Experimental Comparison of Three Characterization Methods for Two Phase Change Materials Suitable for Domestic Hot Water Storage
Abstract
:1. Introduction
2. Characterization Methods for Phase Change Materials
2.1. Direct Scanning and Step Scanning Calorimeter Methods
2.2. Fluxmetric Method
3. Results of the Direct Scanning and Step Scanning Calorimeter Methods
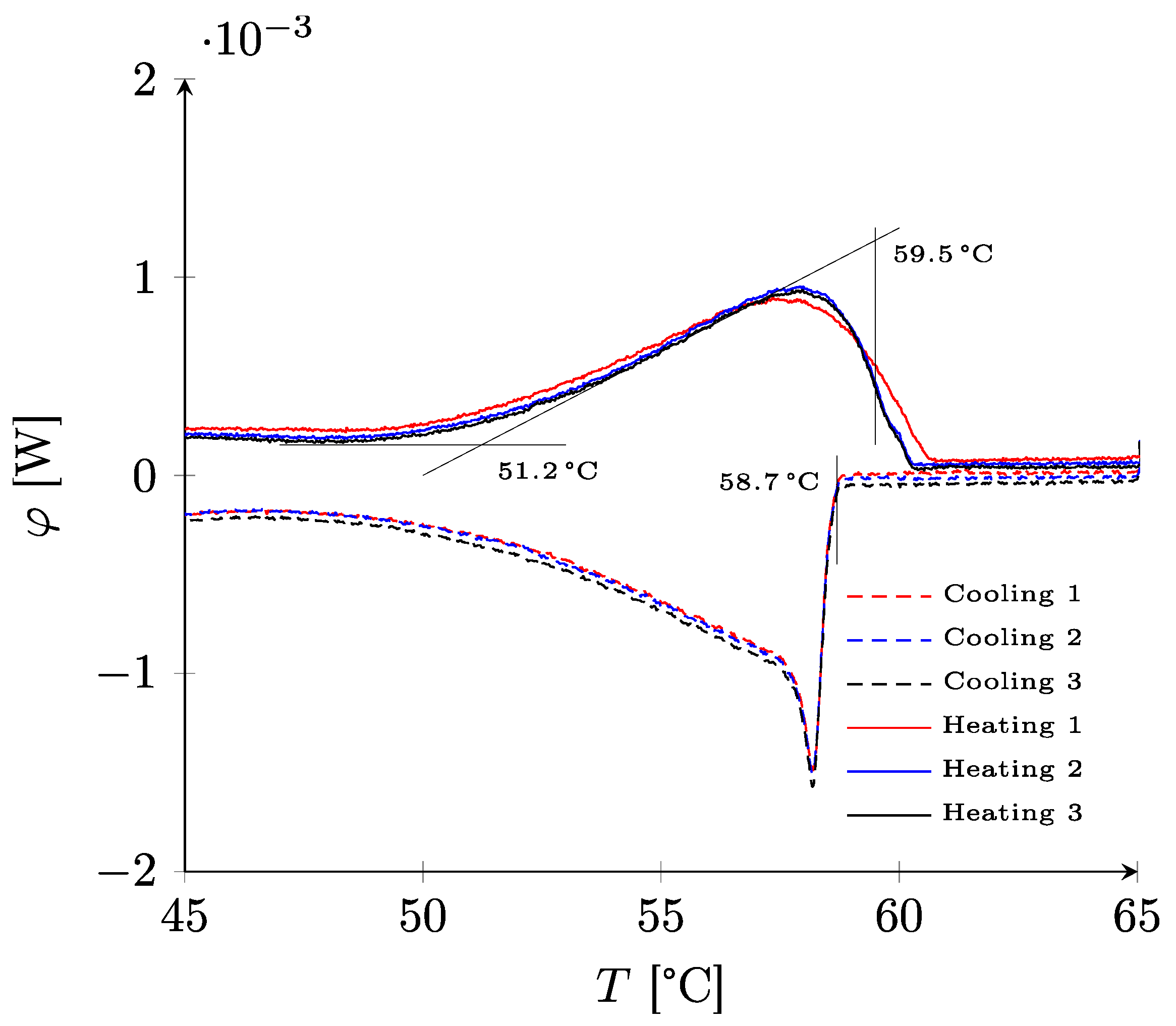
3.1. Results for Paraffin RT58
3.2. Results for Polymer PEG6000
4. Results of the Fluxmetric Method
5. Comparison between Direct Scanning Calorimeter, Step Scanning Calorimeter and Fluxmetric Methods
6. Conclusions and Outlooks
- -
- Results from the DSC method are sufficient where a high accuracy is not required and when the PCM does not experience supercooling. The accuracy of the characterization might be improved using a calorimeter with the STEP method, but the experiments will be longer and it will be more complex to configure the settings of the calorimeter;
- -
- A complete and accurate characterization of a PCM, with observations and quantification of local and global thermal behaviors, require experiments under various heat loads, with both heat flux and temperature measurements. Only the FM method can conduct this complete characterization. However, compared with DSC and STEP methods, no commercial device exists, the experimental set-up is complex and the experiments are time-consuming;
- -
- Large samples enable a closer resemblance to the thermal behavior of a real-scale system, especially concerning supercooling, which is strongly influenced by the size of the sample. The FM method enables a much closer resemblance to the PCM mass of a storage, than DSC and STEP methods.
- -
- An experimental identification of specific heat, latent heat and phase change temperature consistent with the literature for the two PCM;
- -
- Similar values of specific heat and latent heat for RT58 and PEG6000. This means an equivalent energy density for the two PCM. However, a greater amount of energy is stored inside a same volume for PEG6000, as the mass density is more important;
- -
- The RT58 shows a melting and solidification behavior over a wider temperature range than PEG6000. Therefore, for RT58, the full potential of latent heat might not be fully exploited under the operating conditions of DHW applications. PEG6000 offers a narrower temperature range for the changes of state but, when tap water is drawn off, the PCM temperature must decrease below the supercooling breakthrough temperature to release the latent heat. However, once the solidification process has started, the heat peak is significant;
- -
- Selection of the PCM must be made according to the selected application considering the complete system including the heat exchangers. An accurate modelling of the system is therefore required as PEG6000 and RT58 show different thermal behaviors, especially during the cooling process;
- -
- Because of supercooling, PEG6000 seems more suited to a DHW storage operating with full charging and discharging cycles;
- -
- For a DHW frequently operating with partial phase change cycles, if the PCM temperature does not drop below 52 °C, latent heat will not be released for PEG6000 and the selection of RT58 is recommended, where most of the latent heat is released between 59 °C and 53 °C.
Author Contributions
Funding
Acknowledgments
Conflicts of Interest
References
- Evarts, J.C.; Swan, L.G. Domestic hot water consumption estimates for solar thermal system sizing. Energy Build. 2013, 58, 58–65. [Google Scholar] [CrossRef]
- Fuentes, E.; Arce, L.; Salom, J. A review of domestic hot water consumption profiles for application in systems and buildings energy performance analysis. Renew. Sustain. Energy Rev. 2018, 81, 1530–1547. [Google Scholar] [CrossRef]
- Pomianowski, M.; Johra, H.; Marszal, A.J.; Zhang, C. Sustainable and energy-efficient domestic hot water systems: A review. Renew. Sustain. Energy Rev. 2020, 128, 109900. [Google Scholar] [CrossRef]
- Calderón, A.; Barreneche, C.; Hernández-Valle, K.; Galindo, E.; Segarra, M.; Fernández, A.I. Where is Thermal Energy Storage (TES) research going?—A bibliometric analysis. Sol. Energy 2020, 200, 37–50. [Google Scholar] [CrossRef]
- Sharif, M.K.A.; Al-Abidi, A.A.; Mat, S.; Sopian, K.; Ruslan, M.H.; Sulaiman, M.Y.; Rosli, M.A.M. Review of the application of phase change material for heating and domestic hot water systems. Renew. Sustain. Energy Rev. 2015, 42, 557–568. [Google Scholar] [CrossRef]
- Dolado, P.; Mazo, J.; Lazaro, A.; Marin, J.M.; Zalba, B. Experimental validation of a theoretical model: Uncertainty propagation analysis to a PCM-air thermal energy storage unit. Energy Build. 2012, 45, 124–131. [Google Scholar] [CrossRef]
- Lazaro, A.; Peñalosa, C.; Solé, A.; Diarce, G.; Haussmann, T.; Fois, M.; Zalba, B.; Gshwander, S.; Cabeza, L.F. Intercomparative tests on phase change materials characterisation with differential scanning calorimeter. Appl. Energy 2013, 109, 415–420. [Google Scholar] [CrossRef]
- Dumas, J.-P.; Gibout, S.; Zalewski, L.; Johannes, K.; Franquet, E.; Lassue, S.; Bédécarrats, J.-P.; Tittelein, P.; Kuznik, F. Interpretation of calorimetry experiments to characterise phase change materials. Int. J. Therm. Sci. 2014, 78, 48–55. [Google Scholar] [CrossRef]
- Barreneche, C.; Solé, A.; Miró, L.; Martorell, I.; Fernandez, A.I.; Cabeza, L.F. Study on differential scanning calorimetry analysis with two operation modes and organic and inorganic phase change material (PCM). Thermochim. Acta 2013, 553, 23–26. [Google Scholar] [CrossRef]
- Lin, W.; Dalmazzone, D.; Fürst, W.; Delahaye, A.; Fournaison, L.; Clain, P. Accurate DSC measurement of the phase transition temperature in the TBPB–Water system. J. Chem. Thermodyn. 2013, 61, 132–137. [Google Scholar] [CrossRef]
- Thonon, M.; Fraisse, G.; Zalewski, L.; Pailha, M. Towards a better analytical modelling of the thermodynamic behaviour of phase change materials. J. Energy Storage 2020, 32, 101826. [Google Scholar] [CrossRef]
- Thonon, M.; Fraisse, G.; Zalewski, L.; Pailha, M. Analytical modelling of PCM supercooling including recalescence for complete and partial heating/cooling cycles. Appl. Therm. Eng. 2021, 190, 116751. [Google Scholar] [CrossRef]
- Joulin, A.; Younsi, Z.; Zalewski, L.; Lassue, S.; Rousse, D.R.; Cavrot, J.-P. Experimental and numerical investigation of a phase change material: Thermal-energy storage and release. Appl. Energy 2011, 88, 2454–2462. [Google Scholar] [CrossRef]
- Younsi, Z.; Zalewski, L.; Lassue, S.; Rousse, D.R.; Joulin, A. A Novel Technique for Experimental Thermophysical Characterization of Phase-Change Materials. Int. J. Thermophys. 2010, 32, 674–692. [Google Scholar] [CrossRef]
- Joulin, A.; Zalewski, L.; Lassue, S.; Naji, H. Experimental investigation of thermal characteristics of a mortar with or without a micro-encapsulated phase change material. Appl. Therm. Eng. 2014, 66, 171–180. [Google Scholar] [CrossRef]
- Tittelein, P.; Gibout, S.; Franquet, E.; Johannes, K.; Zalewski, L.; Kuznik, F.; Dumas, J.-P.; Lassue, S.; Bédécarrats, J.-P.; David, D. Simulation of the thermal and energy behaviour of a composite material containing encapsulated-PCM: Influence of the thermodynamical modelling. Appl. Energy 2015, 140, 269–274. [Google Scholar] [CrossRef]
- Tittelein, P.; Gibout, S.; Franquet, E.; Zalewski, L.; Defer, D. Identification of Thermal Properties and Thermodynamic Model for a Cement Mortar Containing PCM by Using Inverse Method. Energy Procedia 2015, 78, 1696–1701. [Google Scholar] [CrossRef]
- Seddegh, S.; Wang, X.; Henderson, A.D.; Xing, Z. Solar domestic hot water systems using latent heat energy storage medium: A review. Renew. Sustain. Energy Rev. 2015, 49, 517–533. [Google Scholar] [CrossRef]
- Nazir, H.; Batool, M.; Osorio, F.J.B.; Isaza-Ruiz, M.; Xu, X.; Vignarooban, K.; Phelan, P.; Inamuddin; Kannan, A.M. Recent developments in phase change materials for energy storage applications: A review. Int. J. Heat Mass Transf. 2019, 129, 491–523. [Google Scholar] [CrossRef]
- Jouhara, H.; Żabnieńska-Góra, A.; Khordehgah, N.; Ahmad, D.; Lipinski, T. Latent thermal energy storage technologies and applications: A review. Int. J. Thermofluids 2020, 5–6, 100039. [Google Scholar] [CrossRef]
- Kalidansan, B.; Pandey, A.K.; Shahabuddinc, S.; Samykanod, M.; Thirugnanasambandam, M.; Saidurb, R. Phase Change Materials Integrated Solar Thermal Energy Systems: Global Trends and Current Practices in Experimental Approaches. J. Energy Storage 2020, 27, 101118. [Google Scholar]
- Douvi, E.; Pagkalos, C.; Dogkas, G.; Koukou, M.K.; Stathopoulos, V.N.; Caouris, Y.; Vrachopoulos, M.G. Phase change materials in solar domestic hot water systems: A review. Int. J. Thermofluids 2021, 10, 100075. [Google Scholar] [CrossRef]
- Gulfam, R.; Zhang, P.; Meng, Z. Advanced thermal systems driven by paraffin-based phase change materials—A review. Appl. Energy 2019, 238, 582–611. [Google Scholar] [CrossRef]
- Lizana, J.; Chacartegui, R.; Padura, A.B.; Valverde, J.M. Advances in thermal energy storage materials and their applications towards zero energy buildings: A critical review. Appl. Energy 2017, 203, 219–239. [Google Scholar] [CrossRef]
- Kanimozhi, B.; Prabhu, A.; Anish, M.; Kumar, P.K.H. Review on Heat Transfer Enhancement Techniques in Thermal Energy Storage Systems. J. Eng. Res. Appl. 2014, 4, 144–149. [Google Scholar]
- Zhang, J.; Zhu, X.; Mondejar, M.E.; Haglind, F. A review of heat transfer enhancement techniques in plate heat exchangers. Renew. Sustain. Energy Rev. 2019, 101, 305–328. [Google Scholar] [CrossRef]
- Al-Maghalseh, M.; Mahkamov, K. Methods of heat transfer intensification in PCM thermal storage systems: Review paper. Renew. Sustain. Energy Rev. 2018, 92, 62–94. [Google Scholar] [CrossRef]
- Sharma, R.; Ganesan, P.; Tyagi, V.; Mahlia, T. Accelerated thermal cycle and chemical stability testing of polyethylene glycol (PEG) 6000 for solar thermal energy storage. Sol. Energy Mater. Sol. Cells 2016, 147, 235–239. [Google Scholar] [CrossRef]
- Kou, Y.; Wang, S.; Luo, J.; Sun, K.; Zhang, J.; Tan, Z.; Shi, Q. Thermal analysis and heat capacity study of polyethylene glycol (PEG) phase change materials for thermal energy storage applications. J. Chem. Thermodyn. 2019, 128, 259–274. [Google Scholar] [CrossRef]
- Tang, B.; Qiu, M.; Zhang, S. Thermal conductivity enhancement of PEG/SiO2 composite PCM by in situ Cu doping. Sol. Energy Mater. Sol. Cells 2012, 105, 242–248. [Google Scholar] [CrossRef]
- Verheyen, S.; Augustijns, P.; Kinget, R.; Mooter, G.V.D. Melting behavior of pure polyethylene glycol 6000 and polyethylene glycol 6000 in solid dispersions containing diazepam or temazepam: A DSC study. Thermochim. Acta 2001, 380, 153–164. [Google Scholar] [CrossRef]
- Shen, J.; Zhang, P.; Song, L.; Li, J.; Ji, B.; Li, J.; Chen, L. Polyethylene glycol supported by phosphorylated polyvinyl alcohol/graphene aerogel as a high thermal stability phase change material. Compos. Part B Eng. 2019, 179, 107545. [Google Scholar] [CrossRef]
- Tang, B.; Wei, H.; Zhao, D.; Zhang, S. Light-heat conversion and thermal conductivity enhancement of PEG/SiO2 composite PCM by in situ Ti4O7 doping. Sol. Energy Mater. Sol. Cells 2017, 161, 183–189. [Google Scholar] [CrossRef]
- Wang, C.; Chen, K.; Huang, Z.; Wang, T.; Chen, F. Effect of polymer-derived silicon carbonitride on thermal performances of polyethylene glycol based composite phase change materials. Sol. Energy 2020, 208, 282–288. [Google Scholar] [CrossRef]
- Yan, D.; Ming, W.; Liu, S.; Yin, G.; Zhang, Y.; Tang, B.; Zhang, S. Polyethylene glycol (PEG)/silicon dioxide grafted aminopropyl group and carboxylic multi-walled carbon nanotubes (SAM) composite as phase change material for light-to-heat energy conversion and storage. J. Energy Storage 2021, 36, 102428. [Google Scholar] [CrossRef]
- Feng, L.; Song, P.; Yan, S.; Wang, H.; Wang, J. The shape-stabilized phase change materials composed of polyethylene glycol and graphitic carbon nitride matrices. Thermochim. Acta 2015, 612, 19–24. [Google Scholar] [CrossRef]
- Sundararajan, S.; Samui, A.B.; Kulkarni, P.S. Synthesis and characterization of poly(ethylene glycol) acrylate (PEGA) copolymers for application as polymeric phase change materials (PCMs). React. Funct. Polym. 2018, 130, 43–50. [Google Scholar] [CrossRef]
- Mondal, S. Phase Change Materials for Smart Textiles—An Overview. Appl. Therm. Eng. 2008, 28, 1536–1550. [Google Scholar] [CrossRef]
- Safari, A.; Saidur, R.; Sulaiman, F.; Xu, Y.; Dong, J. A review on supercooling of Phase Change Materials in thermal energy storage systems. Renew. Sustain. Energy Rev. 2017, 70, 905–919. [Google Scholar] [CrossRef]
- Clausse, D.; Dumas, J.-P. Supercooling, Crystallization and Melting within Emulsions and Divided Systems: Mass, Heat Transfers and Stability; Bentham Science Publishers Ltd.: Sharjah, United Arab Emirates, 2016. [Google Scholar]
- Nejman, A.; Cieslak, M. The impact of the heating/cooling rate on the thermoregulating properties of textile materials modified with PCM microcapsules. Appl. Therm. Eng. 2017, 127, 212–223. [Google Scholar] [CrossRef]
- Mollova, A.; Androsch, R.; Mileva, D.; Schick, C.; Benhamida, A. Effect of Supercooling on Crystallization of Polyamide 11. Macromolecules 2013, 46, 828–835. [Google Scholar] [CrossRef]
- García-Romero, A.; Diarce, G.; Ibarretxe, J.; Urresti, A.; Sala, J. Influence of the experimental conditions on the subcooling of Glauber’s salt when used as PCM. Sol. Energy Mater. Sol. Cells 2012, 102, 189–195. [Google Scholar] [CrossRef]
- Adachi, T.; Daudah, D.; Tanaka, G. Effects of Supercooling Degree and Specimen Size on Supercooling Duration of Erythritol. ISIJ Int. 2014, 54, 2790–2795. [Google Scholar] [CrossRef] [Green Version]
- Zhou, G.; Xiang, Y. Experimental investigations on stable supercooling performance of sodium acetate trihydrate PCM for thermal storage. Sol. Energy 2017, 155, 1261–1272. [Google Scholar] [CrossRef]
- Faucheux, M.; Muller, G.; Havet, M.; LeBail, A. Influence of surface roughness on the supercooling degree: Case of selected water/ethanol solutions frozen on aluminium surfaces. Int. J. Refrig. 2006, 29, 1218–1224. [Google Scholar] [CrossRef]
- Ukrainczyk, N.; Kurajica, S.; Šipuši, J. Thermophysical Comparison of Five Commercial Paraffin Waxes as Latent Heat Storage Materials. Chem. Biochem. Eng. Q. 2010, 24, 129–137. [Google Scholar]
- Gasia, J.; Miró, L.; De Gracia, A.; Barreneche, C.; Cabeza, L.F. Experimental Evaluation of a Paraffin as Phase Change Material for Thermal Energy Storage in Laboratory Equipment and in a Shell-and-Tube Heat Exchanger. Appl. Sci. 2016, 6, 112. [Google Scholar] [CrossRef]
- Feliński, P.; Sekret, R. Experimental study of evacuated tube collector/storage system containing paraffin as a PCM. Energy 2016, 114, 1063–1072. [Google Scholar] [CrossRef]
- Beaupere, N.; Soupremanien, U.; Zalewski, L. Nucleation triggering methods in supercooled phase change materials (PCM), a review. Thermochim. Acta 2018, 670, 184–201. [Google Scholar] [CrossRef]
- Strobl, G. Crystallization and melting of bulk polymers: New observations, conclusions and a thermodynamic scheme. Prog. Polym. Sci. 2006, 31, 398–442. [Google Scholar] [CrossRef]
- Ginés, J.; Arias, M.; Moyano, J.; Sánchez-Soto, P.J. Thermal investigation of crystallization of polyethylene glycols in solid dispersions containing oxazepam. Int. J. Pharm. 1996, 143, 247–253. [Google Scholar] [CrossRef]
- Hobbs, J. In situ atomic force microscopy of the melting of melt-crystallized polyethylene. Polymer 2006, 47, 5566–5573. [Google Scholar] [CrossRef]
- Wilson, P. Supercooling; IntechOpen: London, UK, 2012. [Google Scholar]
- De With, G. Liquid-State Physical Chemistry: Fundamentals, Modeling, and Applications; Wiley-VCH: Weinheim, Germany, 2013. [Google Scholar]












| [kg·m−3] | [kg·m−3] | |
|---|---|---|
| RT58 | 880 | 808 |
| PEG6000 | 1200 | 1070 |
| Characterization Method | Advantages | Disadvantages |
|---|---|---|
| Direct scanning calorimeter (DSC) |
|
|
| Step scanning calorimeter (STEP) |
|
|
| Fluxmetric (FM) |
|
|
Publisher’s Note: MDPI stays neutral with regard to jurisdictional claims in published maps and institutional affiliations. |
© 2021 by the authors. Licensee MDPI, Basel, Switzerland. This article is an open access article distributed under the terms and conditions of the Creative Commons Attribution (CC BY) license (https://creativecommons.org/licenses/by/4.0/).
Share and Cite
Thonon, M.; Zalewski, L.; Gibout, S.; Franquet, E.; Fraisse, G.; Pailha, M. Experimental Comparison of Three Characterization Methods for Two Phase Change Materials Suitable for Domestic Hot Water Storage. Appl. Sci. 2021, 11, 10229. https://doi.org/10.3390/app112110229
Thonon M, Zalewski L, Gibout S, Franquet E, Fraisse G, Pailha M. Experimental Comparison of Three Characterization Methods for Two Phase Change Materials Suitable for Domestic Hot Water Storage. Applied Sciences. 2021; 11(21):10229. https://doi.org/10.3390/app112110229
Chicago/Turabian StyleThonon, Maxime, Laurent Zalewski, Stéphane Gibout, Erwin Franquet, Gilles Fraisse, and Mickael Pailha. 2021. "Experimental Comparison of Three Characterization Methods for Two Phase Change Materials Suitable for Domestic Hot Water Storage" Applied Sciences 11, no. 21: 10229. https://doi.org/10.3390/app112110229
APA StyleThonon, M., Zalewski, L., Gibout, S., Franquet, E., Fraisse, G., & Pailha, M. (2021). Experimental Comparison of Three Characterization Methods for Two Phase Change Materials Suitable for Domestic Hot Water Storage. Applied Sciences, 11(21), 10229. https://doi.org/10.3390/app112110229

