Fretting Fatigue Experiment and Finite Element Analysis for Dovetail Specimen at High Temperature
Abstract
:1. Introduction
2. Experimental Details
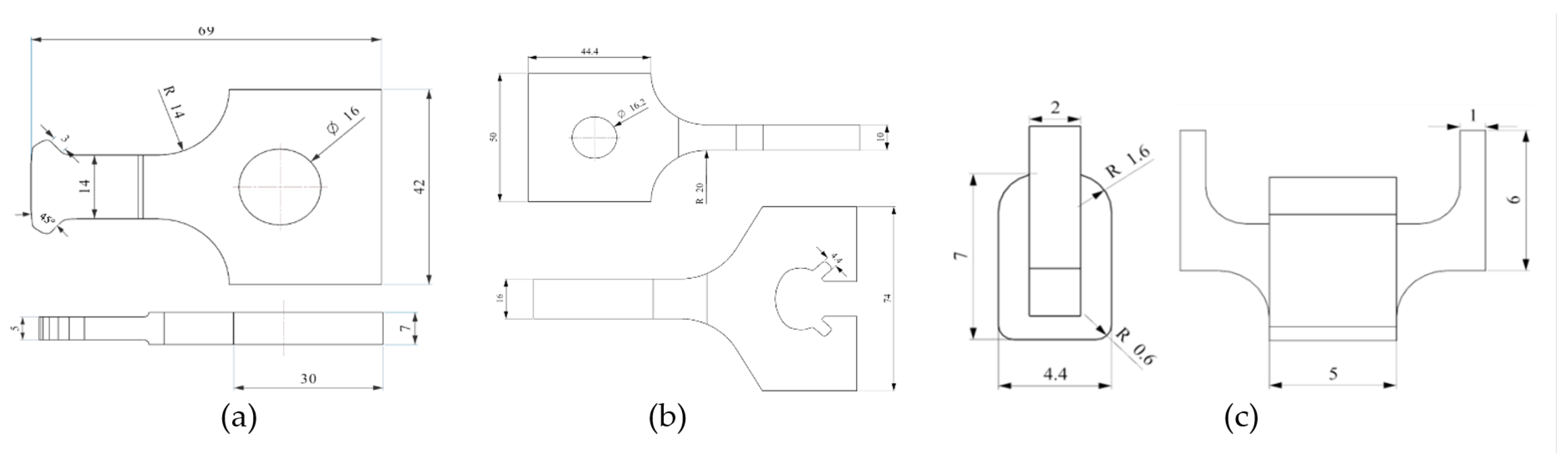
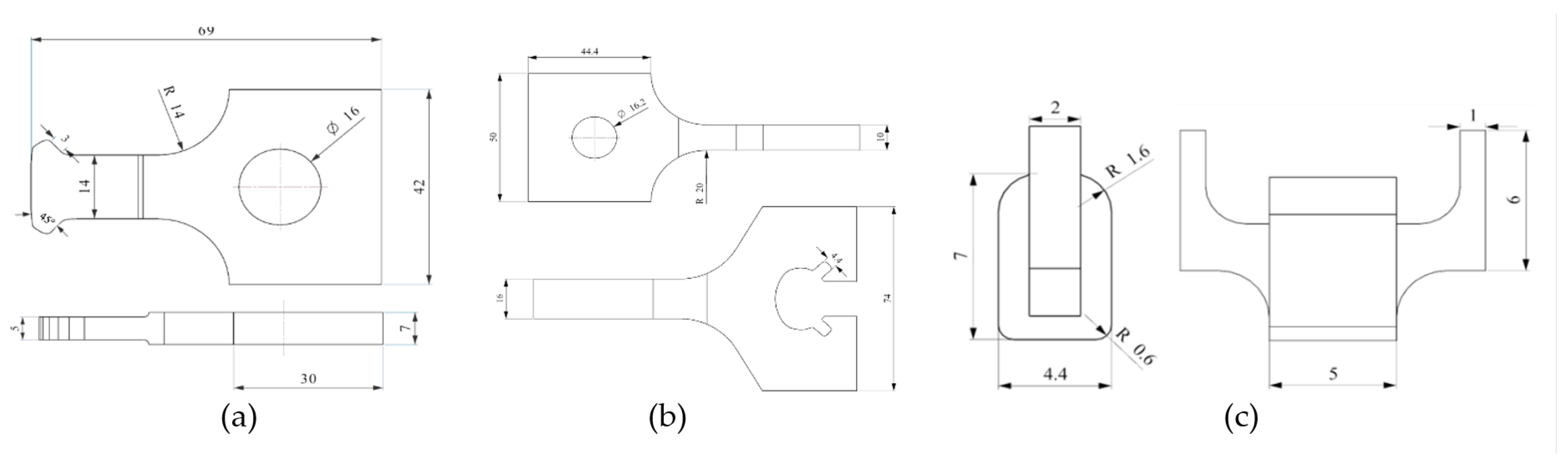
2.1. Materials and Specimens
2.2. Procedures of Fretting Fatigue Experiment
3. Numerical Simulation Method
3.1. Modeling of Crystal Plastic
3.2. Finite Element Analysis Method
4. Experimental Results
4.1. Experimental Fretting Fatigue Life
4.2. Fracture and Microscopic Damage
5. Discussion
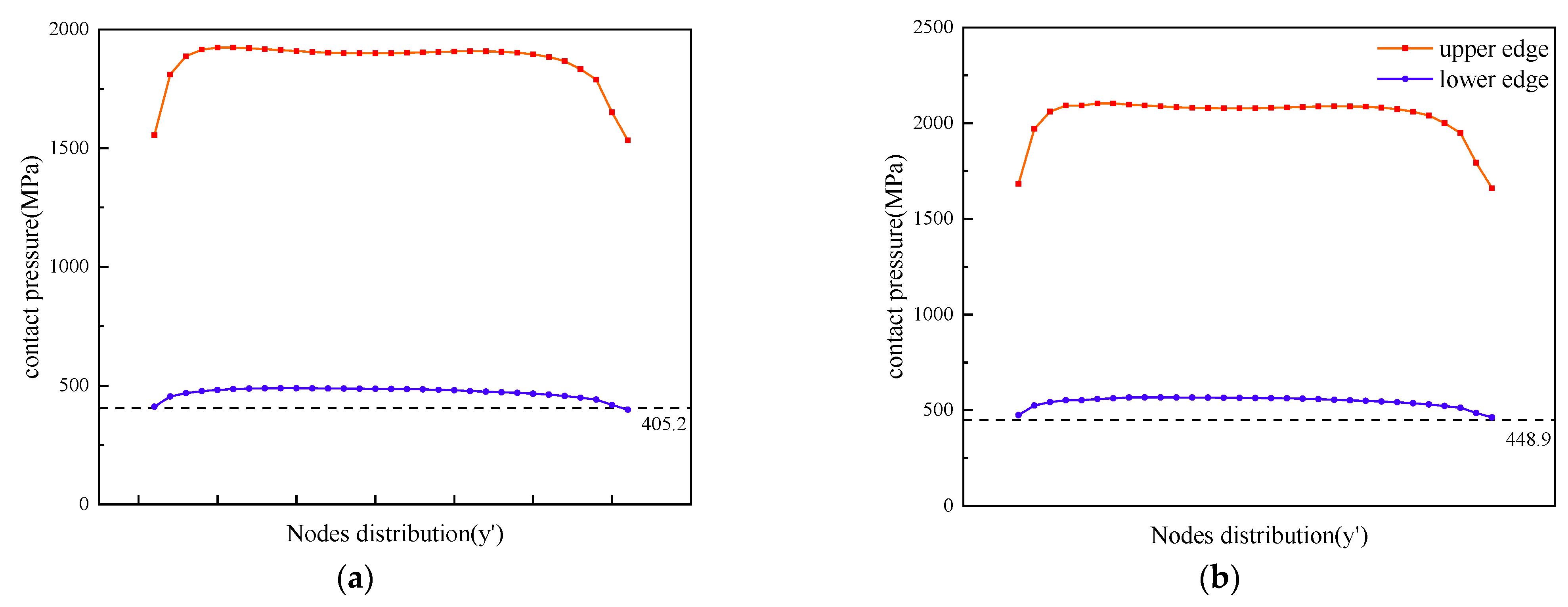
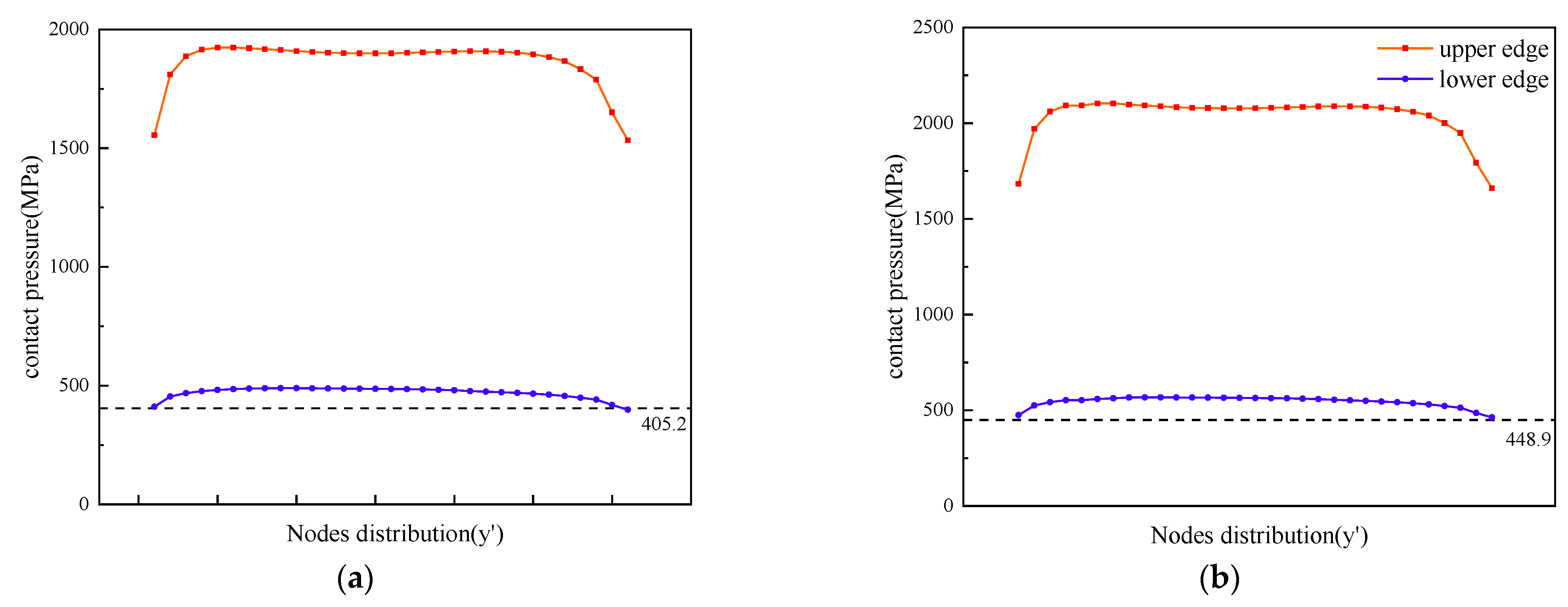
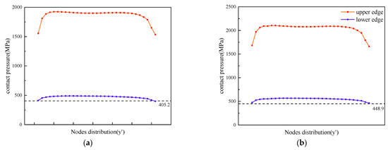
5.1. Contact Pressure and Stress Distribution
5.2. Partition Characteristics of the Fretting Contact Surface
5.3. Summary of the Numerical and Experimental Study
6. Conclusions
- The initial fretting fatigue cracks of the dovetail specimen occurred at the location where the stress gradient is highest. The fretting fatigue life decreases as the fatigue load increases. The wear morphology of both the dovetail specimen and fretting pads is similar for different load conditions.
- In the numerical calculation of the contact surface, the place where the contact pressure gradient is largest is verified as the initial crack position of fretting fatigue by the experiment. This area also has a larger gradient of frictional stress and sliding distance.
- The calculation results of stress state and distribution using the 3D finite element model of contact surface show that the simplified method using 2D or quasi 3D model in contact calculation is not accurate enough. The calculated results for the 3D model are in good agreement with the experimental results.
- The theoretical partitioning of the fretting surface can be clearly observed in the present experiment. There are apparent differences in the degree of wear for different regions of contact surfaces under fretting load. The flaking of the oxide layer in the upper edge area due to fretting wear is more serious, which promotes the initiation and propagation of fretting fatigue cracks.
Author Contributions
Funding
Institutional Review Board Statement
Informed Consent Statement
Data Availability Statement
Conflicts of Interest
References
- Rajasekaran, R.; Nowell, D. Fretting fatigue in dovetail blade roots: Experiment and analysis. Tribol. Int. 2006, 39, 1277–1285. [Google Scholar] [CrossRef]
- Nicholas, T. Critical issues in high cycle fatigue. Int. J. Fatigue 1999, 21, S221–S231. [Google Scholar] [CrossRef]
- Ciavarella, M.; Demelio, G. A review of analytical aspects of fretting fatigue, with extension to damage parameters, and application to dovetail joints. Int. J. Solids Struct. 2001, 38, 1791–1811. [Google Scholar] [CrossRef] [Green Version]
- Farris, T.N.; Szolwinski, M.P.; Harish, G. Fretting in aerospace structures and materials. In Fretting Fatigue: Current Technology and Practices; ASTM International: West Conshohocken, PS, USA, 2000. [Google Scholar]
- ASTM. Astm E2789-10: Standard Guide for Fretting Fatigue Test; ASTM International: West Conshohocken, PS, USA, 2010; p. 10. [Google Scholar]
- Jin, O.; Mall, S. Shear force effects on fretting fatigue behavior of Ti-6Al-4V. Metal. Mater. Trans. A 2004, 35, 131–138. [Google Scholar] [CrossRef]
- Alfredsson, B.; Cadario, A. A study on fretting friction evolution and fretting fatigue crack initiation for a spherical contact. Int. J. Fatigue 2004, 26, 1037–1052. [Google Scholar] [CrossRef]
- Li, X.; Yang, J.; Li, M. An investigation on fretting fatigue mechanism under complex cyclic loading conditions. Int. J. Fatigue 2016, 88, 227–235. [Google Scholar] [CrossRef]
- Murthy, H.; Gao, G.; Farris, T.N. Fretting fatigue of single crystal nickel at 600 °C. Tribol. Int. 2006, 39, 1227–1240. [Google Scholar] [CrossRef]
- Fenner, A.J. A study of the onset of fatigue damage due to fretting. N. E. Coast Inst. Eng. Shipbuild. 1960, 76, 183. [Google Scholar]
- Golden, P.J.; Hutson, A.; Sundaram, V. Effect of surface treatments on fretting fatigue of Ti-6Al-4V. Int. J. Fatigue 2007, 29, 1302–1310. [Google Scholar] [CrossRef]
- Golden, P.J.; Nicholas, T. The effect of angle on dovetail fretting experiments in Ti-6Al-4V. Fatigue Fract. Eng. Mater. 2005, 28, 1169–1175. [Google Scholar] [CrossRef]
- Golden, P.J. Development of a dovetail fretting fatigue fixture for turbine engine materials. Int. J. Fatigue 2009, 31, 620–628. [Google Scholar] [CrossRef]
- Sun, S.; Li, L.; Yue, Z. Fretting fatigue failure behavior of Nickel-based single crystal superalloy dovetail specimen in contact with powder metallurgy pads at high temperature. Tribol. Int. 2020, 142, 105986. [Google Scholar] [CrossRef]
- Nowell, D. An Analysis of Fretting Fatigue. Ph.D. Thesis, University of Oxford, Oxford, UK, 1988. [Google Scholar]
- Lykins, C.D.; Mall, S.; Jain, V. An evaluation of parameters for predicting fretting fatigue crack initiation. Int. J. Fatigue 2000, 22, 703–716. [Google Scholar] [CrossRef]
- Lykins, C.D.; Mall, S.; Jain, V.K. Combined experimental-numerical investigation of fretting fatigue crack initiation. Int. J. Fatigue 2001, 23, 703–711. [Google Scholar] [CrossRef]
- Huang, X.; Gibson, T.E.; Zhang, M. Fretting on the cubic face of a single-crystal Ni-base superalloy at room temperature. Tribol. Int. 2009, 42, 875–885. [Google Scholar] [CrossRef]
- Conner, B.P.; Nicholas, T. Using a dovetail fixture to study fretting fatigue and fretting palliatives. J. Eng. Mater. Technol. 2006, 128, 133–141. [Google Scholar] [CrossRef]
- Ruiz, C.; Boddington, P.H.B.; Chen, K.C. An investigation of fatigue and fretting in a dovetail joint. Exp. Mech. 1984, 24, 208–217. [Google Scholar] [CrossRef]
- Shi, L.; Wei, D.; Wang, Y. An investigation of fretting fatigue in a circular arc dovetail assembly. Int. J. Fatigue 2016, 82, 226–237. [Google Scholar] [CrossRef]
- Chen, J.J.; Liu, L.; Li, S.X. Experimental and numerical investigation on crack initiation of fretting fatigue of dovetail. Fatigue Fract. Eng. Mater. 2018, 41, 1426–1436. [Google Scholar] [CrossRef]
- Jin, O.; Mall, S. Effects of slip on fretting behavior: Experiments and analyses. Wear 2004, 256, 671–684. [Google Scholar] [CrossRef]
- Zhen, J.; Han, Y.; Chen, J. Influence of Mo and Al elements on the vacuum high temperature tribological behavior of high strength nickel alloy matrix composites. Tribol. Int. 2019, 131, 702–709. [Google Scholar] [CrossRef]
- Kesavan, D.; Done, V.; Sridhar, M.R. High temperature fretting wear prediction of exhaust valve material. Tribol. Int. 2016, 100, 280–286. [Google Scholar] [CrossRef]
- Wei, D.S.; Wang, Y.R. Analysis of fretting fatigue life of dovetail assemblies based on fracture mechanics method. Eng. Fail. Anal. 2012, 25, 144–155. [Google Scholar] [CrossRef]
- Sinclair, G.B.; Cormier, N.G. Contact stresses in dovetail attachments: Physical modeling. J. Eng. Gas. Turbines Power 2002, 124, 325–331. [Google Scholar] [CrossRef]
- Wei, D.S.; Wang, Y.R.; Yang, X.G. Analysis of failure behaviors of dovetail assemblies due to high gradient stress under contact loading. Eng. Fail. Anal. 2011, 18, 314–324. [Google Scholar] [CrossRef]
- Matlik, J.F.; Farris, T.N.; Haynes, J. Prediction of fretting crack location and orientation in a single crystal nickel alloy. Mech. Mater. 2009, 41, 1133–1151. [Google Scholar] [CrossRef] [Green Version]
- Rajasekaran, R.; Nowell, D. On the finite element analysis of contacting bodies using submodelling. J. Strain Anal. Eng. 2005, 40, 95–106. [Google Scholar] [CrossRef]
- Lemoine, E.; Nélias, D.; Thouverez, F. Influence of fretting wear on bladed disks dynamic analysis. Tribol. Int. 2020, 145, 106148. [Google Scholar] [CrossRef]
- Qu, Z.; Hu, D.; Chen, Z. Contact nonlinear analysis for the under-platform dampers of blade based on a frictional energy dissipation model. Structures 2021, 30, 146–155. [Google Scholar] [CrossRef]
- Peirce, D.; Asaro, R.J.; Needleman, A. Material rate dependence and localized deformation in crystalline solids. Acta Metall. Sin. 1983, 31, 1951–1976. [Google Scholar] [CrossRef]
- Asaro, R.J.; Needleman, A. Overview no. 42 texture development and strain hardening in rate dependent polycrystals. Acta Metall. Sin. 1985, 33, 923–953. [Google Scholar] [CrossRef]
- Mao, H.Z.; Wen, Z.X.; Yue, Z.F. The evolution of plasticity for nickel-base single crystal cooled blade with film cooling holes. Mater. Sci. Eng. A 2013, 587, 79–84. [Google Scholar] [CrossRef]
- Yang, Q.; Zhou, W.; Zhong, Y. Effect of shot-peening on the fretting wear and crack initiation behavior of Ti-6Al-4V dovetail joint specimens. Int. J. Fatigue 2018, 107, 83–95. [Google Scholar] [CrossRef]
- Zhang, D.; Xia, Y.; Scarpa, F. Interfacial contact stiffness of fractal rough surfaces. Sci Rep.-UK 2017, 7, 12874. [Google Scholar] [CrossRef] [Green Version]
- Bo, S.; Feilong, Y.; Jingyao, D. A fractal contact friction model and nonlinear vibration response studies of loosely assembled blade with dovetail root. Turbo Expo: Power for Land, Sea, and Air. Am. Soc. Mech. Eng. 2016, 49835, V07. [Google Scholar]















| Cr | Co | W | Al | Ta | Mo | Ti | Ni |
|---|---|---|---|---|---|---|---|
| 12.5 | 5.0 | 4.5 | 4.0 | 5.5 | 0.5 | 4.0 | Bal. |
| C | Co | Cr | W | Mo | Al | Ti | Nb | Hf |
|---|---|---|---|---|---|---|---|---|
| 0.03 | 20 | 13 | 4.3 | 2.9 | 3.6 | 3.5 | 1.5 | 0.35 |
| Parameter | Value |
|---|---|
| Temperature | 630 °C |
| Load amplitude | 13,500 N,14,956 N,16,451.6 N,17,947.2 N |
| Load ratio | 0.05 |
| Frequency | 1 Hz |
| Load spectrum type | Sine wave |
| T(°C) | 25 | 300 | 600 | 700 | 760 | 850 | 980 | 1070 | 1100 | 1120 | 1140 |
|---|---|---|---|---|---|---|---|---|---|---|---|
| E (GPa) | 128.149 | 121.668 | 113.044 | 108.178 | 104.466 | 98.835 | 90.129 | 81.411 | 77.069 | 74.101 | 71.238 |
| 0.369 | 0.382 | 0.399 | 0.407 | 0.414 | 0.420 | 0.432 | 0.442 | 0.451 | 0.457 | 0.464 |
| T(°C) | 20 | 200 | 350 | 400 | 500 | 600 | 700 | 750 | 800 |
|---|---|---|---|---|---|---|---|---|---|
| E (GPa) | 221 | 216 | 210 | 205 | 198 | 180 | 161 | 193 | 178 |
| 0.3 | |||||||||
| Element Size of Contact Surface (mm) | Maximum Contact Pressure Pm (MPa) | Maximum Contact Pressure Increment Pi (MPa) | Relative Error Pi/Pm (%) |
|---|---|---|---|
| 0.1 | 1732.61 | ||
| 0.05 | 1851.08 | 118.47 | 6.4 |
| 0.008 | 1924.2 | 73.12 | 3.8 |
| 0.005 | 1976.46 | 52.26 | 2.6 |
| No. of Specimen | Maximum Load (N) | Load Ratio | Fretting Fatigue Failure Life (Cycles) | Averaged Failure Life (Cycles) |
|---|---|---|---|---|
| 1 | 13,500 | 0.05 | 46,634 | 49342 |
| 2 | 52,050 | |||
| 3 | 14,956 | 0.05 | 5796 | 9652.5 |
| 4 | 13,509 | |||
| 5 | 16,451.6 | 0.05 | 6117 | 5823.5 |
| 6 | 5530 | |||
| 7 | 17,947.2 | 0.05 | 4223 | 5256.5 |
| 8 | 6290 |
Publisher’s Note: MDPI stays neutral with regard to jurisdictional claims in published maps and institutional affiliations. |
© 2021 by the authors. Licensee MDPI, Basel, Switzerland. This article is an open access article distributed under the terms and conditions of the Creative Commons Attribution (CC BY) license (https://creativecommons.org/licenses/by/4.0/).
Share and Cite
Qu, Z.; Liu, K.; Wang, B.; Chen, Z. Fretting Fatigue Experiment and Finite Element Analysis for Dovetail Specimen at High Temperature. Appl. Sci. 2021, 11, 9913. https://doi.org/10.3390/app11219913
Qu Z, Liu K, Wang B, Chen Z. Fretting Fatigue Experiment and Finite Element Analysis for Dovetail Specimen at High Temperature. Applied Sciences. 2021; 11(21):9913. https://doi.org/10.3390/app11219913
Chicago/Turabian StyleQu, Zhen, Kaicheng Liu, Baizhi Wang, and Zhiying Chen. 2021. "Fretting Fatigue Experiment and Finite Element Analysis for Dovetail Specimen at High Temperature" Applied Sciences 11, no. 21: 9913. https://doi.org/10.3390/app11219913
APA StyleQu, Z., Liu, K., Wang, B., & Chen, Z. (2021). Fretting Fatigue Experiment and Finite Element Analysis for Dovetail Specimen at High Temperature. Applied Sciences, 11(21), 9913. https://doi.org/10.3390/app11219913
