Predicting Compressive Strength of 3D Printed Mortar in Structural Members Using Machine Learning
Abstract
:1. Introduction
2. Research Significance
3. Methodology
3.1. Grasshopper Optimization Algorithm
3.2. Multi-Objective Grasshopper Optimization Algorithm (MOGOA)
3.3. Artificial Neural Network (ANN)
3.4. Proposed Model
- -
- Data Normalization
- -
- Cross-validation using K-fold
- -
- Initializing MOGOA’s parameters
- -
- Grasshopper’s positions initializing
- -
- Grasshopper’s performance computation
- -
- Using MOGOA
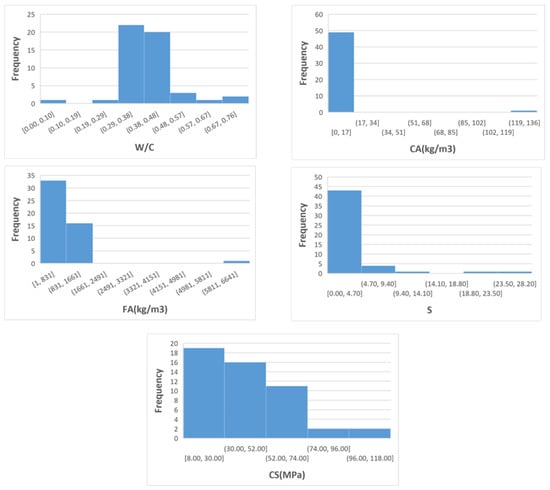
4. Materials and Data Collection
4.1. Mix Proportion of Mortar
4.2. Fresh Properties of Mortar
5. Results and Discussion
6. Conclusions
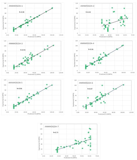
- Seven different networks with different complexities and accuracies are presented. From these algorithms, users can choose which model suits their project the most based on their limitations. It is obvious that if they need more accurate results they need to choose a network with a more complex structure.
- Since the maximum number of hidden layers in this study is three, it is proved that for predicting 3DP concrete’s compressive strength, with a well-developed method, the results of a network with only one hidden layer can be accurate enough and there is no need for more complex net-works.
- The correlation coefficient of three out of seven networks (ANNMOGOA-1, ANNMOGOA-4, and ANNMOGOA-5) is more than 0.96, which is accurate enough to be accepted.
- Based on SI, four networks have good performance in predicting the compressive strength of 3DP concrete.
- Considering MAPE, the accuracy of ANNMOGOA-1 is about 92%, which is a high value of accuracy.
Author Contributions
Funding
Data Availability Statement
Conflicts of Interest
Appendix A
| Ref. | Cement (kg/m3) | Water (kg/m3) | W/C | Coarse Aggregate (kg/m3) | Fine Aggregate (kg/m3) | Superplasticizer (kg/m3) | Compressive Strength (MPa) (28 days) |
|---|---|---|---|---|---|---|---|
| Shakor, et al. [26] | 300 | 112 | 0.37 | 360 | 1.499852 | 50.82 | |
| Shakor, et al. [27] | 300 | 1000 | 3.33 | 300 | 2.5 | 59.7 | |
| 300 | 1032 | 3.44 | 300 | 3.33 | 59.7 | ||
| 300 | 1032 | 3.44 | 100 | 300 | 2.5 | 59.7 | |
| Nerella and Mechtcherine [28] | 627 | 263.3 | 0.42 | 1391 | 4.7 | 71.8 | |
| 391 | 164.2 | 0.42 | 1260 | 7.82 | 99.9 | ||
| Kazemian, et al. [29] | 600 | 259 | 0.43 | 1379 | 0.3 | 44.7 | |
| 540 | 259 | 0.43 | 1357 | 0.864 | 49.9 | ||
| 600 | 259 | 0.43 | 1379 | 0.36 | 45.1 | ||
| 600 | 259 | 0.43 | 1379 | 0.9 | 45.9 | ||
| Sanjayan, et al. [30] | 300 | 114 | 0.38 | 450 | 13 | ||
| 300 | 114 | 0.38 | 450 | 8 | |||
| 300 | 114 | 0.38 | 450 | 16.8 | |||
| 300 | 114 | 0.38 | 450 | 16 | |||
| 300 | 114 | 0.38 | 450 | 13.9 | |||
| 300 | 114 | 0.38 | 450 | 22.8 | |||
| 300 | 114 | 0.38 | 450 | 14.5 | |||
| 300 | 114 | 0.38 | 450 | 10.6 | |||
| 300 | 114 | 0.38 | 450 | 19 | |||
| Assaad, et al. [31] | 615 | 0.43 | 1340 | 6.46 | 30.8 | ||
| 26.9 | |||||||
| Annapareddy, et al. [32] | 21.6 slag | 120 | 243 | 18.1 | |||
| 122.4 FA | |||||||
| 12 | |||||||
| SF | |||||||
| 138 | 906.9 | 221.7 | 23.1 | ||||
| Ding, et al. [33] | 300 | 105 | 300 | 0.83 | 31 | ||
| 300 | 108.375 | 300 | 1.03 | 30 | |||
| 300 | 81.75 | 300 | 1.25 | 24.5 | |||
| 300 | 118.5 | 300 | 1.85 | 23.3 | |||
| Ting, et al. [34] | 300 | 197.1429 | 514.2857 | 30 | |||
| 43 SF | |||||||
| 86 FA | |||||||
| Malaeb, et al. [35] | 37.5 | 144 | 48 | 0 | 40.6 | ||
| 37.5 | 126 | 48 | 0.15 | 41.5 | |||
| 37.5 | 117 | 48 | 0.3 | 42.3 | |||
| 37.5 | 114 | 48 | 0.33 | 43.5 | |||
| 37.5 | 108 | 48 | 0.39 | 55.4 | |||
| Le, et al. [36] | 300 | 111 | 642.8571 | 3 | 102 | ||
| Panda, et al. [37] | 572.34 FA | 144.09 | 1219.74 | 10.05 | 36 | ||
| 35.52 Slag | |||||||
| 101.86 SF | |||||||
| 140.739 K-Si | |||||||
| Weng, et al. [38] | 300 | 90 | 0.3 | 150 | 1.3 | 49.7 | |
| 300 FA | |||||||
| 30 SF | |||||||
| Panda, et al. [39] | 83.55 FA | 124.8 | 148.65 | 2.64 | 35 | ||
| 5.04 Slag | |||||||
| 10.08 SF | |||||||
| Khalil, et al. [40] | 682.75 | 236.25 | 850 | 1.76 | 87 | ||
| 675 | 236.25 | 800 | 1.76 | 86 | |||
| Ma, et al. [41] | 300 | 115.7143 | 514.2857 | 1.242857 | 43.1 | ||
| 300 | 115.7143 | 514.2857 | 1.242857 | 41 | |||
| 300 | 115.7143 | 514.2857 | 1.242857 | 41 | |||
| 300 | 115.7143 | 514.2857 | 1.242857 | 43 | |||
| 300 | 115.7143 | 514.2857 | 1.242857 | 53 | |||
| 300 | 115.7143 | 514.2857 | 1.242857 | 42 | |||
| Hack, et al. [42] | 500 | 160 | 0.32 | 1180 | 5 | 59.3 | |
| Rushing, et al. [43] | 300 | 0.47 | 300 | 690 | 975 | 40.5 | |
| Panda, et al. [44] | 300 | 350 | 1220 | 54 | |||
| 675 FA | |||||||
| 250 SF | |||||||
| Van Der Putten, et al. [45] | 620.5 | 226.5 | 1241 | 0.93 | 62 | ||
| Lee, et al. [46] | 580 | 232 | 1146 | 8.29 | 66 | ||
| 166 FA | |||||||
| 83 SF | |||||||
| Dressler, et al. [47] | 600 | 270 | 1258 | 1.8 | 59.9 | ||
| 64.8 | |||||||
| 66 | |||||||
| 65.7 | |||||||
| Li, et al. [48] | 259.2 | 345.6 | 864.1 | 17.3 | 44.09 | ||
| 41.93 | |||||||
| 480.2 | 327.4 | 589.4 | 13 | 17.66 | |||
| 15.02 | |||||||
| Joh, et al. [49] | 576 | 240 | 1154 | 8.27 | 23.5 | ||
| 79 SF | 31 | ||||||
| 172 FA | |||||||
| Meurer and Classen [50] | 550 | 280 | 1172 | 22 | 65.8 | ||
| Álvarez-Fernández, et al. [51] | 100 | 50 | 0.5 | 250 | 0.5 | 26.3 | |
| 100 | 46 | 0.46 | 250 | 1 | 28.7 | ||
| 100 | 46 | 0.46 | 250 | 1 | 26.6 | ||
| 100 | 46 | 0.46 | 250 | 0.5 | 27.2 |
Appendix B
- (1)
- Biases and weights of the ANNMOGOA-1 model
- (2)
- Biases and weights of the ANNMOGOA-2 model
- (3)
- Biases and weights of the ANNMOGOA -3 model
- (4)
- Biases and weights of the ANNMOGOA -4 model
- (5)
- Biases and weights of the ANNMOGOA-5 model
- (6)
- Biases and weights of the ANNMOGOA-6 model
- (7)
- Biases and weights of the ANNMOGOA-7 model
References
- Shakor, P.; Nejadi, S.; Paul, G.; Malek, S. Review of Emerging Additive Manufacturing Technologies in 3D Printing of Cementitious Materials in the Construction Industry. Front. Built Environ. 2019, 4, 85. [Google Scholar] [CrossRef] [Green Version]
- Jiang, J.; Xu, X.; Stringer, J. Support structures for additive manufacturing: A review. J. Manuf. Mater. Process. 2018, 2, 64. [Google Scholar] [CrossRef] [Green Version]
- Dutta, S.; Samui, P.; Kim, D. Comparison of machine learning techniques to predict compressive strength of concrete. Comput. Concr. 2018, 21, 463–470. [Google Scholar]
- Al-Shayea, Q.K. Artificial neural networks in medical diagnosis. Int. J. Comput. Sci. Issues 2011, 8, 150–154. [Google Scholar]
- Jiang, J.; Xiong, Y.; Zhang, Z.; Rosen, D.W. Machine learning integrated design for additive manufacturing. J. Intell. Manuf. 2020, 1–14. [Google Scholar] [CrossRef]
- Obermeyer, Z.; Emanuel, E.J. Predicting the future—Big data, machine learning, and clinical medicine. N. Engl. J. Med. 2016, 375, 1216. [Google Scholar] [CrossRef] [Green Version]
- Yu, C.; Jiang, J. A perspective on using machine learning in 3D bioprinting. Int. J. Bioprinting 2020, 6, 253. [Google Scholar] [CrossRef] [PubMed]
- Meng, L.; McWilliams, B.; Jarosinski, W.; Park, H.-Y.; Jung, Y.-G.; Lee, J.; Zhang, J. Machine Learning in Additive Manufacturing: A Review. JOM 2020, 72, 2363–2377. [Google Scholar] [CrossRef]
- Rumelhart, D.E.; Hinton, G.E.; Williams, R.J. Learning representations by back-propagating errors. Nature 1986, 323, 533–536. [Google Scholar] [CrossRef]
- Kandiri, A.; Sartipi, F.; Kioumarsi, M. Predicting compressive strength of concrete containing recycled aggregate using modified ann with different optimization algorithms. Appl. Sci. 2021, 11, 485. [Google Scholar] [CrossRef]
- Zhang, J.; Wang, P.; Gao, R.X. Deep learning-based tensile strength prediction in fused deposition modeling. Comput. Ind. 2019, 107, 11–21. [Google Scholar] [CrossRef]
- Simpson, S.J.; McCAFFERY, A.R.; Hägele, B.F. A behavioural analysis of phase change in the desert locust. Biol. Rev. 1999, 74, 461–480. [Google Scholar] [CrossRef]
- Rogers, S.M.; Matheson, T.; Despland, E.; Dodgson, T.; Burrows, M.; Simpson, S.J. Mechanosensory-induced behavioural gregarization in the desert locust Schistocerca gregaria. J. Exp. Biol. 2003, 206, 3991–4002. [Google Scholar] [CrossRef] [PubMed] [Green Version]
- Saremi, S.; Mirjalili, S.; Lewis, A. Grasshopper optimisation algorithm: Theory and application. Adv. Eng. Softw. 2017, 105, 30–47. [Google Scholar] [CrossRef] [Green Version]
- Hamim, A.; Yusoff, N.I.M.; Omar, H.A.; Jamaludin, N.A.A.; Hassan, N.A.; El-Shafie, A.; Ceylan, H. Integrated finite element and artificial neural network methods for constructing asphalt concrete dynamic modulus master curve using deflection time-history data. Constr. Build. Mater. 2020, 257, 119549. [Google Scholar] [CrossRef]
- Kandiri, A.; Golafshani, E.M.; Behnood, A. Estimation of the compressive strength of concretes containing ground granulated blast furnace slag using hybridized multi-objective ANN and salp swarm algorithm. Build. Mater. 2020, 248, 118676. [Google Scholar] [CrossRef]
- Tasdemir, Y. Artificial neural networks for predicting low temperature performances of modified asphalt mixtures. Indian J. Eng. Mater. Sci. 2009, 16, 237–244. [Google Scholar]
- Behnood, A.; Golafshani, E.M. Machine learning study of the mechanical properties of concretes containing waste foundry sand. Constr. Build. Mater. 2020, 243, 118152. [Google Scholar] [CrossRef]
- Prasad, B.R.; Eskandari, H.; Reddy, B.V. Prediction of compressive strength of SCC and HPC with high volume fly ash using ANN. Constr. Build. Mater. 2009, 23, 117–128. [Google Scholar] [CrossRef]
- Naderpour, H.; Rafiean, A.H.; Fakharian, P. Compressive strength prediction of environmentally friendly concrete using artificial neural networks. J. Build. Eng. 2018, 16, 213–219. [Google Scholar] [CrossRef]
- Chou, J.-S.; Chong, W.K.; Bui, D.-K. Nature-inspired metaheuristic regression system: Programming and implementation for civil engineering applications. J. Comput. Civ. Eng. 2016, 30, 04016007. [Google Scholar] [CrossRef]
- Chou, J.-S.; Pham, A.-D. Enhanced artificial intelligence for ensemble approach to predicting high performance concrete compressive strength. Constr. Build. Mater. 2013, 49, 554–563. [Google Scholar] [CrossRef]
- Golafshani, E.M.; Talatahari, S. Predicting the climbing rate of slip formwork systems using linear biogeography-based programming. Appl. Soft Comput. 2018, 70, 263–278. [Google Scholar] [CrossRef]
- Golafshani, E.M. Introduction of Biogeography-Based Programming as a new algorithm for solving problems. Appl. Math. Comput. 2015, 270, 1–12. [Google Scholar] [CrossRef]
- Pala, M.; Özbay, E.; Öztaş, A.; Yuce, M.I. Appraisal of long-term effects of fly ash and silica fume on compressive strength of concrete by neural networks. Constr. Build. Mater. 2007, 21, 384–394. [Google Scholar] [CrossRef]
- Shakor, P.; Nejadi, S.; Sutjipto, S.; Paul, G.; Gowripalan, N. Effects of deposition velocity in the presence/absence of E6-glass fibre on extrusion-based 3D printed mortar. Addit. Manuf. 2020, 32, 101069. [Google Scholar] [CrossRef]
- Shakor, P.; Nejadi, S.; Paul, G. A Study into the Effect of Different Nozzles Shapes and Fibre-Reinforcement in 3D Printed Mortar. Materials 2019, 12, 1708. [Google Scholar] [CrossRef] [Green Version]
- Nerella, V.N.; Mechtcherine, V. Studying the Printability of Fresh Concrete for Formwork-Free Concrete Onsite 3D Printing Technology (CONPrint3D). In 3D Concrete Printing Technology; Sanjayan, J.G., Nazari, A., Nematollahi, B., Eds.; Butterworth-Heinemann: Oxford, UK, 2019; Chapter 16; pp. 333–347. [Google Scholar]
- Kazemian, A.; Yuan, X.; Cochran, E.; Khoshnevis, B. Cementitious materials for construction-scale 3D printing: Laboratory testing of fresh printing mixture. Constr. Build. Mater. 2017, 145, 639–647. [Google Scholar] [CrossRef]
- Sanjayan, J.G.; Nematollahi, B.; Xia, M.; Marchment, T. Effect of surface moisture on inter-layer strength of 3D printed concrete. Constr. Build. Mater. 2018, 172, 468–475. [Google Scholar] [CrossRef]
- Assaad, J.J.; Hamzeh, F.; Hamad, B. Qualitative assessment of interfacial bonding in 3D printing concrete exposed to frost attack. Case Stud. Constr. Mater. 2020, 13, e00357. [Google Scholar] [CrossRef]
- Annapareddy, A.; Li, M.; Tan, M.J.; Ting, A.G.H.; Tay, D.Y.W.; Ting, A.; Tay, D.; Annapareddy, A.; Li, M.; Tan, M. Effect of recycled glass gradation in 3D cementitious material printing. In Proceedings of the Conference on Progress in Additive Manufacturing (Pro-AM 2018), Singapore, 14–17 May 2018; Nanyang Technological University: Singapore, 2018. [Google Scholar]
- Ding, T.; Xiao, J.; Zou, S.; Zhou, X. Anisotropic behavior in bending of 3D printed concrete reinforced with fibers. Compos. Struct. 2020, 254, 112808. [Google Scholar] [CrossRef]
- Ting, G.H.A.; Tay, Y.W.D.; Qian, Y.; Tan, M.J. Utilization of recycled glass for 3D concrete printing: Rheological and mechanical properties. J. Mater. Cycles Waste Manag. 2019, 21, 994–1003. [Google Scholar] [CrossRef]
- Malaeb, Z.; Hachem, H.; Tourbah, A.; Maalouf, T.; El Zarwi, N.; Hamzeh, F. 3d Concrete Printing: Machine And Mix Design. Int. J. Civ. Eng. Technol. 2015, 6, 14–22. [Google Scholar]
- Le, T.T.; Austin, S.A.; Lim, S.; Buswell, R.A.; Gibb, A.G.F.; Thorpe, T. Mix design and fresh properties for high-performance printing concrete. Mater. Struct. 2012, 45, 1221–1232. [Google Scholar] [CrossRef] [Green Version]
- Panda, B.; Leite, M.; Biswal, B.B.; Niu, X.; Garg, A. Experimental and numerical modelling of mechanical properties of 3D printed honeycomb structures. Measurement 2018, 116, 495–506. [Google Scholar] [CrossRef]
- Weng, Y.; Li, M.; Tan, M.J.; Qian, S. Design 3D printing cementitious materials via Fuller Thompson theory and Marson-Percy model. Constr. Build. Mater. 2018, 163, 600–610. [Google Scholar] [CrossRef]
- Panda, B.; Paul, S.C.; Tan, M.J. Anisotropic mechanical performance of 3D printed fiber reinforced sustainable construction material. Mater. Lett. 2017, 209, 146–149. [Google Scholar] [CrossRef]
- Khalil, N.; Aouad, G.; El Cheikh, K.; Rémond, S. Use of calcium sulfoaluminate cements for setting control of 3D-printing mortars. Constr. Build. Mater. 2017, 157, 382–391. [Google Scholar] [CrossRef]
- Ma, G.; Li, Z.; Wang, L. Printable properties of cementitious material containing copper tailings for extrusion based 3D printing. Constr. Build. Mater. 2018, 162, 613–627. [Google Scholar] [CrossRef]
- Hack, N.; Dressler, I.; Brohmann, L.; Gantner, S.; Lowke, D.; Kloft, H. Injection 3D Concrete Printing (I3DCP): Basic Principles and Case Studies. Materials 2020, 13, 1093. [Google Scholar] [CrossRef] [Green Version]
- Rushing, T.S.; Stynoski, P.B.; Barna, L.A.; Al-Chaar, G.K.; Burroughs, J.F.; Shannon, J.D.; Kreiger, M.A.; Case, M.P. Investigation of Concrete Mixtures for Additive Construction. In 3D Concrete Printing Technology; Sanjayan, J.G., Nazari, A., Nematollahi, B., Eds.; Butterworth-Heinemann: Oxford, UK, 2019; Chapter 7; pp. 137–160. [Google Scholar]
- Panda, B.; Ruan, S.; Unluer, C.; Tan, M.J. Improving the 3D printability of high volume fly ash mixtures via the use of nano attapulgite clay. Composites Part B 2019, 165, 75–83. [Google Scholar] [CrossRef]
- Van Der Putten, J.; Snoeck, D.; Van Tittelboom, K. 3D Printing of cementitious materials with superabsorbent polymers. In Proceedings of the Durable Concrete for Infrastructure under Severe Conditions-Smart Admixtures, Self-responsiveness and Nano-additions, Ghent, Belgium, 10–11 September 2019; Magnel Laboratory for Concrete Research: Ghent, Belgium, 2019. [Google Scholar]
- Lee, D.-g.; Yoo, B.-H.; Son, H.-J. Development of Shrinkage Reducing Agent for 3D Printing Concrete. J. Korea Acad. -Ind. Coop. Soc. 2019, 20, 37–43. [Google Scholar]
- Dressler, I.; Freund, N.; Lowke, D. The effect of accelerator dosage on fresh concrete properties and on interlayer strength in shotcrete 3D printing. Materials 2020, 13, 374. [Google Scholar] [CrossRef] [Green Version]
- Li, V.C.; Bos, F.P.; Yu, K.; McGee, W.; Ng, T.Y.; Figueiredo, S.C.; Nefs, K.; Mechtcherine, V.; Nerella, V.N.; Pan, J. On the emergence of 3D printable engineered, strain hardening cementitious composites (ECC/SHCC). Cem. Concr. Res. 2020, 132, 106038. [Google Scholar] [CrossRef]
- Joh, C.; Lee, J.; Park, J.; Yang, I.-H. Buildability and Mechanical Properties of 3D Printed Concrete. Materials 2020, 13, 4919. [Google Scholar] [CrossRef]
- Meurer, M.; Classen, M. Mechanical Properties of Hardened 3D Printed Concretes and Mortars—Development of a Consistent Experimental Characterization Strategy. Materials 2021, 14, 752. [Google Scholar] [CrossRef] [PubMed]
- Álvarez-Fernández, M.-I.; Prendes-Gero, M.-B.; González-Nicieza, C.; Guerrero-Miguel, D.-J.; Martínez-Martínez, J.E. Optimum Mix Design for 3D Concrete Printing Using Mining Tailings: A Case Study in Spain. Sustainability 2021, 13, 1568. [Google Scholar] [CrossRef]
















| Parameters | Values |
|---|---|
| The total number of runs | 10 |
| Neurons’ maximum number in each hidden layer | 16 |
| The maximum hidden layers’ number | 3 |
| The size of repository | 50 |
| Maximum number of iterations | 100 |
| Agent’ number | 30 |
| Activation function neurons of hidden layers Training algorithm of ANNs | Hyperbolic tangent sigmoid Levenberg–Marquardt |
| Activation function neurons of output layer | Linear |
| ANN | RMSE (MPa) | MAPE (%) | MAE (MPa) | MBE (MPa) | SI | R | OBJ (MPa) | Complexity | Structure |
|---|---|---|---|---|---|---|---|---|---|
| ANNMOGOA-1 | 4.49 | 8.75 | 2.58 | 0.19 | 0.11 | 0.98 | 4.12 | 106 | 5-15-1 |
| ANNMOGOA-2 | 18.69 | 52.40 | 14.47 | −1.14 | 0.44 | 0.49 | 23.28 | 6 | 5-1 |
| ANNMOGOA-3 | 7.65 | 16.66 | 5.75 | −0.70 | 0.18 | 0.93 | 8.167 | 22 | 5-3-1 |
| ANNMOGOA-4 | 6.29 | 13.17 | 4.28 | −0.01 | 0.15 | 0.96 | 6.99 | 85 | 5-12-1 |
| ANNMOGOA-5 | 5.99 | 10.37 | 3.50 | 0.91 | 0.14 | 0.96 | 7.11 | 71 | 5-10-1 |
| ANNMOGOA-6 | 10.74 | 20.25 | 6.58 | 0.01 | 0.25 | 0.87 | 9.69 | 15 | 5-2-1 |
| ANNMOGOA-7 | 14.61 | 27.60 | 9.15 | −0.83 | 0.35 | 0.73 | 15.84 | 8 | 5-1-1 |
Publisher’s Note: MDPI stays neutral with regard to jurisdictional claims in published maps and institutional affiliations. |
© 2021 by the authors. Licensee MDPI, Basel, Switzerland. This article is an open access article distributed under the terms and conditions of the Creative Commons Attribution (CC BY) license (https://creativecommons.org/licenses/by/4.0/).
Share and Cite
Izadgoshasb, H.; Kandiri, A.; Shakor, P.; Laghi, V.; Gasparini, G. Predicting Compressive Strength of 3D Printed Mortar in Structural Members Using Machine Learning. Appl. Sci. 2021, 11, 10826. https://doi.org/10.3390/app112210826
Izadgoshasb H, Kandiri A, Shakor P, Laghi V, Gasparini G. Predicting Compressive Strength of 3D Printed Mortar in Structural Members Using Machine Learning. Applied Sciences. 2021; 11(22):10826. https://doi.org/10.3390/app112210826
Chicago/Turabian StyleIzadgoshasb, Hamed, Amirreza Kandiri, Pshtiwan Shakor, Vittoria Laghi, and Giada Gasparini. 2021. "Predicting Compressive Strength of 3D Printed Mortar in Structural Members Using Machine Learning" Applied Sciences 11, no. 22: 10826. https://doi.org/10.3390/app112210826
APA StyleIzadgoshasb, H., Kandiri, A., Shakor, P., Laghi, V., & Gasparini, G. (2021). Predicting Compressive Strength of 3D Printed Mortar in Structural Members Using Machine Learning. Applied Sciences, 11(22), 10826. https://doi.org/10.3390/app112210826

