2010, 21, 455401. [Google Scholar] [CrossRef] [PubMed]
- Kosionis, S.G.; Terzis, A.F.; Sadeghi, S.M.; Paspalakis, E. Optical response of a quantum dot–metal nanoparticle hybrid interacting with a weak probe field. J. Phys. Condens. Matter 2013, 25, 045304. [Google Scholar] [CrossRef] [PubMed]
- Zhao, D.-X.; Gu, Y.; Wu, J.; Zhang, J.-X.; Zhang, T.-C.; Gerardot, B.D.; Gong, Q.-H. Quantum-dot gain without inversion: Effects of dark plasmon-exciton hybridization. Phys. Rev. B 2014, 89, 245433. [Google Scholar] [CrossRef] [Green Version]
- Singh, M.R. Enhancement of the second-harmonic generation in a quantum dot–metallic nanoparticle hybrid system. Nanotechnology 2013, 24, 125701. [Google Scholar] [CrossRef]
- Lu, Z.; Zhu, K.-D. Enhancing Kerr nonlinearity of a strongly coupled exciton–plasmon in hybrid nanocrystal molecules. J. Phys. B 2008, 41, 185503. [Google Scholar] [CrossRef]
- Paspalakis, E.; Evangelou, S.; Kosionis, S.G.; Terzis, A.F. Strongly modified four-wave mixing in a coupled semiconductor quantum dot-metal nanoparticle system. J. Appl. Phys. 2014, 115, 083106. [Google Scholar] [CrossRef]
- Terzis, A.F.; Kosionis, S.G.; Boviatsis, J.; Paspalakis, E. Nonlinear optical susceptibilities of semiconductor quantum dot—Metal nanoparticle hybrids. J. Mod. Opt. 2016, 63, 451–461. [Google Scholar] [CrossRef]
- Kosionis, S.G.; Paspalakis, E. Control of self-Kerr nonlinearity in a driven coupled semiconductor quantum dot—Metal nanoparticle structure. J. Phys. Chem. C 2019, 123, 7308–7317. [Google Scholar] [CrossRef]
- Ridolfo, A.; Di Stefano, O.; Fina, N.; Saija, R.; Savasta, S. Quantum plasmonics with quantum dot-metal nanoparticle molecules: Influence of the Fano effect on photon statistics. Phys. Rev. Lett. 2010, 105, 263601. [Google Scholar] [CrossRef] [PubMed]
- Sadeghi, S.M. Ultrafast plasmonic field oscillations and optics of molecular resonances caused by coherent exciton-plasmon coupling. Phys. Rev. A 2013, 88, 013831. [Google Scholar] [CrossRef]
- Mohammadzadeh, A.; Miri, M.F. Resonance fluorescence of a hybrid semiconductor-quantum-dot—Metal-nanoparticle system driven by a bichromatic field. Phys. Rev. B 2019, 99, 115440. [Google Scholar] [CrossRef]
- Shen, S.; Wu, Z.-M.; Li, J.-H.; Wu, Y. Insights into Fano-type resonance fluorescence from quantum-dot–metal-nanoparticle molecules with a squeezed vacuum. Phys. Rev. A 2021, 104, 013717. [Google Scholar] [CrossRef]
- Zhao, D.-X.; Wu, J.; Gu, Y.; Gong, Q.-H. Tailoring double Fano profiles with plasmon-assisted quantum interference in hybrid exciton-plasmon system. Appl. Phys. Lett. 2014, 105, 111112. [Google Scholar] [CrossRef]
- You, Y.; Qi, Y.H.; Niu, Y.-P.; Gong, S.-Q. Control of electromagnetically induced grating by surface plasmon and tunneling in a hybrid quantum dot-metal nanoparticle system. J. Phys. Condens. Matt. 2019, 31, 105801. [Google Scholar] [CrossRef] [PubMed]
- Antón, M.A.; Carreño, F.; Melle, S.; Calderón, O.G.; Cabrera Granado, E.; Singh, M.R. Optical pumping of a single hole spin in a p-doped quantum dot coupled to a metallic nanoparticle. Phys. Rev. B 2013, 87, 195303. [Google Scholar] [CrossRef] [Green Version]
- Li, J.-B.; He, M.-D.; Chen, L.-Q. Four-wave parametric amplification in semiconductor quantum dot-metallic nanoparticle hybrid molecules. Opt. Express 2014, 22, 24734. [Google Scholar] [CrossRef] [PubMed]
- Liu, X.-N.; Yue, Q.; Yan, T.-F.; Li, J.-B.; Yan, W.; Ma, J.-J.; Zhao, C.-B.; Zhang, X.-H. Competition between local field enhancement and nonradiative resonant energy transfer in the linear absorption of a semiconductor quantum dot coupled to a metal nanoparticle. J. Phys. Chem. C 2016, 120, 18220. [Google Scholar] [CrossRef]
- Kosionis, S.G.; Paspalakis, E. Pump-probe optical response of semiconductor quantum dot–metal nanoparticle hybrids. J. Appl. Phys. 2018, 124, 223104. [Google Scholar] [CrossRef]
- Li, J.-H.; Shen, S.; Ding, C.-L.; Wu, Y. Magnetically induced optical transparency in a plasmon-exciton system. Phys. Rev. A 2021, 103, 053706. [Google Scholar] [CrossRef]
- Kosionis, S.G.; Paspalakis, E. Coherent effects in energy absorption in double quantum dot molecule—Metal nanoparticle hybrids. Phys. E Low-Dimens. Syst. Nanostruct. 2022, 135, 114907. [Google Scholar] [CrossRef]
- Villas-Boas, J.M.; Govorov, A.O.; Ulloa, S.E. Coherent control of tunneling in a quantum dot molecule. Phys. Rev. B 2004, 69, 125342. [Google Scholar] [CrossRef] [Green Version]
- Yuan, C.-H.; Zhu, K.-D. Voltage-controlled slow light in asymmetry double quantum dots. Appl. Phys. Lett. 2006, 89, 052115. [Google Scholar] [CrossRef]
- Borges, H.S.; Sanz, L.; Villas-Bôas, J.M.; Diniz Neto, O.O.; Alcalde, A.M. Tunneling induced transparency and slow light in quantum dot molecules. Phys. Rev. B 2012, 85, 115425. [Google Scholar] [CrossRef]
- Borges, H.S.; Sanz, L.; Villas-Boas, J.M.; Alcalde, A.M. Robust states in semiconductor quantum dot molecules. Phys. Rev. B 2010, 81, 075322. [Google Scholar] [CrossRef] [Green Version]
- Yao, H.-F.; Cui, N.; Niu, Y.-P.; Gong, S.-Q. Voltage-controlled coherent population transfer in an asymmetric semiconductor quantum dot molecule. Photonics Nanostruct. Fundam. Appl. 2011, 9, 174–178. [Google Scholar] [CrossRef]
- Voutsinas, E.; Terzis, A.F.; Paspalakis, E. Control of indirect exciton population in an asymmetric quantum dot molecule. Phys. Lett. A 2014, 378, 219–225. [Google Scholar] [CrossRef]
- Ioannou, M.; Boviatsis, J.; Paspalakis, E. Transient properties of voltage-controlled transparency in an asymmetric double quantum dot. Phys. E Low-Dimens. Syst. Nanostruct. 2008, 40, 2010–2012. [Google Scholar] [CrossRef]
- Kosionis, S.G.; Paspalakis, E. Pump-probe optical response of an asymmetric double quantum dot molecule. Phys. E Low-Dimens. Syst. Nanostruct. 2015, 73, 126–134. [Google Scholar] [CrossRef]
- Kosionis, S.G. Four-wave mixing in an asymmetric double quantum dot molecule. Superlatt. Microstr. 2018, 118, 152–159. [Google Scholar] [CrossRef]
- Borges, H.S.; Sanz, L.; Villas-Bôas, J.; Alcalde, A. Quantum interference and control of the optical response in quantum dot molecules. Appl. Phys. Lett. 2013, 103, 222101. [Google Scholar] [CrossRef] [Green Version]
- Li, J.H.; Yu, R.; Yang, X.X. Design of electro-optic switching via a photonic crystal cavity coupled to a quantum-dot molecule and waveguides. Phys. Lett. A 2010, 374, 3762–3767. [Google Scholar] [CrossRef]
- Peng, Y.-D.; Niu, Y.-P.; Cui, N.; Gong, S.-Q. Cavity linewidth narrowing by voltage-controlled induced transparency in asymmetry quantum dot molecules. Opt. Commun. 2011, 284, 824–827. [Google Scholar] [CrossRef]
- Tian, S.-C.; Tong, C.-Z.; Wang, C.-L.; Wang, L.-J.; Wu, H.; Xing, E.-B.; Ning, Y.-Q.; Wang, L.-J. Spectral line narrowing via spontaneously generated coherence in quantum dot molecules. Opt. Commun. 2014, 312, 296–301. [Google Scholar] [CrossRef]
- Evangelou, S. Comment on “Tunneling effect on second-harmonic generation in quantum dot molecule, Superlattices and Microstructures 91 (2016) 358–364”. Superlatt. Microstr. 2020, 147, 106708. [Google Scholar]
- Zhang, W.; Govorov, A.O.; Bryant, G.W. Semiconductor-metal nanoparticle molecules: Hybrid excitons and the nonlinear Fano effect. Phys. Rev. Lett. 2006, 97, 146804. [Google Scholar] [CrossRef] [PubMed] [Green Version]
- Artuso, R.D.; Bryant, G.W. Strongly coupled quantum dot-metal nanoparticle systems: Exciton-induced transparency, discontinuous response, and suppression as driven quantum oscillator effects. Phys. Rev. B 2010, 82, 195419. [Google Scholar] [CrossRef]
- Yan, J.-Y.; Zhang, W.; Duan, S.; Zhao, X.-G.; Govorov, A.O. Optical properties of coupled metal semiconductor and metal-molecule nanocrystal complexes: Role of multipole effects. Phys. Rev. B 2008, 77, 165301. [Google Scholar] [CrossRef] [Green Version]
- Sadeghi, S.M.; West, R.W. Coherent control of Forster energy transfer in nanoparticle molecules: Energy nanogates and plasmonic heat pulses. J. Phys. Condens. Matt. 2011, 23, 425302. [Google Scholar] [CrossRef]
- Johnson, P.B.; Christy, R.W. Optical constants of the noble metals. Phys. Rev. B 1972, 6, 4370–4379. [Google Scholar] [CrossRef]










Publisher’s Note: MDPI stays neutral with regard to jurisdictional claims in published maps and institutional affiliations. |
© 2021 by the authors. Licensee MDPI, Basel, Switzerland. This article is an open access article distributed under the terms and conditions of the Creative Commons Attribution (CC BY) license (https://creativecommons.org/licenses/by/4.0/).
Share and Cite
Kosionis, S.G.; Paspalakis, E. Controlling the Pump-Probe Optical Response in Asymmetric Tunneling-Controlled Double Quantum Dot Molecule—Metal Nanoparticle Hybrids. Appl. Sci. 2021, 11, 11714. https://doi.org/10.3390/app112411714
Kosionis SG, Paspalakis E. Controlling the Pump-Probe Optical Response in Asymmetric Tunneling-Controlled Double Quantum Dot Molecule—Metal Nanoparticle Hybrids. Applied Sciences. 2021; 11(24):11714. https://doi.org/10.3390/app112411714
Chicago/Turabian StyleKosionis, Spyridon G., and Emmanuel Paspalakis. 2021. "Controlling the Pump-Probe Optical Response in Asymmetric Tunneling-Controlled Double Quantum Dot Molecule—Metal Nanoparticle Hybrids" Applied Sciences 11, no. 24: 11714. https://doi.org/10.3390/app112411714
APA StyleKosionis, S. G., & Paspalakis, E. (2021). Controlling the Pump-Probe Optical Response in Asymmetric Tunneling-Controlled Double Quantum Dot Molecule—Metal Nanoparticle Hybrids. Applied Sciences, 11(24), 11714. https://doi.org/10.3390/app112411714

