Biocompatible Dispersants for Carbon Nanomaterials
Abstract
:1. Introduction
2. The Problem of Hydrophobicity
3. Methods of Dispersing Carbon Nanomaterials
4. The η and η* Metrics
5. Factors Affecting Dispersion Efficiency
6. Biocompatible Dispersants
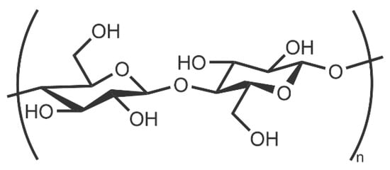
6.1. Cellulose
| Num. | Dispersant | CNM | Description | Application | Ref. |
|---|---|---|---|---|---|
| 1 | Type I/II NCC | SWCNT | SWCNTs dispersed with varying ratios of types I and II NCC | Stability testing; in-vitro bioactivity, biocompatibility studies | [38] |
| 2 | CNFs, NCC | SWCNT | SWCNTs functionalised with CNFs and NCC | Hydrogel and nano paper preparations; investigating the mechanisms of cellulose dispersants | [37] |
| 3 | Methylcellulose | Graphene nanoplatelets | Graphene nanoplatelets functionalised with methylcellulose | Aqueous graphene dispersions for reinforcing cement | [42] |
| 4 | Functionalised NCC and CNFs | MWCNT | Sulfate, carboxylate, amino-silane functionalised NCC and CNF materials used to disperse MWCNTs | Dispersions used to produce highly stable composite electrodes | [43] |
| 5 | Carboxymethylated CNFs | SWCNT | Carboxymethylated CNFs from softwood pulp used to disperse SWCNTs | This dispersion was utilised to produce conductive films, anisotropic microscale fibres, and aerogels | [44] |
| 6 | NCC | MWCNT and graphene | Non-covalent functionalization with NCC | Heat transfer fluids | [5] |
6.2. Bile Acid Salts
| Num. | Dispersant | CNM | Description | Application | Ref. |
|---|---|---|---|---|---|
| 1 | SDC | CNO | CNOs non-covalently functionalised with SDC | Stability studies; analysis of surfactant efficiency | [48] |
| 2 | SDC | CQD | SDC as both a dispersant and EPD agent | Formation of CQD containing composite films via EPD for corrosion protection of steel | [49] |
| 3 | SDC, SC, sodium taurodeoxycholate | Graphene | Graphene functionalised with a range of BAS via graphene oxide reduction | Production of Palladium nanoparticle-based catalysts for the electrooxidation of formic acid | [46] |
| 4 | SC | SWCNT | SWCNTs non-covalently functionalised with SC | Chiral purification of SWCNTs via two-phase aqueous extraction | [50] |
| 5 | SDC | SWCNT | SDC is used to exfoliate and disperse SWCNTs to form stable dispersions | Determination of dispersion quality and its correlation with Zeta potential | [51] |
| 6 | SC, SDC, sodium taurocholate | SWCNT | SWCNTs non-covalently functionalised with BAS; aromatic derivatives of these salts were also used | Investigating the effects of attaching aromatic groups to BAS on dispersant efficiency | [52] |
6.3. Alkyl Chain Surfactants
| Num. | Dispersant | CNM | Description | Application | Ref. |
|---|---|---|---|---|---|
| 1 | CTAB, SDBS | CNO | CNOs non-covalently functionalised with two different surfactants to form two stable dispersions. | Dispersion efficiency and long-term stability studies | [48] |
| 2 | SDS, SDBS, CTAB | CNO | A collection of ACS/CNO dispersions that includes a wide range of CNO: surfactant mass ratios | Physiochemical characterisation; in vitro antimicrobial assays | [56] |
| 3 | SDBS, SDS, lauryl betaine | MWCNT, graphene | MWCNTs and graphene solubilised with a range of ACSs | Physiochemical characterisation, electrical and thermal conductivity studies. Heat transfer fluids | [5] |
| 4 | SDS, LDS, SDBS, TTAB | SWCNT | A range of SWCNT/surfactant dispersions | Quality of dispersions determined, compared, and correlated with zeta potential measurements | [51] |
| 5 | SDS/Surfhope 1216 | MWCNT | MWCNTs dispersed via a surfactant substitution strategy, using SDS to de-bundle | Physiochemical characterisation, stability studies | [16] |
| 6 | IMIC6C8, IMIC6C10, IMIC6C12, and IMIC6C14 | MWCNT | A series of Alkyloxy methylimidazolium surfactants used to produce MWCNT dispersions | Investigating the effectiveness and mechanisms of Gemini surfactants | [55] |
| 7 | 16-2-16 12-12-12 | MWCNT | A series of bis(quaternary ammonium) Gemini surfactants used to solubilise MWCNTs | Determining the effects of tail and spacer length on dispersing efficiency and effectiveness | [54] |
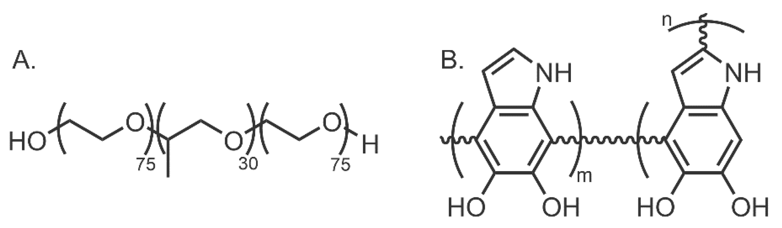
6.4. Polymer Dispersants
| Num. | Dispersant | CNM | Description | Application | Ref. |
|---|---|---|---|---|---|
| 1 | F127 | SWCNT | A PEO/PPO block copolymer used to disperse SWCNTs | Physiochemical characterisation, NMR studies | [23] |
| 2 | AP432 | MWCNT SWCNT | An amphiphilic PEO/PPO block copolymer with a starlike structure used to disperse CNTs | Optimisation of surfactant structure | [64] |
| 3 | PDha | MWCNT | MWCNTs functionalised with a polydehydroalanine based copolymer | Stability studies; physiochemical characterisation. | [65] |
| 4 | HA-DMPE f-HA-DMPE | CNO | Supramolecular functionalisation of CNOs with a dispersant polymer conjugated with a fluorophore and targeting ligand | In-vitro biosafety and cell tracking studies. In vivo toxicity studies | [61] |
| 5 | HA-DMPE-DOX | SWCNT | A HA-DMPE polymer was used to coat SWCNTs and encapsulate DOX | pH-responsive drug delivery targeting CD44+ cancer cells | [6] |
| 6 | PD-PEA | MWCNT | A PD-PEA copolymer used to disperse MWCNTs | Polymer nanofillers | [70] |
| 7 | ssDNA | Graphene | A soluble Bio-Nanocomposite of DNA and graphene | Multifunctional lamellar nanocomposite production | [72] |
| 8 | DNA | Graphene | DNA functionalised graphene formed via ball milling of graphite | Environmentally friendly flame retardant | [71] |
| 10 | DNA | SWCNT | Aqueous dispersion produced with DNA wrapped SWCNTs | Developing a cheap, simple, and efficient method of producing high-quality dispersions of individual SWNTs | [73] |
| 9 | poly(GT) DNA | SWCNT | DNA wrapped SWCNTs functionalised with platinum nanocrystals | Thin-film preparation | [74] |
| 11 | DNA | SWCNT | DNA functionalised SWCNTs produced via surfactant substitution | Production and sorting of pure chirality CNTs | [22] |
| 12 | Triton X-100 | MWCNT | MWCNTs functionalised with Triton X-100 | Investigation of Triton X-100 dispersing mechanism, comparison to other surfactants | [22] |
| 13 | Triton X-100 | CNO | CNOs non-covalently functionalised with Triton X-100 | Stability studies; in vitro antimicrobial assay | [56] |
| 14 | Montanov 82, Surfhope 1216, Gum Arabic, Tween 20 | MWCNT | MWCNTs dispersed with a range of polymer surfactants via a surfactant substitution mechanism | Preparation of stable aqueous MWCNT dispersions | [16] |
7. Conclusions
Author Contributions
Funding
Data Availability Statement
Acknowledgments
Conflicts of Interest
Abbreviations
| ACS | alkyl chain surfactant |
| BAS | bile acid salt |
| CMC | critical micelle concentration |
| CNF(s) | cellulose nano-fibril(s) |
| CNM(s) | carbon nanomaterial(s) |
| CNO(s) | carbon nano-onion(s) |
| CNTs | carbon nanotube(s) |
| CQD(s) | carbon quantum dot(s) |
| CTAB | hexadecyltrimethylammonium bromide |
| DC | deoxycholate |
| DMPE | 1,2-dimyristoyl-sn-glycero-3-phosphoethanolamine |
| DNA | deoxyribonucleic acid |
| DOX | doxorubicin |
| EPD | electrophoretic deposition |
| F127 | pluronic F127 |
| HA | hyaluronic acid |
| LDS | lithium dodecyl sulphate |
| MWCNT(s) | multi-walled carbon nanotube(s) |
| NCC | nanocrystalline cellulose |
| PD | polydopamine |
| PDha | polydehydroalanine |
| PEO | polyethylene oxide |
| PPO | polypropylene oxide |
| SC | sodium cholate |
| SDBS | sodium dodeclybenzene sulphonate |
| SDC | sodium deoxycholate |
| SDS | sodium dodecyl sulphate |
| ssDNA | single-stranded deoxyribonucleic acid |
| SWCNT(s) | single-walled carbon nanotubes(s) |
| TTAB | tetradecyl trimethyl ammonium bromide |
| vdW | van der Waal |
References
- Kour, R.; Arya, S.; Young, S.-J.; Gupta, V.; Bandhoria, P.; Khosla, A. Review—Recent Advances in Carbon Nanomaterials as Electrochemical Biosensors. J. Electrochem. Soc. 2020, 167, 037555. [Google Scholar] [CrossRef]
- Potočnik, J. Commission Recommendation of 18 October 2011 on the Definition of Nanomaterial Text with EEA Relevance. Off. J. Eur. Union 2011, 275, 38–40. [Google Scholar]
- Borode, A.O.; Ahmed, N.A.; Olubambi, P.A. Surfactant-Aided Dispersion of Carbon Nanomaterials in Aqueous Solution. Phys. Fluids 2019, 31, 071301. [Google Scholar] [CrossRef]
- Metaxa, Z.S.; Tolkou, A.K.; Efstathiou, S.; Rahdar, A.; Favvas, E.P.; Mitropoulos, A.C.; Kyzas, G.Z. Nanomaterials in Cementitious Composites: An Update. Molecules 2021, 26, 1430. [Google Scholar] [CrossRef]
- Dovjuu, O.; Kim, S.; Lee, A.; Kim, J.; Noh, J.; Huh, S.; Choi, B.; Jeong, H. A Simple Approach for Heat Transfer Enhancement of Carbon Nanofluids in Aqueous Media. J. Nanosci. Nanotechnol. 2020, 20, 2337–2343. [Google Scholar] [CrossRef]
- Arpicco, S.; Bartkowski, M.; Barge, A.; Zonari, D.; Serpe, L.; Milla, P.; Dosio, F.; Stella, B.; Giordani, S. Effects of the Molecular Weight of Hyaluronic Acid in a Carbon Nanotube Drug Delivery Conjugate. Front. Chem. 2020, 8, 578008. [Google Scholar] [CrossRef]
- Dong, Y.; Cao, R.; Li, Y.; Wang, Z.; Li, L.; Tian, L. Folate-Conjugated Nanodiamond for Tumor-Targeted Drug Delivery. RSC Adv. 2015, 5, 82711–82716. [Google Scholar] [CrossRef]
- Camisasca, A.; Sacco, A.; Brescia, R.; Giordani, S. Boron/Nitrogen Co-Doped Carbon Nano-Onion Electrocatalysts for the Oxygen Reduction Reaction. ACS Appl. Nano Mater. 2018, 1, 5763–5773. [Google Scholar] [CrossRef]
- Liu, Z.; Zhang, H.; Eredia, M.; Qiu, H.; Baaziz, W.; Ersen, O.; Ciesielski, A.; Bonn, M.; Wang, H.I.; Samorì, P. Water-Dispersed High-Quality Graphene: A Green Solution for Efficient Energy Storage Applications. ACS Nano 2019, 13, 9431–9441. [Google Scholar] [CrossRef] [Green Version]
- Soares, S.; Sousa, J.; Pais, A.; Vitorino, C. Nanomedicine: Principles, Properties, and Regulatory Issues. Front. Chem. 2018, 6, 360. [Google Scholar] [CrossRef]
- Choi, Y.H.; Han, H.-K. Nanomedicines: Current Status and Future Perspectives in Aspect of Drug Delivery and Pharmacokinetics. J. Pharm. Investig. 2018, 49, 43–60. [Google Scholar] [CrossRef] [Green Version]
- Ata, M.S.; Poon, R.; Syed, A.M.; Milne, J.; Zhitomirsky, I. New Developments in Non-Covalent Surface Modification, Dispersion and Electrophoretic Deposition of Carbon Nanotubes. Carbon 2018, 130, 584–598. [Google Scholar] [CrossRef]
- Rebello, S.; Asok, A.K.; Mundayoor, S.; Jisha, M.S. Surfactants: Chemistry, Toxicity and Remediation. In Pollutant Diseases, Remediation and Recycling; Lichtfouse, E., Schwarzbauer, J., Robert, D., Eds.; Environmental Chemistry for a Sustainable World; Springer International Publishing: Cham, Switzerland, 2013; pp. 277–320. ISBN 978-3-319-02387-8. [Google Scholar]
- Ciesielski, A.; Samorì, P. Supramolecular Approaches to Graphene: From Self-Assembly to Molecule-Assisted Liquid-Phase Exfoliation. Adv. Mater. 2016, 28, 6030–6051. [Google Scholar] [CrossRef]
- Bartkowski, M.; Giordani, S. Supramolecular Chemistry of Carbon Nano-Onions. Nanoscale 2020, 12, 9352–9358. [Google Scholar] [CrossRef]
- Datsyuk, V.; Landois, P.; Fitremann, J.; Peigney, A.; Galibert, A.M.; Soula, B.; Flahaut, E. Double-Walled Carbon Nanotube Dispersion via Surfactant Substitution. J. Mater. Chem. 2009, 19, 2729–2736. [Google Scholar] [CrossRef] [Green Version]
- Atkins, P.W.; De Paula, J.; Keeler, J. Atkins’ Physical Chemistry; Oxford University Press: Oxford, UK, 2018; ISBN 978-0-19-876986-6. [Google Scholar]
- Lémery, E.; Briançon, S.; Chevalier, Y.; Bordes, C.; Oddos, T.; Gohier, A.; Bolzinger, M.-A. Skin Toxicity of Surfactants: Structure/Toxicity Relationships. Colloids Surf. A Physicochem. Eng. Asp. 2015, 469, 166–179. [Google Scholar] [CrossRef]
- Galantini, L.; Di Gregorio, M.C.; Gubitosi, M.; Travaglini, L.; Vázquez Tato, J.; Jover, A.; Meijide, F.; Tellini, V.S.; Pavel, N. Bile Salts and Derivatives: Rigid Unconventional Amphiphiles as Dispersants, Carriers and Superstructure Building Blocks. Curr. Opin. Colloid Interface Sci. 2015, 20, 170–182. [Google Scholar] [CrossRef]
- Xhyliu, F.; Ao, G. Chirality-Pure Carbon Nanotubes Show Distinct Complexation with Recognition DNA Sequences. Carbon 2020, 167, 601–608. [Google Scholar] [CrossRef]
- Chu, Y.; Sun, Y.; Wu, W.; Xiao, H. Dispersion Properties of Nanocellulose: A Review. Carbohydr. Polym. 2020, 250, 116892. [Google Scholar] [CrossRef]
- Rastogi, R.; Kaushal, R.; Tripathi, S.K.; Sharma, A.L.; Kaur, I.; Bharadwaj, L.M. Comparative Study of Carbon Nanotube Dispersion Using Surfactants. J. Colloid Interface Sci. 2008, 328, 421–428. [Google Scholar] [CrossRef] [PubMed]
- Fernandes, R.M.F.; Dai, J.; Regev, O.; Marques, E.F.; Furó, I. Block Copolymers as Dispersants for Single-Walled Carbon Nanotubes: Modes of Surface Attachment and Role of Block Polydispersity. Langmuir 2018, 34, 13672–13679. [Google Scholar] [CrossRef]
- De Siqueira, J.E.L.; Gleize, P.J.P. Effect of Carbon Nanotubes Sonication on Mechanical Properties of Cement Pastes. IBRACON Struct. Mater. J. 2020, 13, 455–463. [Google Scholar] [CrossRef]
- Zhang, C.; Chen, X. Different Effects of Sonication Pretreatment on Carbon Nanomaterials under Low Hydrogen Peroxide Concentrations. Ultrason. Sonochem. 2017, 34, 19–26. [Google Scholar] [CrossRef]
- Blanch, A.J.; Lenehan, C.E.; Quinton, J.S. Optimizing Surfactant Concentrations for Dispersion of Single-Walled Carbon Nanotubes in Aqueous Solution. J. Phys. Chem. B 2010, 114, 9805–9811. [Google Scholar] [CrossRef]
- Fernandes, R.M.F.; Abreu, B.; Claro, B.; Buzaglo, M.; Regev, O.; Furó, I.; Marques, E.F. Dispersing Carbon Nanotubes with Ionic Surfactants under Controlled Conditions: Comparisons and Insight. Langmuir 2015, 31, 10955–10965. [Google Scholar] [CrossRef]
- Robinson, B.; Bailey, S.; O’Driscoll, L.; Visontai, D.; Welsh, D.; Mostert, A.; Mazzocco, R.; Rabot, C.; Jarvis, S.; Kolosov, O.; et al. Formation of Two-Dimensional Micelles on Graphene: Multi-Scale Theoretical and Experimental Study. ACS Nano 2017, 11, 3404–3412. [Google Scholar] [CrossRef]
- Patil, R.; Marathe, D.; Roy, S.P.; Ray, D.; Aswal, V.K.; Jha, P.K.; Bahadur, P.; Tiwari, S. Colloidal Stability of Graphene Oxide Nanosheets in Association with Triblock Copolymers: A Neutron Scattering Analysis. Mater. Sci. Eng. C 2020, 109, 110559. [Google Scholar] [CrossRef]
- Cui, H.; Xiantong, Y.; Monasterio, M.; Xing, F. Effects of Various Surfactants on the Dispersion of MWCNTs-OH in Aqueous Solution. Nanomater 2017, 7, 262. [Google Scholar] [CrossRef] [Green Version]
- Pérez, E.M.; Martín, N. π-π Interactions in Carbon Nanostructures. Chem. Soc. Rev. 2015, 44, 6425–6433. [Google Scholar] [CrossRef]
- Bakshi, M.S. Engineered Nanomaterials Growth Control by Monomers and Micelles: From Surfactants to Surface Active Polymers. Adv. Colloid Interface Sci. 2018, 256, 101–110. [Google Scholar] [CrossRef]
- Fujigaya, T.; Nakashima, N. Non-Covalent Polymer Wrapping of Carbon Nanotubes and the Role of Wrapped Polymers as Functional Dispersants. Sci. Technol. Adv. Mater. 2015, 16, 024802. [Google Scholar] [CrossRef]
- Hunter, C.A.; Sanders, J.K.M. The Nature of Pi.-.Pi. Interactions. J. Am. Chem. Soc. 1990, 112, 5525–5534. [Google Scholar] [CrossRef]
- Bruce, C.; Senapati, S.; Berkowitz, M.; Perera, L.; Forbes, M. Molecular Dynamics Simulations of Sodium Dodecyl Sulfate Micelle in Water: The Behavior of Water. J. Phys. Chem. B 2002, 106, 10902–10907. [Google Scholar] [CrossRef]
- Phanthong, P.; Reubroycharoen, P.; Hao, X.; Xu, G.; Abudula, A.; Guan, G. Nanocellulose: Extraction and Application. Carbon Resour. Convers. 2018, 1, 32–43. [Google Scholar] [CrossRef]
- Hajian, A.; Lindström, S.B.; Pettersson, T.; Hamedi, M.M.; Wågberg, L. Understanding the Dispersive Action of Nanocellulose for Carbon Nanomaterials. Nano Lett. 2017, 17, 1439–1447. [Google Scholar] [CrossRef]
- González-Domínguez, J.M.; Ansón-Casaos, A.; Grasa, L.; Abenia, L.; Salvador, A.; Colom, E.; Mesonero, J.E.; García-Bordejé, J.E.; Benito, A.M.; Maser, W.K. Unique Properties and Behavior of Nonmercerized Type-II Cellulose Nanocrystals as Carbon Nanotube Biocompatible Dispersants. Biomacromolecules 2019, 20, 3147–3160. [Google Scholar] [CrossRef]
- Khili, F.; Borges, J.; Almeida, P.L.; Boukherroub, R.; Omrani, A.D. Extraction of Cellulose Nanocrystals with Structure I and II and Their Applications for Reduction of Graphene Oxide and Nanocomposite Elaboration. Waste Biomass Valorization 2019, 10, 1913–1927. [Google Scholar] [CrossRef]
- Miyashiro, D.; Hamano, R.; Umemura, K. A Review of Applications Using Mixed Materials of Cellulose, Nanocellulose and Carbon Nanotubes. Nanomaterials 2020, 10, 186. [Google Scholar] [CrossRef] [Green Version]
- Guo, X.; Wu, Y.; Xie, X. Water Vapor Sorption Properties of Cellulose Nanocrystals and Nanofibers Using Dynamic Vapor Sorption Apparatus. Sci. Rep. 2017, 7, 14207. [Google Scholar] [CrossRef]
- Wang, B.; Jiang, R.; Wu, Z. Investigation of the Mechanical Properties and Microstructure of Graphene Nanoplatelet-Cement Composite. Nanomaterials 2016, 6, 200. [Google Scholar] [CrossRef]
- Durairaj, V.; Li, P.; Liljeström, T.; Wester, N.; Etula, J.; Leppänen, I.; Ge, Y.; Kontturi, K.S.; Tammelin, T.; Laurila, T.; et al. Functionalized Nanocellulose/Multiwalled Carbon Nanotube Composites for Electrochemical Applications. ACS Appl. Nano Mater. 2021. [Google Scholar] [CrossRef]
- Hamedi, M.M.; Hajian, A.; Fall, A.B.; Håkansson, K.; Salajkova, M.; Lundell, F.; Wågberg, L.; Berglund, L.A. Highly Conducting, Strong Nanocomposites Based on Nanocellulose-Assisted Aqueous Dispersions of Single-Wall Carbon Nanotubes. ACS Nano 2014, 8, 2467–2476. [Google Scholar] [CrossRef] [PubMed]
- De Buy Wenniger, L.M.; Pusl, T.; Beuers, U. Bile Salts. In Encyclopedia of Biological Chemistry, 2nd ed.; Lennarz, W.J., Lane, M.D., Eds.; Academic Press: Waltham, MA, USA, 2013; pp. 167–171. ISBN 978-0-12-378631-9. [Google Scholar]
- Sun, Z.P.; Zhang, W.Q.; Lu, X.M. Reduced Graphene Oxide Nanosheets Functionalized with Bile Salts as Support for Electrochemical Catalysts. AMR 2012, 535–537, 1467–1477. [Google Scholar] [CrossRef]
- Urdaneta, V.; Casadesús, J. Interactions between Bacteria and Bile Salts in the Gastrointestinal and Hepatobiliary Tracts. Front. Med. 2017, 4, 163. [Google Scholar] [CrossRef]
- Camisasca, A.; Giordani, S. Surfactant-Mediated Dispersions of Carbon Nano-Onions in Aqueous Solution. Nano Express 2020, 1, 010018. [Google Scholar] [CrossRef]
- Zhao, Q.; Liu, X.; Veldhuis, S.; Zhitomirsky, I. Sodium Deoxycholate as a Versatile Dispersing and Coating-Forming Agent: A New Facet of Electrophoretic Deposition Technology. Colloids Surf. A Physicochem. Eng. Asp. 2020, 588, 124382. [Google Scholar] [CrossRef]
- Podlesny, B.; Olszewska, B.; Yaari, Z.; Jena, P.V.; Ghahramani, G.; Feiner, R.; Heller, D.A.; Janas, D. En Route to Single-Step, Two-Phase Purification of Carbon Nanotubes Facilitated by High-Throughput Spectroscopy. Sci. Rep. 2021, 11, 10618. [Google Scholar] [CrossRef]
- Sun, Z.; Nicolosi, V.; Rickard, D.; Bergin, S.D.; Aherne, D.; Coleman, J.N. Quantitative Evaluation of Surfactant-Stabilized Single-Walled Carbon Nanotubes: Dispersion Quality and Its Correlation with Zeta Potential. J. Phys. Chem. C 2008, 112, 10692–10699. [Google Scholar] [CrossRef]
- Gubitosi, M.; Trillo, J.V.; Vargas, A.A.; Pavel, N.V.; Gazzoli, D.; Sennato, S.; Jover, A.; Meijide, F.; Galantini, L. Characterization of Carbon Nanotube Dispersions in Solutions of Bile Salts and Derivatives Containing Aromatic Substituents. J. Phys. Chem. B 2014, 118, 1012–1021. [Google Scholar] [CrossRef]
- Wenseleers, W.; Vlasov, I.I.; Goovaerts, E.; Obraztsova, E.D.; Lobach, A.S.; Bouwen, A. Efficient Isolation and Solubilization of Pristine Single-Walled Nanotubes in Bile Salt Micelles. Adv. Funct. Mater. 2004, 14, 1105–1112. [Google Scholar] [CrossRef]
- Abreu, B.; Rocha, J.; Fernandes, R.M.F.; Regev, O.; Furó, I.; Marques, E.F. Gemini Surfactants as Efficient Dispersants of Multiwalled Carbon Nanotubes: Interplay of Molecular Parameters on Nanotube Dispersibility and Debundling. J. Colloid Interface Sci. 2019, 547, 69–77. [Google Scholar] [CrossRef]
- Dobies, M.; Iżykowska, J.; Wilkowska, M.; Woźniak-Braszak, A.; Szutkowski, K.; Skrzypczak, A.; Jurga, S.; Kozak, M. Dispersion of Water Proton Spin–Lattice Relaxation Rates in Aqueous Solutions of Multiwall Carbon Nanotubes (MWCNTs) Stabilized via Alkyloxymethylimidazolium Surfactants. J. Phys. Chem. C 2017, 121, 11839–11850. [Google Scholar] [CrossRef]
- Bobrowska, D.M.; Czyrko, J.; Brzezinski, K.; Echegoyen, L.; Plonska-Brzezinska, M.E. Carbon Nano-Onion Composites: Physicochemical Characteristics and Biological Activity. Fuller. Nanotub. Carbon Nanostruct. 2017, 25, 185–192. [Google Scholar] [CrossRef]
- Nessim, M.I.; Osman, M.M.; Ismail, D.A. Surface-Active Properties of New Cationic Gemini Surfactants with Cyclic Spacer. J. Dispers. Sci. Technol. 2018, 39, 1047–1055. [Google Scholar] [CrossRef]
- Liu, X.-P.; Feng, J.; Zhang, L.; Gong, Q.-T.; Zhao, S.; Yu, J.-Y. Synthesis and Surface Activity of Anionic Gemini Surfactants with Alkyl Spacers. J. Dispers. Sci. Technol. 2011, 32, 568–575. [Google Scholar] [CrossRef]
- Stranks, S.D.; Habisreutinger, S.N.; Dirks, B.; Nicholas, R.J. Novel Carbon Nanotube-Conjugated Polymer Nanohybrids Produced by Multiple Polymer Processing. Adv. Mater. 2013, 25, 4365–4371. [Google Scholar] [CrossRef]
- Fujigaya, T.; Yamamoto, Y.; Kano, A.; Maruyama, A.; Nakashima, N. Enhanced Cell Uptake via Non-Covalent Decollation of a Single-Walled Carbon Nanotube-DNA Hybrid with Polyethylene Glycol-Grafted Poly(l-Lysine) Labeled with an Alexa-Dye and Its Efficient Uptake in a Cancer Cell. Nanoscale 2011, 3, 4352. [Google Scholar] [CrossRef]
- D’Amora, M.; Camisasca, A.; Boarino, A.; Arpicco, S.; Giordani, S. Supramolecular Functionalization of Carbon Nano-Onions with Hyaluronic Acid-Phospholipid Conjugates for Selective Targeting of Cancer Cells. Colloids Surf. B Biointerfaces 2020, 188, 110779. [Google Scholar] [CrossRef]
- Okamoto, M.; Fujigaya, T.; Nakashima, N. Design of an Assembly of Poly(Benzimidazole), Carbon Nanotubes, and Pt Nanoparticles for a Fuel-Cell Electrocatalyst with an Ideal Interfacial Nanostructure. Small 2009, 5, 735–740. [Google Scholar] [CrossRef]
- Fernandes, R.M.F.; Buzaglo, M.; Regev, O.; Marques, E.F.; Furo, I. Surface Coverage and Competitive Adsorption on Carbon Nanotubes. J. Phys. Chem. C 2015, 119, 22190–22197. [Google Scholar] [CrossRef]
- Xin, X.; Xu, G.; Zhao, T.; Zhu, Y.; Shi, X.; Gong, H.; Zhang, Z. Dispersing Carbon Nanotubes in Aqueous Solutions by a Starlike Block Copolymer. J. Phys. Chem. C 2008, 112, 16377–16384. [Google Scholar] [CrossRef]
- Max, J.B.; Pergushov, D.V.; Sigolaeva, L.V.; Schacher, F.H. Polyampholytic Graft Copolymers Based on Polydehydroalanine (PDha)—Synthesis, Solution Behavior and Application as Dispersants for Carbon Nanotubes. Polym. Chem. 2019, 10, 3006–3019. [Google Scholar] [CrossRef]
- Matthaiolampakis, G.; Milane, L.; Singh, A.; Amiji, M. Hyaluronic Acid Targeting of CD44 for Cancer Therapy: From Receptor Biology to Nanomedicine. J. Drug Target. 2015, 23, 605–618. [Google Scholar] [CrossRef]
- Zhao, H.; Chao, Y.; Liu, J.; Huang, J.; Pan, J.; Guo, W.; Wu, J.; Sheng, M.; Yang, K.; Wang, J.; et al. Polydopamine Coated Single-Walled Carbon Nanotubes as a Versatile Platform with Radionuclide Labeling for Multimodal Tumor Imaging and Therapy. Theranostics 2016, 6, 1833–1843. [Google Scholar] [CrossRef] [Green Version]
- Zhang, P.; Hu, W.; Wu, M.; Gong, L.; Tang, A.; Xiang, L.; Zhu, B.; Zhu, L.; Zeng, H. Cost-Effective Strategy for Surface Modification via Complexation of Disassembled Polydopamine with Fe(III) Ions. Langmuir 2019, 35, 4101–4109. [Google Scholar] [CrossRef]
- Ding, Y.; Weng, L.-T.; Yang, M.; Yang, Z.; Lu, X.; Huang, N.; Leng, Y. Insights into the Aggregation/Deposition and Structure of a Polydopamine Film. Langmuir 2014, 30, 12258–12269. [Google Scholar] [CrossRef]
- Lee, H.D.; Yoo, B.M.; Lee, T.H.; Park, H.B. Defect-Free Surface Modification Methods for Solubility-Tunable Carbon Nanotubes. J. Colloid Interface Sci. 2018, 509, 307–317. [Google Scholar] [CrossRef]
- Zabihi, O.; Ahmadi, M.; Li, Q.; Ferdowsi, M.R.G.; Mahmoodi, R.; Kalali, E.N.; Wang, D.-Y.; Naebe, M. A Sustainable Approach to Scalable Production of a Graphene Based Flame Retardant Using Waste Fish Deoxyribonucleic Acid. J. Clean. Prod. 2020, 247, 119150. [Google Scholar] [CrossRef]
- Patil, A.J.; Vickery, J.L.; Scott, T.B.; Mann, S. Aqueous Stabilization and Self-Assembly of Graphene Sheets into Layered Bio-Nanocomposites Using DNA. Adv. Mater. 2009, 21, 3159–3164. [Google Scholar] [CrossRef]
- Cathcart, H.; Quinn, S.; Nicolosi, V.; Kelly, J.M.; Blau, W.J.; Coleman, J.N. Spontaneous Debundling of Single-Walled Carbon Nanotubes in DNA-Based Dispersions. J. Phys. Chem. C 2007, 111, 66–74. [Google Scholar] [CrossRef]
- Ostojic, G.N.; Ireland, J.R.; Hersam, M.C. Noncovalent Functionalization of DNA-Wrapped Single-Walled Carbon Nanotubes with Platinum-Based DNA Cross-Linkers. Langmuir 2008, 24, 9784–9789. [Google Scholar] [CrossRef]
- Singh, A.; Hsu, M.H.; Gupta, N.; Khanra, P.; Kumar, P.; Prakash Verma, V.; Kapoor, M. Derivatized Carbon Nanotubes for Gene Therapy in Mammalian and Plant Cells. ChemPlusChem 2020, 85, 466–475. [Google Scholar] [CrossRef]






Publisher’s Note: MDPI stays neutral with regard to jurisdictional claims in published maps and institutional affiliations. |
© 2021 by the authors. Licensee MDPI, Basel, Switzerland. This article is an open access article distributed under the terms and conditions of the Creative Commons Attribution (CC BY) license (https://creativecommons.org/licenses/by/4.0/).
Share and Cite
Mohan, H.; Bartkowski, M.; Giordani, S. Biocompatible Dispersants for Carbon Nanomaterials. Appl. Sci. 2021, 11, 10565. https://doi.org/10.3390/app112210565
Mohan H, Bartkowski M, Giordani S. Biocompatible Dispersants for Carbon Nanomaterials. Applied Sciences. 2021; 11(22):10565. https://doi.org/10.3390/app112210565
Chicago/Turabian StyleMohan, Hugh, Michał Bartkowski, and Silvia Giordani. 2021. "Biocompatible Dispersants for Carbon Nanomaterials" Applied Sciences 11, no. 22: 10565. https://doi.org/10.3390/app112210565
APA StyleMohan, H., Bartkowski, M., & Giordani, S. (2021). Biocompatible Dispersants for Carbon Nanomaterials. Applied Sciences, 11(22), 10565. https://doi.org/10.3390/app112210565

