Compilation of Load Spectrum for 5MN Metal Extruder Based on Long Short-Term Memory Network
Abstract
:1. Introduction
2. Methodology
2.1. Rain Flow Counting Method
- (1)
- In the process of raindrops flowing down the roof, if there is no roof blocking, the raindrops will continue to flow down until it stops;
- (2)
- Raindrops that start at the peak load point will end when they encounter a peak load point higher than it;
- (3)
- Raindrops that start at the load valley will also end when they encounter a load valley lower than it;
- (4)
- When raindrops flow, they stop when they encounter the rain stream from the roof above.
2.2. LSTM
3. Experiment
3.1. Selection of Measuring Point
3.2. Data Description
3.3. Evaluation for Forecast Result
3.4. Experiment Result
4. Comparison of Load Spectrum
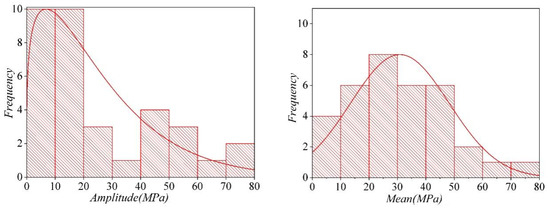
4.1. Classification of Load Spectrum
4.2. Comparison of Methods
5. Conclusions and Discussion
Author Contributions
Funding
Institutional Review Board Statement
Informed Consent Statement
Data Availability Statement
Conflicts of Interest
References
- Singh, K.L.; Venkatasubramanyam, D.V. Techniques to generate and optimize the load spectra for an aircraft. Int. J. Mech. Mater. Des. 2010, 6, 63–72. [Google Scholar] [CrossRef]
- Oelmann, B. Determination of load spectra for durability approval of car drive lines. Fatigue Fract. Eng. Mater. Struct. 2002, 25, 1121–1125. [Google Scholar] [CrossRef]
- Sutherland, H.J. Frequency domain analysis of the fatigue loads on typical wind turbine blade. J. Sol. Energy Eng. Trans. 1996, 118, 204–211. [Google Scholar] [CrossRef]
- Rennert, R. Measured load spectra of rail vehicle car-bodies and their application as design loads. Int. J. Fatigue 2021, 144, 106030. [Google Scholar] [CrossRef]
- Li, J.H.; Zhang, H.T.; Chen, S.S. Investigation of axle-span ratio and moving load speed affecting bridge extreme response using a moving load amplitude spectrum method. Structures 2020, 28, 2633–2645. [Google Scholar] [CrossRef]
- Johannesson, P.; Thomas, J.J. Extrapolation of rainflow matrices. Extremes 2002, 4, 241–262. [Google Scholar] [CrossRef]
- Johannesson, P. Extrapolation of load histories and spectra. Fatigue Fract. Eng. Mater. Struct. 2006, 29, 201–207. [Google Scholar] [CrossRef] [Green Version]
- Rodzewicz, M. Determination and extrapolation of the glider load spectra. Aircr. Eng. Aerosp. Technol. 2008, 80, 487–496. [Google Scholar] [CrossRef]
- Xu, Z.Q.; Wang, H.J.; Yao, M.Y. Load spectrum compilation based on nonparametric statistical extrapolation. In Proceedings of the 4th International Conference on Manufacturing Science and Engineering (ICMSE), Dalian, China, 30–31 March 2013; pp. 271–277. [Google Scholar]
- Rude, U.; Zhou, A. Multi-parameter extrapolation methods for boundary integral equations. Adv. Comput. Math. 1998, 9, 173–190. [Google Scholar] [CrossRef]
- Nagode, M.; Fajdiga, M. A general multi-modal probability density function suitable for the rainflow ranges of stationary random processes. Int. J. Fatigue 1998, 20, 211–223. [Google Scholar] [CrossRef]
- Nagode, M.; Fajdiga, M. On the new method of the loading spectra extrapolation and its scatter prediction. In Proceedings of the 3rd International Conference on Fatigue Design (FD 98), Espoo, Finland, 26–29 May 1998; pp. 147–153. [Google Scholar]
- Nagode, M.; Klemenc, J.; Fajdiga, M. Parametric modelling and scatter prediction of rainflow matrices. Int. J. Fatigue 2001, 23, 525–532. [Google Scholar] [CrossRef]
- Pavel, M.S.; Schulz, H.; Behnke, S. Recurrent convolutional neural networks for object-class segmentation of RGB-D video. In Proceedings of the 2015 International Joint Coference on Neural Networks (IJCNN), Killarney, Ireland, 12–17 July 2015. [Google Scholar]
- Dua, M.; Aggarwal, R.K.; Biswas, M. Discriminatively trained continuous hindi speech recognition system using interpolated recurrent neural network language modeling. Neural Comput. Appl. 2019, 31, 6747–6755. [Google Scholar] [CrossRef]
- Usama, M.; Ahmad, B.; Song, E.; Hossain, M.S.; Alrashoud, M.; Muhammad, G. Attention-based sentiment analysis using convolutional and recurrent neural network. Future Gener. Comp. Syst. 2020, 113, 571–578. [Google Scholar] [CrossRef]
- Hochreiter, S.; Schmidhuber, J. Long short-term memory. Neural Comput. 1997, 9, 1735–1780. [Google Scholar] [CrossRef] [PubMed]
- Yeter, B.; Garbatov, Y.; Guedes Soares, C. Fatigue damage assessment of fixed offshore wind turbine tripod support structures. Eng. Struct. 2015, 101, 518–528. [Google Scholar] [CrossRef]
- Frendahl, M.; Rychlik, I. Rainflow analysis: Markov method. Int. J. Fatigue 1993, 15, 265–272. [Google Scholar] [CrossRef]
- Marsh, G.; Wignall, C.; Thies, P.R.; Barltrop, N.; Incecik, A.; Venugopal, V.; Johanning, L. Review and application of Rainflow residue processing techniques for accurate fatigue damage estimation. Int. J. Fatigue 2015, 82, 757–765. [Google Scholar] [CrossRef] [Green Version]
- Rychlik, I. A new definition of the rainflow cycle counting method. Int. J. Fatigue 1987, 9, 119–121. [Google Scholar] [CrossRef]
- Conover, J.C.; Jaeckel, H.R.; Kippola, W.J. Simulation of field loading in fatique testing. J. Terramech. 1966, 3, 101–102. [Google Scholar]











| Model | MSE | RMSE | MAE |
|---|---|---|---|
| RNN | 4.807 | 2.193 | 1.144 |
| LSTM | 0.405 | 0.636 | 0.502 |
| Load Type | Scale Factor of Load Class Division | |||||||
|---|---|---|---|---|---|---|---|---|
| Amplitude | 1 | 0.95 | 0.85 | 0.725 | 0.575 | 0.425 | 0.275 | 0.125 |
| Mean | 1 | 0.875 | 0.75 | 0.625 | 0.5 | 0.375 | 0.25 | 0.125 |
| Amplitude | SA1 | SA2 | SA3 | SA4 | SA5 | SA6 | SA7 | SA8 | |
|---|---|---|---|---|---|---|---|---|---|
| Mean | 8.76 | 19.28 | 29.79 | 40.31 | 50.82 | 59.58 | 66.59 | 70.10 | |
| SM1 | 14.00 | 2707 | 4 | 0 | 0 | 0 | 0 | 0 | 0 |
| SM2 | 32.45 | 285 | 0 | 0 | 3 | 0 | 0 | 0 | 0 |
| SM3 | 51.25 | 42 | 0 | 0 | 2 | 2 | 1 | 0 | 0 |
| SM4 | 70.06 | 17 | 0 | 0 | 0 | 0 | 1 | 0 | 1 |
| SM5 | 88.87 | 118 | 2 | 0 | 0 | 0 | 0 | 0 | 0 |
| SM6 | 107.67 | 89 | 1 | 0 | 1 | 0 | 0 | 0 | 0 |
| SM7 | 126.48 | 108 | 0 | 0 | 0 | 0 | 1 | 0 | 0 |
| SM8 | 145.28 | 22 | 0 | 0 | 0 | 0 | 0 | 0 | 0 |
| Amplitude | SA1 | SA2 | SA3 | SA4 | SA5 | SA6 | SA7 | SA8 | |
|---|---|---|---|---|---|---|---|---|---|
| Mean | 7.18 | 15.80 | 24.42 | 33.05 | 41.67 | 48.85 | 54.60 | 57.47 | |
| SM1 | 13.00 | 3816 | 1 | 0 | 0 | 0 | 0 | 0 | 0 |
| SM2 | 28.99 | 16 | 0 | 0 | 2 | 0 | 0 | 0 | 0 |
| SM3 | 45.45 | 6 | 0 | 0 | 1 | 2 | 1 | 0 | 0 |
| SM4 | 61.90 | 51 | 0 | 0 | 0 | 0 | 0 | 1 | 1 |
| SM5 | 78.36 | 256 | 0 | 0 | 0 | 0 | 0 | 0 | 0 |
| SM6 | 94.81 | 32 | 0 | 0 | 1 | 0 | 0 | 0 | 0 |
| SM7 | 111.27 | 199 | 0 | 0 | 0 | 0 | 1 | 0 | 0 |
| SM8 | 127.72 | 207 | 0 | 0 | 0 | 0 | 0 | 1 | 1 |
| Amplitude | SA1 | SA2 | SA3 | SA4 | SA5 | SA6 | SA7 | SA8 | |
|---|---|---|---|---|---|---|---|---|---|
| Mean | 7.28 | 16.01 | 24.74 | 33.47 | 42.20 | 49.48 | 53.30 | 58.21 | |
| SM1 | 12 | 3471 | 0 | 0 | 0 | 0 | 0 | 0 | 0 |
| SM2 | 28.50 | 6 | 0 | 0 | 1 | 0 | 0 | 0 | 0 |
| SM3 | 44.91 | 4 | 0 | 0 | 1 | 0 | 1 | 2 | 2 |
| SM4 | 61.31 | 46 | 0 | 0 | 0 | 0 | 0 | 0 | 0 |
| SM5 | 77.72 | 243 | 0 | 0 | 0 | 0 | 0 | 0 | 0 |
| SM6 | 94.13 | 40 | 0 | 0 | 1 | 0 | 0 | 0 | 0 |
| SM7 | 110.54 | 214 | 1 | 0 | 0 | 0 | 1 | 0 | 0 |
| SM8 | 126.94 | 261 | 0 | 0 | 0 | 0 | 0 | 0 | 0 |
Publisher’s Note: MDPI stays neutral with regard to jurisdictional claims in published maps and institutional affiliations. |
© 2021 by the authors. Licensee MDPI, Basel, Switzerland. This article is an open access article distributed under the terms and conditions of the Creative Commons Attribution (CC BY) license (https://creativecommons.org/licenses/by/4.0/).
Share and Cite
Cheng, X.; Han, T.; Yang, P.; Zhang, X. Compilation of Load Spectrum for 5MN Metal Extruder Based on Long Short-Term Memory Network. Appl. Sci. 2021, 11, 9708. https://doi.org/10.3390/app11209708
Cheng X, Han T, Yang P, Zhang X. Compilation of Load Spectrum for 5MN Metal Extruder Based on Long Short-Term Memory Network. Applied Sciences. 2021; 11(20):9708. https://doi.org/10.3390/app11209708
Chicago/Turabian StyleCheng, Xiaole, Te Han, Peilin Yang, and Xugang Zhang. 2021. "Compilation of Load Spectrum for 5MN Metal Extruder Based on Long Short-Term Memory Network" Applied Sciences 11, no. 20: 9708. https://doi.org/10.3390/app11209708
APA StyleCheng, X., Han, T., Yang, P., & Zhang, X. (2021). Compilation of Load Spectrum for 5MN Metal Extruder Based on Long Short-Term Memory Network. Applied Sciences, 11(20), 9708. https://doi.org/10.3390/app11209708
