Research on Kinematics Analysis and Trajectory Planning of Novel EOD Manipulator
Abstract
:1. Introduction
2. Mechanism Design
3. Kinematics Analysis of 5-DOF Manipulator
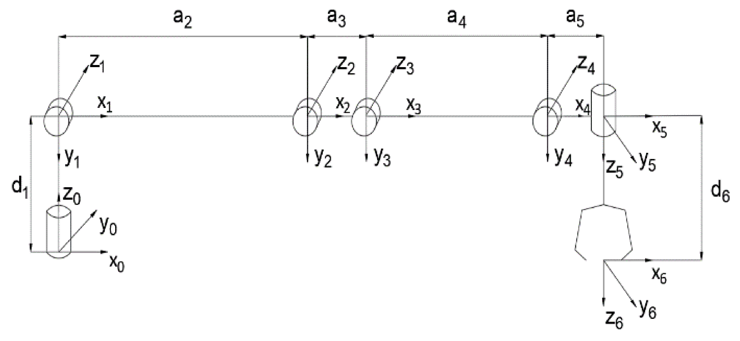
3.1. Construction of D–H Model and Parameter Table
3.2. Forward Kinematics Analysis
3.3. Inverse Kinematics Analysis
- (1)
- Three adjacent joint axes intersect at one point;
- (2)
- There are three adjacent joint axes parallel to each other.
4. Manipulator Workspace Verification
5. Simulation and Experiment
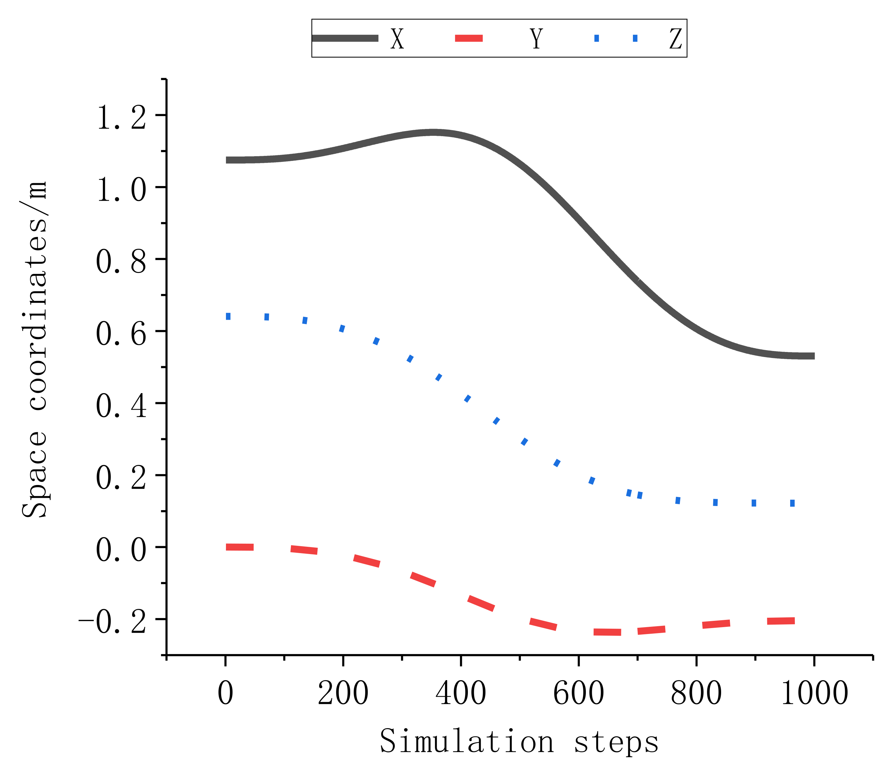
5.1. Simulation of Manipulator Trajectory Planning
5.2. Robot Prototype Experiment
5.3. Experimental Verification of Manipulator
6. Conclusions
Author Contributions
Funding
Institutional Review Board Statement
Informed Consent Statement
Data Availability Statement
Acknowledgments
Conflicts of Interest
References
- Pruitt, L.D.; Mcintosh, L.S.; Reger, G. Suicide Safetu Planning During a Pandemic: The Impication of COVID-19 on Coping with a Crisis. Suicide-Life Threat. Behav. 2020, 50, 741–749. [Google Scholar] [CrossRef] [PubMed]
- Yuan, M.X.; Jiang, Y.F.; Shen, Y.; Li, Y.; Qi, W. Task Allocation of Multi-Robot Systems Based on a Novel Explosive Immune Evolutionary Algorithm. Appl. Mech. Mater. 2013, 331, 246–247. [Google Scholar] [CrossRef]
- Ding, H. Mechanism Design, Kinematic Performance Analysis and Simulation of Small-size Explosive Ordnance Disposal Robot. Master’s Thesis, Southeast University, Nanjing, China, 2016. [Google Scholar]
- Vijay, M.; Jena, D. Backstepping terminal sliding mode control of robot manipulator using radial basis functional neural networks. Comput. Electr. Eng. 2018, 67, 690–707. [Google Scholar] [CrossRef]
- Li, B.; Zhang, J.; Li, G.D. Design of EOD robot manipulator control system. J. Mech. Electr. Eng. 2015, 32, 86. [Google Scholar]
- Benotsmane, R.; Dudás, L.; Kovács, G. Trajectory Optimization of Industrial Robot Arms Using a Newly Elaborated “Whip-Lashing” Method. Appl. Sci. 2020, 10, 8666. [Google Scholar] [CrossRef]
- Zheng, B. Mechanical Design and Performance Analysis if Explosive Ordnance Disposal Robot Manipulator and End-Effector. Master’s Thesis, Nanjing University of Science & Technology, Nanjing, China, 2019. [Google Scholar]
- Huerta-Chua, J.; Diaz-Arango, G.; Cazquez-Leal, H.; Flores-Mendez, J.; Moreno-Moreno, M.; Ambrosio-Lazaro, R.C.; Hernandez-Mejia, C. Exploring a Novel Multiple-Query Resistive Grid-Based Planning Method Applied to High-DOF Robotic Manipulators. Sensors 2021, 21, 3274. [Google Scholar] [CrossRef] [PubMed]
- Ge, H.L.; Zang, Y. Research overview of crawler mobile robots at home and abroad. Robot Tech. Appl. 2017, 5, 39–41. [Google Scholar]
- Jing, C.; Xu, H.; Niu, X. Adaptive sliding mode disturbance rejection control with prescribed performance for robotic manipulators. ISA Trans. 2019, 91, 41–51. [Google Scholar] [CrossRef] [PubMed]
- Liu, S.P.; Ma, Z.Y.; Chen, J.L.; Cao, J.F.; Fu, Y.; Li, S.Q. An improved parameter identification method of redundant manipulator. Int. J. Adv. Robot. Syst. 2021, 18, 2. [Google Scholar] [CrossRef]
- Chen, S.X.; Luo, M.Z.; Jiang, G.W.; Abdelaziz, O. Collaborative robot zero moment control for direct teaching based on self-measured gravity and friction. Int. J. Adv. Robot. Syst. 2018, 15, 6. [Google Scholar] [CrossRef] [Green Version]
- Fu, W.; Ouyang, Z.G. Five Degrees of Freedom of the Three-Arm Robot in the EOD. Appl. Mech. Mater. 2013, 321, 1487–1494. [Google Scholar] [CrossRef]
- AlAttar, A.; Cursi, F.; Kormushev, P. Kinematic-Model-Free Redundancy Resolution Using Multi-Point Tracking and Control for Robot Manipulation. Appl. Sci. 2021, 11, 4746. [Google Scholar] [CrossRef]
- Zhang, S.; Dai, S.; Zanchettin, A.M.; Villa, R. Trajectory planning based on non-convex global optimization for serial manipulators. App Math. Model. 2020, 84, 89–105. [Google Scholar] [CrossRef]
- Palmieri, G.; Scoccia, C. Motion Planning and Control of Redundant Manipulators for Dynamical Obstacle Avoidance. Machines 2021, 9, 121. [Google Scholar] [CrossRef]
- Jiang, H.H.; Jin, X.Y.; Xing, X.Y.; Mei, G.F.; Wu, P. Five-degree-of- freedom Manipulator Trajectory Planning Based on PSO Particle Algorithm. Mach. Des. Res. 2020, 36, 107–110. [Google Scholar]
- Chen, S.; Luo, M.Z.; Abdelaziz, O. A general analytical algorithm for collaborative robot (cobot) with 6 degree of freedom (DOF). In Proceedings of the International Conference on Applied System Innovation (ICASI), IEEE, Sapporo, Japan, 13–17 May 2017; pp. 698–701. [Google Scholar]
- Xiong, W.; Chen, Z.T.; Wu, H.; Xu, G.; Mei, H.P.; Ding, T.; Yang, Y. Fetching trajectory planning of explosive ordnance disposal robot. Ferroelectrics 2018, 529, 67–79. [Google Scholar] [CrossRef]
- Zhang, L.H.; Wang, Y.; Zhao, X.Y.; Zhao, P.; He, L.G. Time-optimal trajectory planning of serial manipulator based on adaptive cuckoo search algorithm. J. Mech. Sci. Technol. 2021, 35, 3171–3181. [Google Scholar] [CrossRef]
- Jing, X.; Cheng, L. An Optimal PID Control Algorithm for Training Feedforward Neural Networks. IEE Trans. Ind. Electron. 2013, 60, 2273–2283. [Google Scholar] [CrossRef]






















| Joint | Joint Range/° | ||||
|---|---|---|---|---|---|
| Waist joint | 0 | 0~180 | |||
| Shoulder joint | 0 | 0 | −60~180 | ||
| Elbow joint | 0 | 0 | −120~90 | ||
| Virtual joint | 0 | 0 | 90 | ||
| Wrist pitch joint | 0 | −90~90 | |||
| Wrist rotation joint | 0 | 0 | −180~180 |
| Technical Index | Parameter |
|---|---|
| Mobile platform size (mm) | 600 × 1100 × 900 |
| Dead weight of mobile platform (kg) | ≤200 |
| Mobile platform load (kg) | ≥100 |
| Total mass (kg) | 20~35 |
| Platform load (kg) | ≤20 |
| Motor speed(r/min) | 3000 |
| Motor output torque (N·m) | 7.78 |
| Battery life (h) | 4 |
| Climbing ability | ≥25° |
| Supply voltage (V) | 48 |
| Symbol | Meaning |
|---|---|
| u(k) | Computer output value at the k-th sampling time |
| Kp | Proportional coefficient |
| Ki | Integral coefficient |
| Kd | Differential coefficient |
| e(k) | Deviation value input at the k-th sampling time |
| T | Sampling time |
| Ti | Integration time |
| Td | Differential time |
| k | Sampling serial number |
Publisher’s Note: MDPI stays neutral with regard to jurisdictional claims in published maps and institutional affiliations. |
© 2021 by the authors. Licensee MDPI, Basel, Switzerland. This article is an open access article distributed under the terms and conditions of the Creative Commons Attribution (CC BY) license (https://creativecommons.org/licenses/by/4.0/).
Share and Cite
Zhao, J.; Han, T.; Ma, X.; Ma, W.; Liu, C.; Li, J.; Liu, Y. Research on Kinematics Analysis and Trajectory Planning of Novel EOD Manipulator. Appl. Sci. 2021, 11, 9438. https://doi.org/10.3390/app11209438
Zhao J, Han T, Ma X, Ma W, Liu C, Li J, Liu Y. Research on Kinematics Analysis and Trajectory Planning of Novel EOD Manipulator. Applied Sciences. 2021; 11(20):9438. https://doi.org/10.3390/app11209438
Chicago/Turabian StyleZhao, Jianwei, Tao Han, Xiaofei Ma, Wen Ma, Chengxiang Liu, Jinyu Li, and Yushuo Liu. 2021. "Research on Kinematics Analysis and Trajectory Planning of Novel EOD Manipulator" Applied Sciences 11, no. 20: 9438. https://doi.org/10.3390/app11209438
APA StyleZhao, J., Han, T., Ma, X., Ma, W., Liu, C., Li, J., & Liu, Y. (2021). Research on Kinematics Analysis and Trajectory Planning of Novel EOD Manipulator. Applied Sciences, 11(20), 9438. https://doi.org/10.3390/app11209438

