Next Article in Journal
Theoretical Analysis for Stability Evaluation of Rock Mass Engineering Structure under Combined Compression-Shear Loading: A Case Study of Inclined Pillar
Previous Article in Journal
An Integrated Study of Water Weakening and Fluid Rock Interaction Processes in Porous Rocks: Linking Mechanical Behavior to Surface Properties
 
 
Font Type:
Arial Georgia Verdana
Font Size:
Aa Aa Aa
Line Spacing:
Column Width:
Background:
Article

Effective Capacity Analysis of NOMA Networks with Short Packets

1
School of Electronic and Information Engineering, Beihang University, Beijing 100191, China
2
The Key Laboratory of Modern Measurement & Control Technology, Ministry of Education and also with the School of Information and Communication Engineering, Beijing Information Science and Technology University, Beijing 100101, China
3
The State Key Laboratory of Wireless Mobile Communications, China Academy of Telecommunications Technology, Beijing 100191, China
*
Author to whom correspondence should be addressed.
Appl. Sci. 2021, 11(23), 11438; https://doi.org/10.3390/app112311438
Submission received: 15 October 2021 / Revised: 24 November 2021 / Accepted: 29 November 2021 / Published: 2 December 2021
(This article belongs to the Special Issue Energy System Planning and Design)

Abstract

:
Low latency and a massive connection have become the requirements of energy internet wireless communication. Effective capacity analysis of non-orthogonal multiple access (NOMA) networks with short packets is of vital importance in energy internet communication planning and design. Low-latency communications are one of the main application scenarios in next-generation wireless networks. This paper focuses on the effective capacity of NOMA networks, where the finite blocklength, delay exponent, and transmission error probability are taken into account. New exact and asymptotic expressions of effective capacities are derived for arbitrarily ordered users with a finite blocklength. Based on the analytical results, the high Signal-to-Noise Ratio slopes of effective capacity in NOMA networks are carefully attained. The numerical results validate that (a) non-orthogonal users are capable of obtaining a larger effective capacity when the blocklength decreases, and that (b), as the value of the error probability and delay exponent increases, the effective capacity of non-orthogonal users worsens.

1. Introduction

Energy internet information collection and data transmission depends on the planning and construction of a wireless communication network with a high data transmission rate and a low delay. The scientific design of a communication network ensures the two-way transmission of energy internet information flow. The advanced application of energy internet is to provide application services to users, and the design of a wireless communication network is a guarantee of user experience quality. NOMA technology supports massive connections and low latency, so it can promote the deep integration of an information system and a physical system. The high-speed communication of NOMA can be used for the efficient networking of integrated energy systems and improve the quality and efficiency of integrated energy services. The massive data in the energy internet of things require that the communication network has the ability to use limited spectrum resources to achieve large terminal access, a high communication rate, and a large system capacity. NOMA can realize the simultaneous transmission and demodulation of signals from multiple destination nodes, and it can obtain higher spectral efficiency than traditional orthogonal multiple access (OMA). Applying NOMA to the power line communication system can better deploy the future energy internet of things and improve the communication service quality of equipment terminals. Effective capacity analysis of NOMA networks with short packets is of vital importance in energy internet communication planning and design.
With the fifth generation (5G) mobile communication network being tested and deployed all over the world, the sixth generation (6G) mobile communication system has gradually attracted extensive interest in academia and industry [1,2]. Supporting massive connections and a low latency are two of the main distinguishing features of 6G networks. Millimeter waves and NOMA are two important techniques that can significantly improve spectral efficiency. Millimeter wave technology can achieve high speeds and reliability by enhancing various wireless links in 5G communication, and can be used as terahertz in 6G communication [3,4]. NOMA is capable of sharing the same bandwidth resources among multiple users [5,6]. As one of the important schemes of NOMA, Sparse Code Division Multiple Access (SCMA) combines code domain signal superposition, a sparse spread spectrum, and multi-dimensional constellation design, so that the SCMA system has a high overload gain and a high frequency spectral efficiency while maintaining low complexity [7]. Successive interference cancellation (SIC) is implemented at nearby users with a stronger channel to strike out the interference from distant users. An exceptional spectral efficiency of NOMA has been attained by invoking users’ distinguishing channel conditions or a quality of service (QoS) [8].
Low-latency communications are the foundation for enabling business-sensitive applications with rigorous QoS [9,10]. A short packet with finite blocklength codes is an efficient approach to achieve low-latency communications, where the effective capacity can be employed to characterize the performance of wireless networks under the condition of certain delay constraints [11]. Due to the finitude of blocklength, the decoding error probability of a receiver cannot be ignored in short packet communications. As a result, it is pivotal to highlight the performance of NOMA networks with low-latency communications [12,13,14]. The authors of [12] studied the trade-off between transmission latency and decoding error probability. In [13], the closed-form expressions of block error rates (BERs) were derived, and the superior performance of NOMA was proved by reducing transmission delay. Through the optimization of the transmission rate and power allocation, the authors of [14] aimed to maximize the effective throughput of users with a high channel gain and ensure that other users meet the lowest effective throughput for short-packet communications. In [15], the authors introduced NOMA technology to secure short packet communication in the loT. In [16], the effects of the transmission signal-to-noise ratio (SNR) and the delay exponent on the effective capacity and queue delay violation probability were studied for low-latency communications. The author in [17] optimized the resources of the multi-carrier NOMA system for packet communication. Through joint carrier allocation and transmission power allocation, the transmission rate is allocated to each user to maximize the total weighted effective throughput. The authors in [18,19] researched the capacity of NOMA networks, but the performance of the last user was not taken into consideration. To the best of our knowledge, the effective capacities of M users for NOMA networks with finite blocklength have not been well addressed.
In light of the above discussions, we studied the NOMA latency performance with a finite blocklength. New closed-form and asymptotic expressions of effective capacity for sorted users were derived using Gauss–Laguerre quadrature. Numerical simulation shows that (1), as the blocklength decreases, non-orthogonal users are capable of attaining a larger effective capacity, and (2) the diversification of the error probability and the delay exponent has a great impact on users’ effective capacities.
The rest of this paper is organised as follows. Section 2 describes the model of the NOMA system with short packet communications. In Section 3, we derived both new exact and asymptotic expressions of effective capacities and then obtained high SNR slopes of effective capacity in NOMA networks. Numerical simulation results for verifying our analysis are presented in Section 4 and are followed by our conclusion in Section 5.

2. Network Model

In this section, a downlink NOMA system with short packet communications and the effective capacity of NOMA networks are presented in the following sections.
In a downlink NOMA system with short packet communications, a base station (BS) serves M users within a finite blocklength of n symbol periods, as shown in Figure 1. The packets of each user are stored temporarily in the memory space, i.e., an individual buffer, and then transmitted in a first-input-first-output process. As a further development, the packets of M users are superposed at the BS. To simplify the analyses, the BS and users are single antenna nodes, respectively. The wireless communication links from the BS to users are subjected to independent block Rayleigh fading. The corresponding channel coefficients are denoted as h 1 , ⋯, h m , ⋯, and h M , respectively. To fully exploit the advantage of NOMA with regard to orthogonal multiple access (OMA), it can be assumed that the channels from the BS to the users are distinguished largely and ordered as h 1 2 h m 2 h M 2 . It is assumed that the BS is capable of obtaining channel state information of wireless links.
When detecting the m-th user’s signal x m , the signals of the previous m 1 user will interfere. Therefore, the SIC detection method is adopted. When the signals x m is detected, the signals of the previous m 1 user is detected and deleted. The m-th user receives not only its own signal but also the signal of the previous m 1 user. Therefore, the blocklength of the x m must not be shorter than the blocklength of the x m 1 , where x m is the signal related to U m .
Based on the above explanations, the received signal at the m-th user is
y m = h m i = 1 M a i P s x i + n m ,
where a i is a coefficient for power allocation of the i-th user ( 1 i M ) . From the perspective of user fairness, the power coefficients of users satisfy the relationship of a 1 a m a M [8,20]. P s is the transmitting power at the BS. n m C N 0 , N 0 denotes the additive Gaussian noise where mean = 0 and variance = N 0 at the m-th user.
Using SIC technology, before decoding the m-th user’s information, the p-th user’s information ( p < m < M ) is first decoded and then deleted successfully. Hence, the received signal-to-interference-plus-noise ratio (SINR) for the m-th user can be given by the following formula:
γ m = ρ h m 2 a m ρ h m 2 i = m + 1 M a i + 1 ,
where ρ = P s N 0 stands for the transmitting SNR. After the M-th user successfully detects and deletes the signals of the previous M 1 users, the SNR of user M is
γ M = ρ h M 2 a M .
According to Shannon’s theory, the decoding error probability of the receiver can be ignored when the coding blocklength tends to infinity [21]. On the contrary, the error probability of receiving ends for short packet communications is non-negligible, which mainly works to achieve the goal of low latency. Under these situations, the achievable rates of short packet communications cannot be characterized by the Shannon formula at a given blocklength. As previously mentioned in [11], the transmission rate of the data packet is a function of SNR, block length, and error probability. As a consequence, the achievable rates of the m-th user and M-th user are given by
R m n , ε = log 1 + γ m V m n Q 1 ε ,
and
R M n , ε = log 1 + γ M V M n Q 1 ε ,
respectively, where V m = 1 1 1 + γ m 2 log e 2 and V M = 1 1 1 + γ M 2 log e 2 are the characteristics of the channel, referred to as the channel dispersion for the m-th user and M-th user, respectively. Q x = x 1 2 π e t 2 2 d t stands for the Gaussian function. ε denotes the transmission error probability, which has a relationship of ε 0 , 1 .

Effective Capacity

Effective capacity is an approach to characterize the quality of service of the link layer for wireless channels. The main features of the effective capacity, i.e., C e , is to characterize the wireless channel with the purpose of supporting quality of service [22], which is defined as a maximum rate while maintaining a certain latency range in the delay outage probability and the maximum delay bound D max . It is worth noting that P d e l a y e θ C e D max is an approximated delay outage probability, where θ is the delay exponent to reflect the system tolerance for a long latency. As pointed out by [23], the effective capacities are formulated by
C m , e = 1 n θ m ln E ε + 1 ε e n θ m R m ,
and
C M , e = 1 n θ M ln E ε + 1 ε e n θ M R M ,
respectively, where θ m is a delay exponent of user the m, and θ M is a delay exponent of the M-th user. (6) is effective capacity function, which stands for the maximum achievable rate [20]. Equation (1) of [24] is ergodic capacity, which is independent of the blocklength. It can be seen from Jenson inequality E l o g 1 + x l o g E 1 + x that there is a difference between the inside expectation operator and the outside expectation operator in the logarithmic functions.

3. Performance Evaluation

By substituting (4) into (6) and applying some arithmetic manipulations, the effective capacity of the m-user can be rewritten as
C m , e = 1 n θ m ln E ε + 1 ε 1 + γ m α e β m δ m ,
where δ m = 1 ln 2 1 1 + γ m 2 .
In light of the power series expansion and taking the first three items, i.e., e x 1 + x + x 2 2 , an approximated expression can be obtained as follows:
C m , e 1 n θ m ln E ε + 1 ε 1 + γ m α m × 1 + β m δ m + β m δ m 2 2
C m , e = 1 n θ m ln ε + E 1 ε 1 + γ m α m I 1 + E β m ln 2 1 ε 1 + γ m α m 1 1 + γ m 2 I 2 + E 1 ε 1 + γ m α m β m 2 1 1 + γ m 2 log 2 e 2 2 I 3 .
Upon substituting (2) into (10), we obtain I 1 as follows:
I 1 = 1 ε E 1 + ρ h m 2 a m ρ h m 2 a ˜ m + 1 α m = 1 ε 0 1 + ρ a m x ρ a ˜ m x + 1 α m f h m 2 x d x .
With the help of order statistics in [25], the channel gain PDF of user m h m 2 is
f h m 2 x = M ! m 1 ! M m ! f h ˜ m 2 x × F h ˜ m 2 x m 1 1 F h ˜ m 2 x M m ,
where h ˜ m 2 is the unsorted channel gain between the BS and user m. The corresponding cumulative distribution function (CDF) is expressed as F h ˜ m 2 x = 1 e x . By substituting (12) into (11) and then applying a binomial theorem, I 1 can be calculated as follows:
I 1 = 1 ε ϕ m r = 0 m 1 m 1 r 1 r × 0 1 + ρ a m x ρ a ˜ m x + 1 α m e x φ d x = 1 ε ϕ m r = 0 m 1 m 1 r 1 r φ × 0 1 + ρ a m y ρ a ˜ m y + φ α m e y d y ,
where ϕ m = M ! m 1 ! M m ! and φ = M m + r + 1 . The expression of (13) can be further approximated as integral expressions using the virtue of the Gauss–Laguerre quadrature [26],
I 1 1 ε ϕ m r = 0 m 1 m 1 r 1 r φ × p = 1 P H p 1 + ρ a m x p ρ a ˜ m x p + φ α m ,
where x p is the abscissas, and H p is the weight of the Gauss–Laguerre quadrature. x p is the p-th zero of L P x p , H p can be formulated as H p = P ! 2 x p L P + 1 x p 2 , and P is a complexity-vs-accuracy trade-off parameter, which can ensure a trade-off between complexity and accuracy.
Similar to the derived processes of I 1 , I 2 and I 3 can be given by
I 2 ϕ m β m 1 ε ln 2 r = 0 m 1 m 1 r 1 r φ p = 1 P H p × 1 + ρ a m x p ρ a ˜ m x p + φ α m 1 1 + ρ a m x p ρ a ˜ m x p + φ 2 ,
and
I 3 ϕ m β m 2 1 ε 2 ln 2 2 r = 0 m 1 m 1 r 1 r φ p = 1 P H p × 1 + a m ρ x p a ˜ m ρ x p + φ α m 1 1 + a m ρ x p a ˜ m ρ x p + φ 2 ,
respectively. Finally, upon substituting (14)–(16) into (10), the effective capacities of the m-th user networks with short packet communications is obtained in (17).
Theorem 1.
The effective capacity of the m-user with short packet communications can be given by
C m , e 1 n θ m ε + 1 ε ϕ m r = 0 m 1 m 1 r 1 r φ × p = 1 P H p 1 + ρ a m x p ρ a ˜ m x p + φ α m + β m ln 2 p = 1 P H p 1 + ρ a m x p ρ a ˜ m x p + φ α m 1 1 + ρ a m x p ρ a ˜ m x p + φ 2 + β m 2 2 ln 2 2 × p = 1 P H p 1 + a m ρ x p a ˜ m ρ x p + φ α m 1 1 + a m ρ x p a ˜ m ρ x p + φ 2 ,
where φ = M m + r + 1 , ϕ m = M ! m 1 ! M m ! , α m = n θ m ln 2 , a ˜ m = i = m + 1 M a i , and β m = θ m n Q 1 ε .
Theorem 2.
The effective capacity of the M-user with short packet communications can be given by
C M , e 1 n θ M ln ε + 1 ε Δ + 1 ε β M Δ ln 2 × 1 1 + ρ x p a M r + 1 2 + 1 ε β M 2 Δ 2 ln 2 2 × 1 1 + ρ x p a M r + 1 2 ,
where Δ = M r = 0 M 1 M 1 r 1 r r + 1 p = 1 P H p 1 + ρ a M x p r + 1 α M and α M = n θ M ln 2 , β M = θ M n Q 1 ε .

Slope Analysis

The high SNR slope is used to display the effective capacity of wireless communication, which can be expressed as
S = lim ρ C m ρ log ρ ,
where C m ρ is the asymptotic effective capacity in the high SNR region. To carry out more adequate research, the expression of the effective capacity of the m user is further derived from (8)
C e m = 1 θ m n ln E ε + 1 ε 1 + γ m θ m n ln 2 e θ m n V m Q 1 ε .
When ρ , γ m and V m can be expressed as follows:
γ m = ρ h m 2 a m ρ h m 2 a ˜ m + 1 a m a ˜ m ,
V m 1 1 + a m a ˜ m 2 1 ln 2 2 .
Hence, substituting (21) and (22) into (20), the asymptotic effective capacity of the m-th user is calculated as follows:
C m , e = 1 θ m n ln E ε + 1 ε 1 + a m a ˜ m θ m n ln 2 e 1 1 + a m a ˜ m 2 1 ln 2 2 θ m n Q 1 ε = 1 θ m n ln ε + 1 ε 1 + a m a ˜ m θ m n ln 2 e β m 1 1 + a m a ˜ m 2 1 ln 2 2 .
Remark 1.
Upon substituting (23) into (19), the high SNR slope of the m-th user is z e r o .
Similarly, the expression of the effective capacity of the M user is further derived from (7)
C e M = 1 θ M n ln E ε + 1 ε 1 + γ M θ M n ln 2 e θ M n V M Q 1 ε .
When ρ , V m can be expressed as follows:
V M = 1 1 + ρ h M 2 a M 2 1 ln 2 2 1 ln 2 2 .
Hence, substituting (3) and (25) into (24), the asymptotic effective capacity of the M-th user at a high SNR region is expressed by
C M , e = 1 θ M n ln E ε + 1 ε 1 ρ 1 ρ + h M 2 a M θ M n ln 2 e β M V M = 1 θ M n ln ε .
Remark 2.
Upon substituting (26) into (19), the high SNR slope of the M-th user is z e r o .

4. Numerical Results

Here, the simulation results are presented to display the impacts of the delay exponent and the transmission error probability on NOMA networks with short packet communications. Assuming that there are three non-orthogonal users in the network and the corresponding power allocation factors are allocated to be a 3 = 0.2 , a 2 = 0.3 and a 1 = 0.5 , the finite blocklength is equal to 300, i.e., n = 300 , and the delay exponents and transmission error probability are set to θ 1 = θ 2 = θ 3 = 0.01 and ε = 10 5 , respectively. We chose the conventional orthogonal multiple access (OMA) as a generality baseline, and fairness can be guaranteed.
Figure 2 plots the effective capacity of the three users vs. the SNR for a simulation setting with n = 300 , θ 1 = θ 2 = θ 3 = 0.01 , and ε = 10 5 . The effective capacity curves of the user m (i.e., m = 1 and m = 2 ) for NOMA networks with short packets are plots based on (17). The effective capacity curve of the user M (i.e., M = 3 ) is plotted based on (18). Clearly, the simulation results are matched with the theoretical expressions. It can be observed that the effective capacity of NOMA networks is a throughput ceiling, and this is a result of the impacts of transmission error probability. Another observation is that the effective capacity of OMA is worse than that of User 3, as our the capacities of Users 1 and 2.This phenomenon demonstrates that NOMA with low-latency communications can also serve multiple users, and other papers [8,20,27] show the same conclusions.
Figure 3 shows the effective user capacity vs. SNR with a different blocklength (i.e., n = 400 , 300, and 200). As shown in Figure 3, as the blocklength decreases, the effective capacity of User 3 becomes much greater, while there are almost no changes for Users 1 and 2. The main reason for this is that the distant users suffer serious impacts from the process of decoding.
Figure 4 plots the effective capacity of the three users vs. ε for a simulation setting with n = 300 and θ 1 = θ 2 = θ 3 = 0.01 . As can be seen in Figure 4, the transmission error probability has a greater influence on NOMA networks under low-latency communications. As the value of ρ increases, the effective capacity of NOMA networks substantially decreases. This is because that ε becomes a major factor relative to the low SNRs.
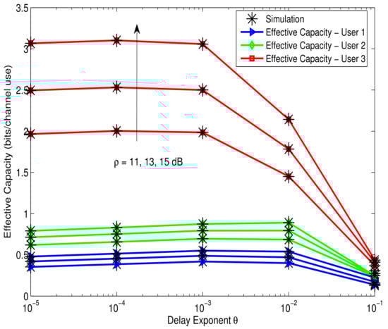
Figure 5 plots the effective capacity vs. θ . It can be observed that a larger value of the delay exponent leads to a smaller effective capacity. However, the high SNR improves the effective capacity at a given θ , and the effective capacities of Users 1 and 2 seem to be more stable than that of User 3.
Figure 6 plots the effective capacities of the three users vs. the SNR and blocklength for a simulation setting with θ 1 = θ 2 = θ 3 = 0.01 and ε = 10 5 . As can be seen in Figure 6, the effective capacity of User 1 is mainly affected by the SNR, and the blocklength has little effect. With respect to User 2, the effective capacity is affected by the SNR and the blocklength. The effective capacity of User 3 increases with the increase in SNR and the decrease in blocklength. This can be explained by the fact that, in the NOMA system, the blocklength of User 2 is not shorter than the blocklength of User 1; otherwise, the detection of User 2 will not succeed. The blocklength of User 3 is not shorter than those of the other two users at the same time.
Figure 7 shows the influences of blocklength and SNR on the user’s effective capacity. The effective capacity of non-orthogonal users increases with SNR and eventually tends to be stable in the high SNR region. In the low SNR region, the change of blocklength has little impact on the effective capacity. The asymptotic effective capacities of non-orthogonal users are convergent in the high SNR region. In the high SNR region, the change in the effective capacity of User 3 decreases significantly with the increase in blocklength. Therefore, the performance of User 3 is better with a small blocklength. However, the effective capacities for Users 1 and 2 increase slowly with the increase of blocklength. It should be noted that, when the blocklength is equal to 650, the capacity will neither increase nor decrease. In order to comprehensively ensure the performances of the three users, the blocklength setting range can be between 600 and 650. Therefore, the blocklength affects the user’s effective capacity. Therefore, we can ensure the performance of users by selecting the appropriate blocklength and SNR.

5. Conclusions

In this paper, NOMA networks with short packet communications were studied, and the effective capacity for non-orthogonal users was used as the performance evalution standard. We derived the exact expressions of effective capacity for non-orthogonal users. We then derived the asymptotic expressions of the effective capacity for non-orthogonal users when the SNR is infinite and concluded that the slope of the curve of the effective capacity for non-orthogonal users in the high SNR region is equal to zero. In addition, the relationship between the effective capacity of multiple users, delay parameters, the transmission error rate, the SNR, and the blocklength has been discussed in detail by simulations. The results show that, when the related parameters remain unchanged, the user’s effective capacity decreases with the increase in the transmission error rate or the delay parameters, increases with the increase in SNR or blocklength, and tends to be stable in the high SNR region. Numerical results have also indicated that the NOMA networks can provide better an effective capacity in comparison with the OMA scheme.

Author Contributions

Methodology, X.Y.; Supervision, S.K.; Writing—review and editing, X.Z. All authors have read and agreed to the published version of the manuscript.

Funding

This research received no external funding.

Institutional Review Board Statement

Not applicable.

Informed Consent Statement

Not applicable.

Data Availability Statement

The data used to support the findings of this study are available from the corresponding author upon request.

Conflicts of Interest

The authors declare no conflict of interest.

References

  1. You, X.; Wang, C.X.; Huang, J.; Gao, X.; Zhang, Z.; Wang, M.; Huang, Y.; Zhang, C.; Jiang, Y.; Wang, J.; et al. Towards 6G wireless communication networks: Vision, enabling technologies, and new paradigm shifts. China Inf. Sci. 2021, 64, 110301. [Google Scholar] [CrossRef]
  2. Saad, W.; Bennis, M.; Chen, M. Avision of 6G wireless systems: Applications, trends, technologies, and open research problems. IEEE Netw. 2020, 34, 134–142. [Google Scholar] [CrossRef] [Green Version]
  3. Rappaport, T.S.; Xing, Y.; Kanhere, O.; Ju, S.; Madanayake, A.; Mandal, S.; Alkhateeb, A.; Trichopoulos, G.C. Wireless communications and applications above 100 GHz: Opportunities and challenges for 6G and beyond. IEEE Access 2019, 7, 78729–78757. [Google Scholar] [CrossRef]
  4. Hong, W.; Jiang, Z.H.; Yu, C.; Hou, D.; Wang, H.; Guo, C.; Hu, Y.; Kuai, L.; Yu, Y.; Jiang, Z. The Role of Millimeter-Wave Technologies in 5G/6G Wireless Communications. IEEE J. Microw. 2021, 1, 101–122. [Google Scholar] [CrossRef]
  5. Liu, Y.; Qin, Z.; Elkashlan, M.; Ding, Z.; Nallanathan, A.; Hanzo, L. Non-orthogonal multiple access for 5G and beyond. Proc. IEEE 2017, 105, 2347–2381. [Google Scholar] [CrossRef] [Green Version]
  6. Ding, Z.; Lei, X.; Karagiannidis, G.K.; Schober, R.; Yuan, J.; Bhargava, V.K. A survey on non-orthogonal multiple access for 5G networks: Research challenges and future trends. IEEE J. Sel. Areas Commun. 2017, 35, 2181–2195. [Google Scholar] [CrossRef] [Green Version]
  7. Meng, X.; Wu, Y.; Chen, Y.; Cheng, M. Low complexity receiver for uplink SCMA system via expectation propagation. IEEE Wirel. Commun. Netw. Conf. 2017, 1, 1525–3511. [Google Scholar]
  8. Ding, Z.; Yang, Z.; Fan, P.; Poor, H.V. On the performance of non-orthogonal multiple access in 5G systems with randomly deployed users. IEEE Signal Process. Lett. 2014, 31, 1501–1505. [Google Scholar] [CrossRef] [Green Version]
  9. Amjad, M.; Musavian, L.; Rehmani, M.H. Effective capacity in wireless networks: A comprehensive survey. IEEE Commun. Surv. 2019, 21, 3007–3038. [Google Scholar] [CrossRef] [Green Version]
  10. Lopez, O.L.A.; Mahmood, N.H.; Alves, H.; Lima, C.M.; Latvaaho, M. Ultra-low latency, low energy, and massiveness in the 6G era via efficient CSIT-limited scheme. IEEE Commun. Mag. 2020, 58, 56–61. [Google Scholar] [CrossRef]
  11. Polyanskiy, Y.; Poor, H.V.; Verdu, S. Channel coding rate in the finite blocklength regime. IEEE Trans. Inf. Theory 2010, 56, 2307–2359. [Google Scholar] [CrossRef]
  12. Sun, X.; Yan, S.; Yang, N.; Ding, Z.; Shen, C.; Zhong, Z. Shortpacket downlink transmission with non-orthogonal multiple access. IEEE Trans. Wirel. Commun. 2018, 17, 4550–4564. [Google Scholar] [CrossRef] [Green Version]
  13. Yu, Y.; Chen, H.; Li, Y.; Ding, Z.; Vucetic, B. On the performance of non-orthogonal multiple access in short-packet communications. IEEE Commun. Lett. 2018, 22, 590–593. [Google Scholar] [CrossRef]
  14. Sun, X.; Yan, S.; Yang, N.; Ding, Z.; Shen, C.; Zhong, Z. Downlink NOMA transmission for low-latency short-packet communications. In Proceedings of the 2018 IEEE International Conference on Communications Workshops (ICC Workshops), Kansas City, MO, USA, 20–24 May 2018; Volume 22, pp. 1–6. [Google Scholar]
  15. Xiang, Z.; Yang, W.; Cai, Y.; Ding, Z.; Song, Y.; Zou, Y. NOMA-Assisted Secure Short-Packet Communications in IoT. IEEE Wirel. Commun. 2020, 27, 8–15. [Google Scholar] [CrossRef]
  16. Amjad, M.; Musavian, L.; Aïssa, S. Link-Layer Rate of NOMA with Finite Blocklength for Low-Latency Communications. In Proceedings of the 2020 IEEE 31st Annual International Symposium on Personal, Indoor and Mobile Radio, London, UK, 31 August–3 September 2020; Volume 22, pp. 1–6. [Google Scholar]
  17. Chen, J.; Zhang, L.; Liang, Y.; Ma, S. Optimal Resource Allocation for Multicarrier NOMA in Short Packet Communications. IEEE Trans. Veh. Technol. 2020, 69, 2141–2156. [Google Scholar] [CrossRef]
  18. Amjad, M.; Musavian, L.; Aissa, S. NOMA versus OMA in finite blocklength regime: Link-layer rate performance. IEEE Trans. Veh. Technol. 2020, 69, 16253–16257. [Google Scholar] [CrossRef]
  19. Amjad, M.; Musavian, L.; Aissa, S. Effective capacity of NOMA with finite blocklength for low-latency communications. arXiv 2020, arXiv:2002.07098v1. [Google Scholar]
  20. Yue, X.; Qin, Z.; Liu, Y.; Kang, S.; Chen, Y. A unified framework for non-orthogonal multiple access. IEEE Trans. Commun. 2018, 66, 5346–5359. [Google Scholar] [CrossRef]
  21. Shannon, C.E. A mathematical theory of communication. Bell Syst. Tech. J. 1948, 27, 379–423. [Google Scholar] [CrossRef] [Green Version]
  22. Wu, D.; Negi, R. Effective capacity: A wireless link model for support of quality of service. IEEE Trans. Wirel. Commun. 2003, 2, 630–643. [Google Scholar]
  23. Gursoy, M.C. Throughput analysis of buffer-constrained wireless systems in the finite blocklength regime. EURASIP J. Wirel. Commun. Netw. 2013, 2013, 290. [Google Scholar] [CrossRef] [Green Version]
  24. Hassan, A.K.; Moinuddin, M. Beamforming using exact evaluation of leakage and ergodic capacity of MU-MIMO system. Sensors 2021, 21, 6792. [Google Scholar] [CrossRef] [PubMed]
  25. David, H.A.; Nagaraja, H.N. Order Statistics, 3rd ed.; John Wiley: New York, NY, USA, 2003. [Google Scholar]
  26. Hildebrand, E. Introduction to Numerical Analysis; Dover: New York, NY, USA, 1987. [Google Scholar]
  27. Men, J.; Ge, J.; Zhang, C. Performance analysis of nonorthogonal multiple access for relaying networks over nakagamim fading channels. IEEE Trans. Veh. Technol. 2017, 66, 1200–1208. [Google Scholar] [CrossRef]
Figure 1. Illustration of a downlink NOMA system with short packet communications.
Figure 1. Illustration of a downlink NOMA system with short packet communications.
Applsci 11 11438 g001
Figure 2. Effective capacity vs. the transmit SNR, with n = 300 , θ 1 = θ 2 = θ 3 = 0.01 , and ε = 10 5 .
Figure 2. Effective capacity vs. the transmit SNR, with n = 300 , θ 1 = θ 2 = θ 3 = 0.01 , and ε = 10 5 .
Applsci 11 11438 g002
Figure 3. Effective capacity vs. the transmit SNR, with θ 1 = θ 2 = θ 3 = 0.01 , and ε = 10 5 .
Figure 3. Effective capacity vs. the transmit SNR, with θ 1 = θ 2 = θ 3 = 0.01 , and ε = 10 5 .
Applsci 11 11438 g003
Figure 4. Effective capacity vs. the transmission error probability ε , with n = 300 , and θ 1 = θ 2 = θ 3 = 0.01 .
Figure 4. Effective capacity vs. the transmission error probability ε , with n = 300 , and θ 1 = θ 2 = θ 3 = 0.01 .
Applsci 11 11438 g004
Figure 5. Effective capacity vs. the delay exponent θ , with n = 300 , ε = 10 5 .
Figure 5. Effective capacity vs. the delay exponent θ , with n = 300 , ε = 10 5 .
Applsci 11 11438 g005
Figure 6. Effective capacity vs. the transmit SNR vs. the blocklength n, with θ 1 = θ 2 = θ 3 = 0.01 , and ε = 10 5 .
Figure 6. Effective capacity vs. the transmit SNR vs. the blocklength n, with θ 1 = θ 2 = θ 3 = 0.01 , and ε = 10 5 .
Applsci 11 11438 g006
Figure 7. Effective capacity vs. the blocklength n, with θ 1 = θ 2 = θ 3 = 0.01 , and ε = 10 5 .
Figure 7. Effective capacity vs. the blocklength n, with θ 1 = θ 2 = θ 3 = 0.01 , and ε = 10 5 .
Applsci 11 11438 g007
Publisher’s Note: MDPI stays neutral with regard to jurisdictional claims in published maps and institutional affiliations.

Share and Cite

MDPI and ACS Style

Zhang, X.; Yue, X.; Kang, S. Effective Capacity Analysis of NOMA Networks with Short Packets. Appl. Sci. 2021, 11, 11438. https://doi.org/10.3390/app112311438

AMA Style

Zhang X, Yue X, Kang S. Effective Capacity Analysis of NOMA Networks with Short Packets. Applied Sciences. 2021; 11(23):11438. https://doi.org/10.3390/app112311438

Chicago/Turabian Style

Zhang, Xiurong, Xinwei Yue, and Shaoli Kang. 2021. "Effective Capacity Analysis of NOMA Networks with Short Packets" Applied Sciences 11, no. 23: 11438. https://doi.org/10.3390/app112311438

APA Style

Zhang, X., Yue, X., & Kang, S. (2021). Effective Capacity Analysis of NOMA Networks with Short Packets. Applied Sciences, 11(23), 11438. https://doi.org/10.3390/app112311438

Note that from the first issue of 2016, this journal uses article numbers instead of page numbers. See further details here.

Article Metrics

Back to TopTop