The Effects of Aerodynamic Interference on the Aerodynamic Characteristics of a Twin-Box Girder
Abstract
:1. Introduction
2. Experimental Setup
2.1. Section Model Geometrical Information and Surface Pressure Measurements
2.2. Aerodynamic Interference Measurements
2.2.1. Leading Body-Height Grid Aerodynamic Interference
2.2.2. Leading Circular Cylinder Aerodynamic Interference
2.3. Turbulence Intensity Measurement
3. Results and Discussions
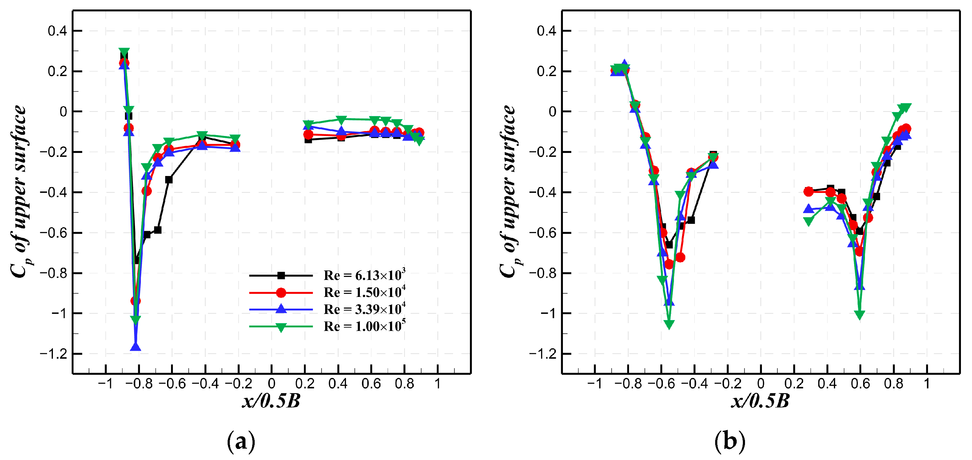
3.1. Undisturbed Surface Pressure Distribution and Aerodynamic Forces
3.2. Modulation of Surface Pressure Distribution by Leading Body-Height Grids
3.3. Modulation of Surface Pressure Distribution by Leading Circular Cylinders
3.4. Modulation of Aerodynamic Forces by Leading Body-Height Grids
3.5. Modulation of Aerodynamic Forces by Leading Circular Cylinders
4. Conclusions
- (1)
- The leading body-height grid generates the turbulent incoming flow, which effectively breaks the separation bubbles and the flow reattachment, and the laminar boundary layer in the undisturbed case at low Re is forced to transition to turbulent flow. Moreover, the characteristics of surface pressure distribution with body-height grid interference are similar to those of bare deck at high Re;
- (2)
- The Reynolds number sensitivity of time-averaged drag force decreases with the increase in turbulence intensity, and the CD mean is dominated by the turbulence intensity. While the CL mean and Cm mean are dependent on the Re and turbulence intensity at low Re, at high Re, the CL mean and Cm mean are insensitive to the Re and turbulence intensity. The fluctuating drag force CD rms depends on the turbulence intensity, and is insensitive to the Reynolds number, while the CL rms and Cm rms are related to both turbulence intensity and the Reynolds number. In addition, the characteristics of CL rms and Cm rms are similar, indicating that the CL rms is the dominant component of the Cm rms;
- (3)
- The coherent turbulence generated by the leading circular cylinders effectively changes the boundary layer of the twin-box girder. The Reynolds number sensitivity of surface pressure distribution is reduced by the interference of cylinders, and it is insensitive to the diameter and the spacing ratio. Moreover, the separation bubbles are also broken by the wake of the cylinder;
- (4)
- The time-averaged drag force CD mean is significantly reduced by the interference of the leading cylinder, and its Reynolds number sensitivity is diminished. Moreover, the time-averaged lift force CL mean with cylinder interference is drastically decreased, and it is also insensitive to the Reynolds number. With the increase in the spacing ratio, the time-averaged moment force Cm mean is weakened, and its Reynolds number sensitivity is reduced. In addition, the fluctuating drag force CD rms and lift force CL rms are both insensitive to the Re, the spacing ratio, and the diameter, while the fluctuating moment force is closely related to these three parameters.
Author Contributions
Funding
Institutional Review Board Statement
Informed Consent Statement
Data Availability Statement
Conflicts of Interest
References
- Xu, F.; Ying, X.; Li, Y.; Zhang, M. Experimental explorations of the torsional vortex-induced vibrations of a bridge deck. J. Bridge Eng. 2016, 21, 04016093. [Google Scholar] [CrossRef]
- Chen, W.L.; Li, H.; Hu, H. An experimental study on the unsteady vortices and turbulent flow structures around twin-box-girder bridge deck models with different gap ratios. J. Wind. Eng. Ind. Aerodyn. 2014, 132, 27–36. [Google Scholar] [CrossRef]
- Chen, G.B.; Chen, W.L.; Gao, D.L.; Yang, Z.F. Active control of flow structure and unsteady aerodynamic force of box girder with leading-edge suction and trailing-edge jet. Exp. Therm. Fluid Sci. 2021, 120, 110244. [Google Scholar] [CrossRef]
- Zhang, M.; Xu, F.; Ying, X. Experimental investigations on the nonlinear torsional flutter of a bridge deck. J. Bridge Eng. 2017, 22, 04017048. [Google Scholar] [CrossRef]
- Ying, X.; Xu, F.; Zhang, M.; Zhang, Z. Numerical explorations of the limit cycle flutter characteristics of a bridge deck. J. Wind. Eng. Ind. Aerodyn. 2017, 169, 30–38. [Google Scholar] [CrossRef]
- Chen, W.L.; Li, H.; Ou, J.P.; Li, F.C. Numerical simulation of vortex-induced vibrations of inclined cables under different wind profiles. J. Bridge Eng. 2013, 18, 42–53. [Google Scholar] [CrossRef]
- Liu, J.; Hui, Y.; Wang, J.; Yang, Q. LES study of windward-face-mounted-ribs’ effects on flow fields and aerodynamic forces on a square cylinder. Build. Environ. 2021, 200, 107950. [Google Scholar] [CrossRef]
- Xu, L.; Hui, Y.; Yang, Q.; Chen, Z.; Law, S.S. Modeling and modal analysis of suspension bridge based on continual formula method. Mech. Syst. Signal Process. 2022, 162, 107855. [Google Scholar] [CrossRef]
- Zhou, R.; Ge, Y.; Liu, S.; Yang, Y.; Du, Y.; Zhang, L. Nonlinear flutter control of a long-span closed-box girder bridge with vertical stabilizers subjected to various turbulence flows. Thin-Walled Struct. 2020, 149, 106245. [Google Scholar] [CrossRef]
- Hunt, J.C.R.; Kawai, H.; Ramsey, S.R.; Pedrizetti, G.; Perkins, R.J. A review of velocity and pressure fluctuations in turbulent flows around bluff bodies. J. Wind. Eng. Ind. Aerodyn. 1990, 35, 49–85. [Google Scholar] [CrossRef]
- Sarwar, M.W.; Ishihara, T.; Shimada, K.; Yamasaki, Y.; Ikeda, T. Prediction of aerodynamic characteristics of a box girder bridge section using the LES turbulence model. J. Wind. Eng. Ind. Aerodyn. 2008, 96, 1895–1911. [Google Scholar] [CrossRef]
- Scanlan, R.H.; Lin, W.H. Effects of turbulence on bridge flutter derivatives. J. Eng. Mech. Div. 1978, 104, 719–733. [Google Scholar] [CrossRef]
- Haan, F.L., Jr.; Kareem, A. Anatomy of turbulence effects on the aerodynamics of an oscillating prism. J. Eng. Mech. 2009, 135, 987–999. [Google Scholar] [CrossRef]
- Matsumoto, M.; Shiraishi, N.; Shirato, H. Turbulence unstabilization on bridge aerodynamics. In Proceedings of the International Conference Innovation in Cable-Stayed Bridges, Fukuoka, Japan, 18–19 April 1991; pp. 175–183. [Google Scholar]
- Chen, X.; Kareem, A. Nonlinear response analysis of long-span bridges under turbulent winds. J. Wind. Eng. Ind. Aerodyn. 2001, 89, 1335–1350. [Google Scholar] [CrossRef]
- Chen, X.; Kareem, A. Aeroelastic analysis of bridges: Effects of turbulence and aerodynamic nonlinearities. J. Eng. Mech. 2003, 129, 885–895. [Google Scholar] [CrossRef]
- Kareem, A.; Wu, T. Wind-induced effects on bluff bodies in turbulent flows: Nonstationary, non-Gaussian and nonlinear features. J. Wind. Eng. Ind. Aerodyn. 2013, 122, 21–37. [Google Scholar] [CrossRef]
- Laima, S.; Wu, B.; Jiang, C.; Chen, W.; Li, H. Numerical study on Reynolds number effects on the aerodynamic characteristics of a twin-box girder. Wind. Struct. 2019, 28, 285–298. [Google Scholar]
- Irwin, H.P.A.H.; Cooper, K.R.; Girard, R. Correction of distortion effects caused by tubing systems in measurements of fluctuating pressures. J. Wind. Eng. Ind. Aerodyn. 1979, 5, 93–107. [Google Scholar] [CrossRef]
- Holmes, J.D.; Lewis, R.E. The dynamic response of pressure-measurement systems. In Proceedings of the 9th AFMC, Australasian Fluid Mechanics Conference, Auckland, New Zealand, 8–12 December 1986; pp. 8–12. [Google Scholar]
- Landau, L.D.; Lifshitz, E.M. Course of Theoretical Physics; Fluid Mechanics; Pergamon Press: London, UK, 1959; Volume 6. [Google Scholar]




















Publisher’s Note: MDPI stays neutral with regard to jurisdictional claims in published maps and institutional affiliations. |
© 2021 by the authors. Licensee MDPI, Basel, Switzerland. This article is an open access article distributed under the terms and conditions of the Creative Commons Attribution (CC BY) license (https://creativecommons.org/licenses/by/4.0/).
Share and Cite
Wu, B.; Xue, G.; Feng, J.; Laima, S. The Effects of Aerodynamic Interference on the Aerodynamic Characteristics of a Twin-Box Girder. Appl. Sci. 2021, 11, 9517. https://doi.org/10.3390/app11209517
Wu B, Xue G, Feng J, Laima S. The Effects of Aerodynamic Interference on the Aerodynamic Characteristics of a Twin-Box Girder. Applied Sciences. 2021; 11(20):9517. https://doi.org/10.3390/app11209517
Chicago/Turabian StyleWu, Buchen, Geng Xue, Jie Feng, and Shujin Laima. 2021. "The Effects of Aerodynamic Interference on the Aerodynamic Characteristics of a Twin-Box Girder" Applied Sciences 11, no. 20: 9517. https://doi.org/10.3390/app11209517
APA StyleWu, B., Xue, G., Feng, J., & Laima, S. (2021). The Effects of Aerodynamic Interference on the Aerodynamic Characteristics of a Twin-Box Girder. Applied Sciences, 11(20), 9517. https://doi.org/10.3390/app11209517
