Next Article in Journal
Qualitative Preliminary Approach for the Development of a Sensory Vocabulary for Actinidia arguta Fruits
Previous Article in Journal
SLA-DQTS: SLA Constrained Adaptive Online Task Scheduling Based on DDQN in Cloud Computing
 
 
Font Type:
Arial Georgia Verdana
Font Size:
Aa Aa Aa
Line Spacing:
Column Width:
Background:
Article

A New Workflow to Generate Monoclonal Antibodies against Microorganisms

1
Chair of Immunotechnology, Institute of Biochemistry and Biology, University of Potsdam, 14476 Potsdam, Germany
2
Cell2Fab Research Unit, Institute of Biochemistry and Biology, University of Potsdam, 14476 Potsdam, Germany
3
NEW/ERA/MABS GmbH, 14482 Potsdam, Germany
*
Author to whom correspondence should be addressed.
Appl. Sci. 2021, 11(20), 9359; https://doi.org/10.3390/app11209359
Submission received: 7 September 2021 / Revised: 29 September 2021 / Accepted: 3 October 2021 / Published: 9 October 2021
(This article belongs to the Topic Future Food Analysis and Detection)

Abstract

:
Monoclonal antibodies are used worldwide as highly potent and efficient detection reagents for research and diagnostic applications. Nevertheless, the specific targeting of complex antigens such as whole microorganisms remains a challenge. To provide a comprehensive workflow, we combined bioinformatic analyses with novel immunization and selection tools to design monoclonal antibodies for the detection of whole microorganisms. In our initial study, we used the human pathogenic strain E. coli O157:H7 as a model target and identified 53 potential protein candidates by using reverse vaccinology methodology. Five different peptide epitopes were selected for immunization using epitope-engineered viral proteins. The identification of antibody-producing hybridomas was performed by using a novel screening technology based on transgenic fusion cell lines. Using an artificial cell surface receptor expressed by all hybridomas, the desired antigen-specific cells can be sorted fast and efficiently out of the fusion cell pool. Selected antibody candidates were characterized and showed strong binding to the target strain E. coli O157:H7 with minor or no cross-reactivity to other relevant microorganisms such as Legionella pneumophila and Bacillus ssp. This approach could be useful as a highly efficient workflow for the generation of antibodies against microorganisms.

1. Introduction

Monoclonal antibodies (mAbs) are highly versatile biomolecules used manifold in analytical and diagnostic systems for the detection of targets ranging from low molecular weight substances to whole microorganisms [1,2,3]. In point of care (POC) systems such as for contaminated drinking water, antibody-based systems are indispensable tools to monitor contamination with pathogenic microorganisms [4]. For the establishment of these detection systems, highly specific mAbs recognizing the pathogen of interest are mandatory. In addition to the complexity of pathogens, the generation of specific mAbs is limited by the complex procedure of inducing strain-specific immune responses and the laborious selection of desired hybridoma cell lines [5]. With this objective, we performed an initial proof of concept study by combining bioinformatic epitope prediction with novel immunization and selection tools to identify antibody candidates that can discriminate E. coli O157:H7 strain (EHEC) from Legionella pneumophila and Bacillus ssp. The strain E. coli O157:H7 (EHEC) was used as a model target to show the feasibility of our workflow.
The process of generating mAbs against certain bacterial strains is often initiated by using inactivated microorganism fractions for immunization. These fractions display numerous different cell surface structures not solely specific for the target strain. Therefore, the immunization with these fractions leads to antibodies with broad specificity to both, the desired bacterial strain but other strains, too. These undesired cross-reactivities represent a major challenge in the process of antibody generation [6]. Furthermore, the immunization of chosen epitopes can carry high risks when no or only minor immune reactions take place. An appropriate immune reaction is often dependent on the used carrier proteins and the interval of immunizations.
In addition to this, the quality of the underlying screening process after fusion is key for the selection of appropriate binders and the functionality in the later application. Especially, when microorganisms are used as antigenic targets, it is important to select suitable and unique epitope structures on the cell surface so that the antibody can detect these structures in the native conformation and assay environment [6]. When hybridoma technology is used, the screening process is mainly performed by limited dilution in combination with numerous enzyme-linked immunosorbent assay (ELISA) screenings, which makes it a time-consuming and expensive procedure. In addition, the presentation of the antigen in cell-based ELISAs is often not related to the final environment in the final detection system.
To circumvent these disadvantages and provide an optimized process, we chose the enterohemorrhagic E. coli O157:H7 strain (EHEC) as a model organism to evaluate our workflow. The E. coli O157:H7 serotype is a food-borne pathogen first identified in 1982 during an outbreak in Michigan [7]. It is now the dominant hemorrhagic serotype, infecting around 100,000 patients every year in the U.S. [8], inducing gastrointestinal indications up to life-threatening complications as Hemolytic Uremic Syndrome (HUS) or Hemorrhagic Colitis induced by the production of Shiga toxin (Stx). The state-of-the-art detection of EHEC infections is performed mainly by PCR and conventional plate counts [9]. These methods are reliable but they need both specialized equipment and time. Ready-to-use POC devices represents a fast and on-site alternative to monitor outbreaks in the field where no laboratory access is suitable. Specific antibodies are the centerpiece for POC applications. However, false-positive results may occur due to cross-reactivities of the antibody to other bacterial strains in the sample. Therefore, a focused antibody generation against a targeted structure located only on the desired bacterial strain is of great importance.
Our new approach led to the generation of several mAbs against E. coli O157:H7 serotype without the need of immunizing whole bacteria cells. It was possible to generate specific mAbs in a very short time frame due to the combination of a very effective immunization with viral carrier proteins and a novel hybridoma selection system (Figure 1). This approach could serve as an improvement for antibody discovery in the future.

2. Materials and Methods

2.1. Comparative Genome Analysis of E. coli and Non-E. coli Strains

To identify strain-specific epitopes suitable for antibody generation, the genomes of different microorganisms were analyzed (Table 1). The genome of E. coli O157:H7 str. EDL933 (NZ_CP015855.1) was set as a reference genome and compared against eight other non-E. coli strains, along with the pan-genome of E. coli (Table 1). We used the tools from the IMG/M system [10] as well as the comparative genome tools from BioCyc [11] with the default settings. The analysis excludes all genes that show an E-value greater than 0.5 and a sequence identity over 70%. In addition, genes that encode proteins with a length of 100 amino acids (aa) or less are discarded from the results. The average protein length is indicated with 267 aa [12]. The analysis results in a set of genes that is unique to the reference bacterial strain.

2.2. Protein Localization

The identified set of genes was further analyzed to specify the localization of the corresponding proteins. In terms of antibody generation, proteins or epitopes have to be located on the cell surface of the microorganisms so that the generated antibody can bind the epitope. For this, the exclusive non-homologous E. coli O157:H7 proteins have been subjected to PSORTb version 3.0 [13]. This tool allows the prediction of the cellular localization of proteins using a Bayesian network model to calculate the associated probability for each localization site. The prediction was carried out with the default settings for Gram-negative bacteria. The outer membrane proteins and the extracellular proteins were filtered from the results and further analyzed for antibody generation.

2.3. B-Cell Epitope Prediction

The proteins FimH and OmpG were examined for the presence of linear B-cell epitopes using BepiPred-2.0 from the IEDB portal [14]. The prediction of specific epitope sequences allows us to engineer our viral carrier proteins used for immunization (VPs). The epitope sequences were further analyzed using the Emini-surface accessibility prediction algorithm and the antigenicity prediction according to Kolaskar and Tongaonkar scale (Table 2). A successful generation of mAbs is achievable only if the predicted linear epitopes are accessible binding sites for the antibody on the protein surface.

2.4. Preparation of Immunogenic VPs

For immunization, the selected epitope sequences from Supplementary Table S1 were genetically inserted into a VP as described previously [15]. Briefly, oligonucleotides of the epitope sequences were synthesized and hybridized. Subsequently, these oligonucleotides were cloned into the vector pET22b with the coding VP sequence. The epitope-engineered VPs were produced recombinantly in E. coli and purified via NTA affinity chromatography. The purified epitope-engineered VPs were dialyzed against PBS and used for immunization.

2.5. Immunization of Balb/c Mice

For each epitope, two six-month-old mice (Balb/c strain) were immunized with the corresponding epitope-engineered VPs. For this purpose, 50 µg epitope-engineered VP in PBS were injected intraperitoneally on days 0, 7, 14, and 21. Blood samples were taken on day 29 to test the immune response in ELISA. Immunization was conducted following the relevant national and international guidelines. The study was approved by the Ministry of Environment, Health, and Consumer Production of the Federal State of Brandenburg, Germany (reference number V3-2347-A16-4-2012) and carried out in compliance with the ARRIVE guidelines.

2.6. Serum ELISA

To prove successful immunization, 5 µg/mL epitope-engineered VPs in PBS were coated (50 µL per well) overnight at 4 °C in a 96-well plate as described previously [15]. In the next step, wells were washed three times with tap water. Blocking was performed by using 100 μL PBS/NCS for 30 min at room temperature (RT). After a further washing step, sera of immunized mice were diluted in 50 µL PBS/NCS in a dilution series of 1:50 to 1:3200. Following incubation for 1 h at RT, the wells were washed again, and a horseradish peroxidase (HRP)-conjugated goat anti-mouse IgG was used for detection (1:5000, Dianova GmbH, Hamburg, Germany). After 45 min incubation, the substrate solution (50 µL per well, 0.12 mg/mL tetramethylbenzidine (Carl Roth GmbH, Karlsruhe, Germany), in 50 mM NaH2PO4 with 0.04% CH4N2O × H2O2) was added. The substrate reaction was stopped after 15 min by using 50 µL 1 M H2SO4 solution. The optical density (OD) was measured at 450 nm with a reference at 620 nm. Preimmune sera from the same mice served as negative control. Positively tested mice were injected with a final boost of 50 µg epitope-engineered VPs at day 36. The spleen was removed on day 40. Splenocytes were isolated and used for fusion with transgenic myeloma cells as described previously [16].

2.7. Fusion and HAT Selection

The fusion of splenocytes with a transgenic myeloma cell line was conducted according to Listek et al. [16]. The fused cells were cultivated for 14 days in hypoxanthine–aminopterin–thymidine (HAT) supplemented RPMI full growth medium in three T75 culture flasks together with feeder cells under 6% CO2, at 37 °C and 95% humidity. Subsequently, the cells were collected and prepared for cell staining and sorting.

2.8. Hybridoma Cell Staining and Flow Cytometry Sorting

After 14 days of HAT selection, transgenic hybridoma cells were prepared for antigen-specific sorting. Therefore, an antibody capture matrix was set up as described previously [16]. Essential for the establishment of a successful antibody capture matrix is the biotinylation of the artificial surface receptor, which was checked flow cytometrically by using 3 µL of phycoerythrin-conjugated streptavidin (SAV, Merck, Darmstadt, Germany). Next, the antibody capture matrix was formed by adding SAV-conjugated goat anti mouse IgG antibody (1 mg/mL) to biotinylated hybridoma cells and incubating it for 20 min. The binding was proved flow cytometrically by using a FACS Melody (BD Biosciences, Franklin Lakes, USA).
Following this, the cells were washed with 10 mL MACS buffer. The pellet was resuspended in 300 μL MACS buffer, and 2 million inactivated E. coli O157:H7 cells were added. The sample was incubated for 20 min at 4 °C and then washed three times with 10 mL of MACS buffer. Again, the pellet was resuspended in 300 µL MACS buffer and incubated with a polyclonal rabbit anti-E. coli antibody (5 µg/mL, Lot: GR3215121-2, Abcam). For 20 min at 4 °C, the cells were incubated and then washed with 10 mL of MACS buffer. In the last staining step, the resuspended cells were stained with a phycoerythrin (PE)-conjugated goat anti-rabbit Fab Fragment (1:500, Lot:121745, Jackson ImmunoResearch, West Grove, PA, USA). Once again, the cells were washed twice with 10 mL MACS buffer. The pellet was resuspended in 500 µL MACS buffer. Finally, 3 µL 7-AAD (1 mg/mL, ThermoFisher, Waltham, MA, USA) was added, and the cell solution was incubated for 15 min at 4 °C. The samples were measured and sorted by flow cytometry (BD FACSMelody). The analysis was carried out by using FlowJo™ Software (FlowJo™ Software (Windows) Version 10.0.7. Ashland).

2.9. Screening of Antigen-Specific Antibody-Producing Hybridomas

The sorted hybridoma cells were seeded in 96-well plates (Greiner bio-one) and cultivated under 6% CO2 at 37 °C and 95% humidity in RPMI full-growth medium supplemented with 10% fetal calf serum (FCS), 2 mM glutamine, 50 μM ß-mercaptoethanol, and 0.1 mg/mL gentamycine. The production of murine antibodies in general was tested after 7 days in a sandwich ELISA by using a goat anti-mouse IgG as a catcher (Lot: 127281, Jackson ImmunoResearch) and a horseradish peroxidase (HRP)-conjugated goat anti-mouse IgG (Lot: 138862, Dianova GmbH, Hamburg, Germany) as a detector. The specificity of the produced antibodies was analyzed by flow cytometry by incubating 2 million inactivated E. coli O157:H7 cells with 100 µL hybridoma culture supernatant. The sample was incubated at 4 °C for 30 min. For the washing step, the cells were mixed with 500 µL MACS buffer and centrifuged at 8000× g for 5 min. Then, the pellet was resuspended in 100 µL MACS buffer. Next, 100 µL PE-conjugated rabbit anti-mouse antibody (1:500, Lot:GR3236250-1, Abcam, Cambridge, UK) was added to the cells, and the mixture was incubated for 30 min at 4 °C. Again, the cells were washed with 500 µL MACS buffer and resuspended in 200 µL MACS buffer for further analysis. A rabbit polyclonal anti-E. coli antibody (5 µg/mL, Lot: GR3215121-2, Abcam) served as positive control. Flow cytometric analyses were performed using the FACS Melody (Becton Dickinson). Measurements were analyzed by using FlowJo™ Software (FlowJo™ Software (Windows) Version 10.0.7. Ashland).

2.10. Antibody Purification

Positively tested monoclonal hybridomas were cultivated in T75 culture flasks (Greiner Bio-One) to collect cell culture supernatant for antibody purification. Antibodies were purified by using protein A-mediated affinity chromatography as described previously by Lütkecosmann et al. [15]. Briefly, the culture supernatant was centrifuged (13,000× g, 15 min, 4 °C), filtered (0.45 mm), and transferred to the protein A column. Elution was performed by using 0.1 M citrate with a pH of 3.5. Eluted antibodies were immediately neutralized with 500 µL 1 M Tris HCl, pH = 9.0.

3. Results

3.1. Selection of B-Cell Epitopes from Reference Genome E. coli O157:H7 Using Bioinformatic Workflow

The bioinformatic workflow shown in Figure 2 was used to identify potential proteins that are unique for E. coli O157:H7 compared to nine other MOs, as well as the pan-genome of E. coli listed in Table 1. Out of 84,201 genes tested, 1206 genes have been identified that distinguish the reference strain E. coli O157:H7 from other bacteria species. The selected genes were further analyzed with regard to the localization of the corresponding proteins predicted with the help of PSORTb server version 3.0. To generate mAbs specific for living bacteria in food or drinking water, the potential target proteins need to be localized on the cell surface. Out of the 1206 genes of our genome analysis result, it was revealed that 53 of the corresponding proteins were located at the outer membrane or extracellular (Supplementary Table S2). The extracellular proteins were further restricted according to the criterion of being connected or anchored to the cell surface. Out of these 53 possible candidates, we selected FimH and OmpG as model targets. Their crystal structure has already been investigated in previous studies [17,18] and allows a more precise verification of the predicted B-cell epitopes on the protein surface.
The IEDB Emini surface accessibility tool was used for B-cell epitope prediction. According to the criteria, all peptides that were present as a linear B-cell epitope were filtered. Table 2 shows an overview of the determined epitopes. Figure 3 (first row) shows the five chosen B-cell epitope sequences and visualizes their localization in the prospected target proteins (1st row). The B-cell epitope sequences were used to produce epitope-engineered VPs for immunization.

3.2. Successful Viral Protein (VP) Immunization Induces Immune Response against E. coli O157:h7

According to the bioinformatic analyses, epitope-engineered VPs were generated and used for the immunization of Balb/c mice. The immune response against the VPs is shown in Figure 3 (second row). All immunization sera revealed a strong signal for the VP in nearly the same intensity with the exception of epitope 5, which showed a reduced immune response overall. In order to see if mice developed a specific immune response against the target microorganism E. coli O157:H7, inactivated cells were stained with the immune serum and measured by flow cytometry. The specific staining plots are shown in Figure 3 (third row). For four out of five epitopes, significant positive stainings could be measured, whereas the preimmune sera showed no staining. Sera from mice immunized with epitope 5 showed no positive staining in flow cytometry, which correlates to the weaker ELISA signals for the corresponding VP. Therefore, the data let us conclude that we could induce an E. coli O157:H7-specific immune response in four out of five samples without immunization with whole bacteria cell extracts.

3.3. Establishment of a Cell Staining Panel for the Sorting of Antibody-Producing Hybridomas against E. coli O157:H7

Due to the successful initiation of a specific immune response against E. coli O157:H7, the fusion of splenocytes and the subsequent sorting of hybridoma cells was performed. For this, we chose our novel selection system based on transgenic myeloma cells [16]. The artificial cell surface marker used in this system allows the linking of an antibody capture matrix to catch the secreted antibody. If the antibody binds specifically to the target, a detection with fluorescently labeled secondary antibodies can be established. The positively stained hybridomas can be easily sorted by flow cytometry.
We have established a cell staining panel with whole inactivated bacteria cells (Figure 4f) allowing us to verify the antibody’s ability to bind the native structure on the bacterial cell surface directly during the sorting process.
Splenocytes of mice that showed positive titers were used for fusion with transgenic myeloma cells to generate hybridoma cells producing E. coli O157:H7 serotype-specific antibodies. We started to test the different conditions and controls to establish a bacteria cell-specific staining panel and to eliminate non-specific background signals. For the whole panel, there is a positive control using a PE-conjugated donkey anti-mouse secondary antibody to detect the successful binding of the antibody capture matrix (Figure 4a). This control setup was also used before fusion to ensure that the transgenic myeloma cells express the artificial cell surface marker to get a high sorting efficacy in the fusion pool.
Figure 4b–e show various control setups of the staining panel that differ in the absence of several important components. Compared to the final setup, these controls prove the general possibility of the panel. Furthermore, non-specific background staining caused by dead cells was reduced using the live-dead marker 7-AAD. Nevertheless, the negative control shown in Figure 4b where the mouse serum was left out showed a low background signal. About 2% of the living cells are stained non-specifically, even after repeated washing steps. This might be because E. coli cells can attach to cell surfaces or to the antibody capture matrix non-specifically if the binding sites are not blocked with serum antibodies or the later secreted antibodies.
In comparison, the full panel (Figure 4f) where the immune serum from VP-EC3 was used showed a second emerging cell population that has a significantly higher PE signal. Despite the mouse serum, which consists of a multitude of polyclonal antibodies, about 6% of the cells could be stained in this way. These cells were able to bind a sufficient number of E. coli O157:H7 cells, which made a second population visible in the flow cytometric analysis.

3.4. Evaluation of the Hybridoma Sorting Approach with Inactivated E. coli O157:H7 Cells Serving as Antigen SUBSECTION

For final sorting, we stained cells from the fusion pools generated by immunizations with VP-EC2, VP-EC3, and VP-EC4 and fused them with our transgenic myeloma cells. In general, we were able to stain cells in each fusion and sort around 7% of hybridomas specifically with a PE signal greater than 104 intensity. From fusion with VP-EC2, we gained 13,000 specific hybridoma cells out of 1 × 106 cells in total (Figure 5; first column). The sorting gates were set very strictly around 104 to sort hybridomas with very high signals. For the VP-EC3 fusion, 21,000 cells out of 6 × 105 cells could be sorted positively. From the fusion VP-EC4, we could sort around 75,000 cells from a pool of 1.35 × 106 hybridoma cells. For further analysis, the cells were cultivated in a monoclonal and polyclonal manner in 96-well plates. Stable cell clones were tested regularly in flow cytometry with the same setup described above. We received the highest number of positive hybridomas from the VP-EC4 fusion, which already showed a significant signal in the serum assay. Overall, 98% of the seeded polyclones (154 out of 156) and about 80% of the seeded monoclonals (44 out of 55) were tested positive for E. coli O157:H7. From the VP-EC2 fusion, 30% of the monoclonals and 20% of the polyclonals were tested as specific, although the serum test showed weaker results compared to immunization with VP-EC3 and VP-EC4. The VP-EC3 fusion showed the lowest number of established monoclonals producing specific antibodies, but 35 polyclonals showed a positive signal in this fusion.

3.5. Characterization of Cross Reactivity against Legionella pneumophila and Bacillus spp.

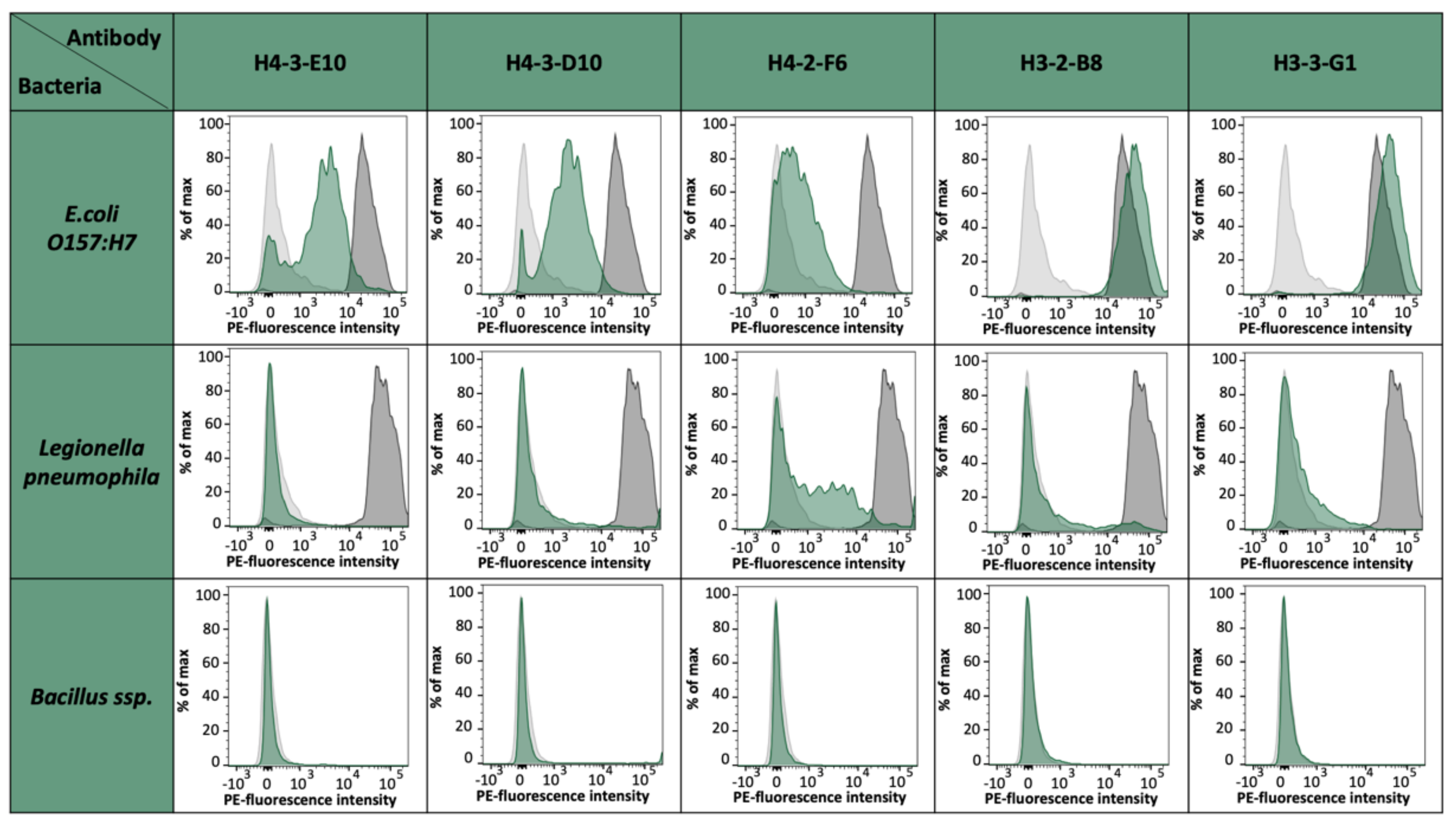
Monoclonal hybridomas, whose supernatants or the corresponding purified mAbs revealed a significant binding to E. coli O157:H7, were tested for cross-reactivities against Legionella pneumophila or Bacillus spp. (Figure 6). The results in Figure 6 showed the purified antibodies H4-3-E10, H4-3-D10, and H4-2-F6, and their significant signal increase compared to the negative control. The purified antibodies H4-3-E10 and H4-3-D10 were generated against OmpG and showed the best binding, which is slightly below the positive control. The measurements of H3-2-B8 and H3-3-G1 showed a high signal at the same level as the positive control. Both antibodies are generated against the target FimH. Checking the antibodies against two common species of microorganisms in drinking water, Legionella pneumophila and Bacillus spp., only minor signal increases were detected. The signal strengths are consistently at the level of the negative control. Only H4-2-F6 showed a slight cross-reactivity to some Legionella pneumophila cells.

3.6. Evidence of Antibody Binding to Integrated Epitopes of Epitope-Engineered VPs

To prove that the antibodies of the sorted hybridoma cells can bind the integrated epitope within the epitope-engineered VPs used for immunization, we tested all antibodies for their binding to the corresponding VP as well for native VP without any integrated epitopes. The data from ELISA confirmed that all newly generated mAbs recognized their corresponding epitope-engineered VP used for immunization (Figure 7). H3-2-B8 and H3-3-G1 showed a significant binding of VP_EC3. A slightly increased signal was detected for VP_EC4, while no further binding to the other epitope-engineered VPs was measured.
Likewise, the antibodies H4-2-F6, H4-3-D10, and H4-3-E10 showed specific binding to their original epitope in VP_EC4. A slightly increased background signal could be noticed for VP_EC3. These cross-reactions for VP-EC3 and 4 could be explained by similar amino acids such as proline in both sequences.
All anti-E. coli O157:H7 mAbs showed no signal to the native VP without any epitope-engineered sequences. Similarly, no non-specific binding is detectable with the secondary goat anti-mouse IgG antibody coupled with HRP to epitope-engineered or native VPs. As a positive control, the anti-VP antibody P157 was used, which binds to all native and epitope-engineered VPs except the VP_EC5. Taking into account that VP_EC5 was not able to induce a proper immune reaction in mice, the protein could be somehow degraded or otherwise impaired so that the control antibody could not bind specifically.

4. Discussion

The generation of antibodies for the detection of MOs is associated with several issues. Identifying suitable hybridomas whose antibodies bind solely to strain-specific targets is extremely challenging. In particular, for MOs, it is difficult to identify species-specific epitopes due to a high overlap between highly conserved regions and the lack of appropriate cross-reactivity screens [19]. Screenings for suitable binders generally use ELISA/ELISPOT techniques and Western or dot blotting methods. However, these methods also possess certain disadvantages related to the purity of used components, unspecific binding to plastic, or the high levels of cross-reactivity between the strains. A flow cytometry approach is a useful and sensitive alternative to screen for potential binders due to its ability to gate on whole bacteria and identify mAbs that bind on cell surface-related targets [20]. In addition, flow cytometry staining of bacteria is a simple and reliable process.
In this study, we focused on the combination of three aspects to establish a comprehensive workflow for MO-specific mAbs—first, a bioinformatic one for the identification of unique and strain-specific epitopes, a second one for an epitope-specific immunization with engineered VPs, and a third one with a flow cytometry-based selection system for the identification of specific antibody-producing hybridomas.
For the bioinformatics analysis, we compared the genomes of eight indicator MOs that are commonly associated with contaminated drinking water [21], as well as the pan-genome of E. coli with the reference strain E. coli O157:H7. The panel of MOs used for this proof-of-concept study provides a valid database to demonstrate our workflow. However, for future applications, we would like to point out that the panel can still be adapted and extended.
To guarantee the accessibility of these epitopes, we combined several prediction and localization tools such as IEDB, PSORTb, and BioCyc. The combination of these different tools has already been proven in several studies to identify new vaccines against MOs [22,23].
The selected epitopes were cloned into our VP system, which allows a surface-related presentation of the epitope sequence on a virus-derived carrier protein. Another advantage of using such a system for immunization is a very rapid and specific immune response to the inserted epitopes, as shown in Figure 3 and Figure 7. Four out of five selected epitopes were able to induce a very specific titer within 4 weeks without the need of immunizing whole bacterial cell extracts and adjuvant. The use of inactivated bacteria or bacterial cell extracts for immunization is accompanied by certain pitfalls, as it was described earlier in van der Woude et al. 2011 [24]. Many bacterial species show phenotypic alterations dependent of their growth phase, culture media, or other environmental factors, which is influencing the presentation of specific epitope sequences. Using the bioinformatic workflow described in this study in combination with the VP system for immunization, a targeted and reliable induction of strain-specific mAbs can be achieved. Although we choose characterized and well-defined protein targets from E. coli in this pilot study, we postulate that by using structural prediction tools such as iTasser [25], it will be possible to select surface-related epitopes from less characterized target proteins as well. We previously started with the first experiments in this direction to see if our workflow is suitable for rare characterized targets as well.
In the next part of the study, we developed a bacteria-specific staining and sorting protocol for antibody-producing hybridomas based on the selection principle that was published recently [16]. In this method, we used our novel transgenic myeloma cell lines, which express an artificial cell surface marker. This marker allows an antigen- or isotype-specific screening of hybridomas by linking the produced antibody to the corresponding producing mother cell. This selection principle can be performed after two weeks of HAT selection and displays an innovative new technology to identify and select specific mAb-producing hybridomas. In comparison to conventional screening methods via ELISA and the limited dilution of cells, combined with existing problems of coating ELISA plates with whole microorganisms or unspecific binding to plastic, this new approach can turn the selection process into a highly efficient task. The setup enabled a selection of nearly 1 × 105 positive hybridomas specific for E. coli strain O157:H7 epitopes. For the fusion of EC4, we could select up to 75,000 specific hybridomas. From 55 monoclonals and 156 polyclonals plated on 96-well plates, 44 monoclonals and 154 polyclonals could be established as specific, which represents an optimal case. For the fusions EC2 and EC3, an output of 18% positive hybridoma cells could be achieved. With these results, we saw differences between the single epitopes and also the general instabilities after fusion and selection, but with this fast sorting, a high number of potential mAb candidates can be selected shortly and effectively. The obtained antibody candidates were further characterized for a possible cross-reactivity against other bacterial strains present in drinking water such as Legionella pneumophila, Bacillus ssp., and E. coli K12 [data not shown]. Except for H4-2-F6, which shows a slight cross-reactivity to L. pneumophila cells, all other antibody candidates were negative for tested bacterial species and solely positive for E. coli O157:H7. It has to be noted that E. coli K12 has coding genes for OmpG. However, previous studies have already shown that the expression is almost non-existent under laboratory conditions [26].
With the pilot approach shown in this study, the generation and selection of MO-specific antibodies seem to be a reliable and fast alternative without the necessity of using whole bacterial cell extracts or cell-based ELISA screenings. The generated antibodies could serve as potential candidates for POC systems in the field of food or drinking water analyses and are currently validated for upcoming developments.

Supplementary Materials

The following are available online at https://www.mdpi.com/article/10.3390/app11209359/s1, Table S1: Primer for VPs generation, Table S2: Overview of identified surface proteins related to bacterial strain E. coli O157:H7 EDL933.

Author Contributions

Conceptualization, M.G. and K.H.; methodology, M.G., M.L., A.S. and K.M.; software, M.G.; validation, M.G.; formal analysis, M.L. and M.G.; investigation, M.G.; resources, M.L.; data curation, A.H.; writing—original draft preparation, M.G. and K.H.; writing—review and editing, K.M.; visualization, M.G.; supervision, K.M.; project administration, K.H.; funding acquisition, K.H. All authors have read and agreed to the published version of the manuscript.

Funding

This research was funded by the EU directive StaF for universities in the state of Brandenburg (85009560).

Institutional Review Board Statement

The study was approved by the Ministry of Environment, Health and Consumer Production of the Federal State of Brandenburg, Germany (reference number V3-2347-A16-4-2012) and carried out in compliance with the ARRIVE guidelines.

Informed Consent Statement

Not applicable.

Data Availability Statement

The data presented in this study are available on request from the corresponding author. The data are not publicly available.

Conflicts of Interest

The corresponding author Katja Hanack is president and CEO of new/era/mabs. The co-author Anja Schlör is employed at new/era/mabs. The other authors declare no potential conflict of interest.

References

  1. Baker, C.A.; Rubinelli, P.M.; Park, S.H.; Ricke, S.C. Immuno-based detection of Shiga toxin-producing pathogenic Escherichia coli in food—A review on current approaches and potential strategies for optimization. Crit. Rev. Microbiol. 2016, 42, 656–675. [Google Scholar] [CrossRef]
  2. Borrebaeck, C.A. Antibodies in diagnostics—From immunoassays to protein chips. Immunol. Today 2000, 21, 379–382. [Google Scholar] [CrossRef]
  3. Posner, J.; Barrington, P.; Brier, T.; Datta-Mannan, A. Monoclonal Antibodies: Past, Present and Future. Handb. Exp. Pharmacol. 2019, 260, 81–141. [Google Scholar] [CrossRef]
  4. Nasseri, B.; Soleimani, N.; Rabiee, N.; Kalbasi, A.; Karimi, M.; Hamblin, M.R. Point-of-care microfluidic devices for pathogen detection. Biosens. Bioelectron. 2018, 117, 112–128. [Google Scholar] [CrossRef] [PubMed]
  5. Hanack, K.; Messerschmidt, K.; Listek, M. Antibodies and Selection of Monoclonal Antibodies. Adv. Exp. Med. Biol. 2016, 917, 11–22. [Google Scholar] [CrossRef] [PubMed]
  6. Motley, M.P.; Fries, B.C. A New Take on an Old Remedy: Generating Antibodies against Multidrug-Resistant Gram-Negative Bacteria in a Postantibiotic World. mSphere 2017, 2. [Google Scholar] [CrossRef] [PubMed] [Green Version]
  7. Sanjar, F.; Hazen, T.H.; Shah, S.M.; Koenig, S.S.K.; Agrawal, S.; Daugherty, S.; Sadzewicz, L.; Tallon, L.J.; Mammel, M.K.; Feng, P.; et al. Genome Sequence of Escherichia coli O157:H7 Strain 2886-75, Associated with the First Reported Case of Human Infection in the United States. Genome Announc. 2014, 2. [Google Scholar] [CrossRef] [PubMed] [Green Version]
  8. Eppinger, M.; Mammel, M.K.; Leclerc, J.E.; Ravel, J.; Cebula, T.A. Genomic anatomy of Escherichia coli O157:H7 outbreaks. Proc. Natl. Acad. Sci. USA 2011, 108, 20142–20147. [Google Scholar] [CrossRef] [PubMed] [Green Version]
  9. van Nevel, S.; Koetzsch, S.; Proctor, C.R.; Besmer, M.D.; Prest, E.I.; Vrouwenvelder, J.S.; Knezev, A.; Boon, N.; Hammes, F. Flow cytometric bacterial cell counts challenge conventional heterotrophic plate counts for routine microbiological drinking water monitoring. Water Res. 2017, 113, 191–206. [Google Scholar] [CrossRef] [Green Version]
  10. Chen, I.-M.A.; Chu, K.; Palaniappan, K.; Pillay, M.; Ratner, A.; Huang, J.; Huntemann, M.; Varghese, N.; White, J.R.; Seshadri, R.; et al. IMG/M v.5.0: An integrated data management and comparative analysis system for microbial genomes and microbiomes. Nucleic Acids Res. 2019, 47, D666–D677. [Google Scholar] [CrossRef]
  11. Karp, P.D.; Billington, R.; Caspi, R.; Fulcher, C.A.; Latendresse, M.; Kothari, A.; Keseler, I.M.; Krummenacker, M.; Midford, P.E.; Ong, Q.; et al. The BioCyc collection of microbial genomes and metabolic pathways. Brief. Bioinform. 2019, 20, 1085–1093. [Google Scholar] [CrossRef] [PubMed]
  12. Brocchieri, L.; Karlin, S. Protein length in eukaryotic and prokaryotic proteomes. Nucleic Acids Res. 2005, 33, 3390–3400. [Google Scholar] [CrossRef] [PubMed] [Green Version]
  13. Yu, N.Y.; Wagner, J.R.; Laird, M.R.; Melli, G.; Rey, S.; Lo, R.; Dao, P.; Sahinalp, S.C.; Ester, M.; Foster, L.J.; et al. PSORTb 3.0: Improved protein subcellular localization prediction with refined localization subcategories and predictive capabilities for all prokaryotes. Bioinformatics 2010, 26, 1608–1615. [Google Scholar] [CrossRef]
  14. Vita, R.; Mahajan, S.; Overton, J.A.; Dhanda, S.K.; Martini, S.; Cantrell, J.R.; Wheeler, D.K.; Sette, A.; Peters, B. The Immune Epitope Database (IEDB): 2018 update. Nucleic Acids Res. 2019, 47, D339–D343. [Google Scholar] [CrossRef] [PubMed] [Green Version]
  15. Lütkecosmann, S.; Warsinke, A.; Tschöpe, W.; Eichler, R.; Hanack, K. A novel monoclonal antibody suitable for the detection of leukotriene B4. Biochem. Biophys. Res. Commun. 2017, 482, 1054–1059. [Google Scholar] [CrossRef]
  16. Listek, M.; Hönow, A.; Gossen, M.; Hanack, K. A novel selection strategy for antibody producing hybridoma cells based on a new transgenic fusion cell line. Sci. Rep. 2020, 10, 1664. [Google Scholar] [CrossRef] [Green Version]
  17. Choudhury, D.; Thompson, A.; Stojanoff, V.; Langerman, S.; Pinkner, J.; Hultgren, S.J.; Knight, S. X-ray structure of the FimC-FimH chaperone-adhesin complex from uropathogenic Escherichia coli. Science 1999, 285. [Google Scholar] [CrossRef]
  18. Subbarao, G.V.; van den Berg, B. Crystal structure of the monomeric porin OmpG. J. Mol. Biol. 2006, 360, 750–759. [Google Scholar] [CrossRef]
  19. Moor, K.; Fadlallah, J.; Toska, A.; Sterlin, D.; Balmer, M.L.; Macpherson, A.J.; Gorochov, G.; Larsen, M.; Slack, E. Analysis of bacterial-surface-specific antibodies in body fluids using bacterial flow cytometry. Nat. Protoc. 2016, 11, 1531–1553. [Google Scholar] [CrossRef]
  20. Duensing, T.D.; Watson, S.R. Antibody Screening Using High-Throughput Flow Cytometry. Cold Spring Harb. Protoc. 2018, 2018. [Google Scholar] [CrossRef]
  21. National Research Council (US) Subcommittee on Microbiological Criteria. Selection of Indicator Organisms and Agents as Components of Microbiological Criteria. In An Evaluation of the Role of Microbiological Criteria for Foods and Food Ingredients; National Research Council Subcommittee on Microbiological Criteria, Ed.; National Academies Press: Washington, DC, USA, 1985. [Google Scholar]
  22. Michalik, M.; Djahanshiri, B.; Leo, J.C.; Linke, D. Reverse Vaccinology: The Pathway from Genomes and Epitope Predictions to Tailored Recombinant Vaccines. Methods Mol. Biol. 2016, 1403, 87–106. [Google Scholar] [CrossRef] [PubMed]
  23. Pritam, M.; Singh, G.; Swaroop, S.; Singh, A.K.; Singh, S.P. Exploitation of reverse vaccinology and immunoinformatics as promising platform for genome-wide screening of new effective vaccine candidates against Plasmodium falciparum. BMC Bioinform. 2019, 19, 468. [Google Scholar] [CrossRef] [Green Version]
  24. van der Woude, M.W. Phase variation: How to create and coordinate population diversity. Curr. Opin. Microbiol. 2011, 14, 205–211. [Google Scholar] [CrossRef] [PubMed]
  25. Yang, J.; Yan, R.; Roy, A.; Xu, D.; Poisson, J.; Zhang, Y. The I-TASSER Suite: Protein structure and function prediction. Nat. Methods 2015, 12, 7–8. [Google Scholar] [CrossRef] [PubMed] [Green Version]
  26. Fajardo, D.A.; Cheung, J.; Ito, C.; Sugawara, E.; Nikaido, H.; Misra, R. Biochemistry and regulation of a novel Escherichia coli K-12 porin protein, OmpG, which produces unusually large channels. J. Bacteriol. 1998, 180, 4452–4459. [Google Scholar] [CrossRef] [Green Version]
Figure 1. Schematic representation of the workflow for generating specific antibodies targeting a particular bacteria strain of interest.
Figure 1. Schematic representation of the workflow for generating specific antibodies targeting a particular bacteria strain of interest.
Applsci 11 09359 g001
Figure 2. Schematic representation of the workflow for the generation of monoclonal antibodies specific for E. coli O157:H7 using bioinformatic epitope prediction in combination with novel immunization and selection tools.
Figure 2. Schematic representation of the workflow for the generation of monoclonal antibodies specific for E. coli O157:H7 using bioinformatic epitope prediction in combination with novel immunization and selection tools.
Applsci 11 09359 g002
Figure 3. Overview of the five selected epitopes and their induced immune response. Five epitopes with their amino acid sequences and their location on the target protein (red) were shown using PyMOL. The crystal structure of the target proteins is received from the PDB database. The protein surface of the outer membrane porin G (PDB: 2iwv), as well as FimH together with FimC (orange) (PDB: 1QUN), is shown in green. The serum of the immunized mice was tested for epitope-engineered VPs in ELISA. The signals were detected with an anti-mouse coupled HRP antibody and measured at 488 nm. Furthermore, inactivated E. coli O157:H7 cells were stained with sera (1:100, green) and measured in flow cytometry. We used polyclonal PE-conjugated goat anti-mouse Ab for detection. A polyclonal rabbit anti-E. coli antibody (dark gray) served as a positive control. As a negative control (light gray), the cells were stained with the detection antibody only.
Figure 3. Overview of the five selected epitopes and their induced immune response. Five epitopes with their amino acid sequences and their location on the target protein (red) were shown using PyMOL. The crystal structure of the target proteins is received from the PDB database. The protein surface of the outer membrane porin G (PDB: 2iwv), as well as FimH together with FimC (orange) (PDB: 1QUN), is shown in green. The serum of the immunized mice was tested for epitope-engineered VPs in ELISA. The signals were detected with an anti-mouse coupled HRP antibody and measured at 488 nm. Furthermore, inactivated E. coli O157:H7 cells were stained with sera (1:100, green) and measured in flow cytometry. We used polyclonal PE-conjugated goat anti-mouse Ab for detection. A polyclonal rabbit anti-E. coli antibody (dark gray) served as a positive control. As a negative control (light gray), the cells were stained with the detection antibody only.
Applsci 11 09359 g003
Figure 4. Establishment of a staining protocol for the sorting of specific antibody-producing hybridomas for the antigen E. coli O157:H7. Illustrated are the schematic sorting assembly and their flow cytometric measurements. The dot plot shows the live–dead marker 7AAD against the PE signal. (a) Detection of the antibody capture matrix on transgenic myeloma cells. (b) The sorting approach without the secreted antibody (imitated by the mouse serum). (ce) Sorting approach without the antigen E. coli O157:H7, rabbit anti-E. coli Ab, or the antibody capture matrix. (f) Overall structure of the final sorting approach. The cells have an antibody capture matrix. The secreted antibody of the hybridoma cell is imitated by the VP-EC3 mouse serum. Inactivated E. coli O157:H7 cells represent the antigen. The antigen is bound by the polyclonal rabbit anti-E. coli antibody, which in turn is detected by the polyclonal goat anti-rabbit antibody coupled to PE.
Figure 4. Establishment of a staining protocol for the sorting of specific antibody-producing hybridomas for the antigen E. coli O157:H7. Illustrated are the schematic sorting assembly and their flow cytometric measurements. The dot plot shows the live–dead marker 7AAD against the PE signal. (a) Detection of the antibody capture matrix on transgenic myeloma cells. (b) The sorting approach without the secreted antibody (imitated by the mouse serum). (ce) Sorting approach without the antigen E. coli O157:H7, rabbit anti-E. coli Ab, or the antibody capture matrix. (f) Overall structure of the final sorting approach. The cells have an antibody capture matrix. The secreted antibody of the hybridoma cell is imitated by the VP-EC3 mouse serum. Inactivated E. coli O157:H7 cells represent the antigen. The antigen is bound by the polyclonal rabbit anti-E. coli antibody, which in turn is detected by the polyclonal goat anti-rabbit antibody coupled to PE.
Applsci 11 09359 g004
Figure 5. Results of the fusions with VP-EC2, VP-EC3, and VP-EC4. The fusions with the corresponding results of the tested monoclones and polyclones are listed here. The number of sorted cells is presented in red. Only cells from the hybridoma cell pool that showed a high PE signal were sorted. The sorted cells were cultured for 2 days, separated, and then tested for antigen-specific antibodies in flow cytometry.
Figure 5. Results of the fusions with VP-EC2, VP-EC3, and VP-EC4. The fusions with the corresponding results of the tested monoclones and polyclones are listed here. The number of sorted cells is presented in red. Only cells from the hybridoma cell pool that showed a high PE signal were sorted. The sorted cells were cultured for 2 days, separated, and then tested for antigen-specific antibodies in flow cytometry.
Applsci 11 09359 g005
Figure 6. Characterization of the mAbs against E. coli O157:H7, Legionella pneumophila and Bacillus spp. for antibody binding and cross-reactivity. Antibody binding was measured in flow cytometry (green). Two million cells were stained with 10 µg/mL of H4-3-E10, H4-3-D10, or H4-2-6 in MACS buffer. For H3-2-B8 and H3-3-G1, undiluted culture supernatants were used for the staining. As positive control (dark gray), a polyclonal rabbit anti-E. coli Ab was used for E. coli O157:H7 and a mouse anti-Legionella pneumophila Ab was used for Legionella pneumophila. For Bacillus spp., there is no specific antibody available for flow cytometry measurements. The negative controls (light gray) are stainings only with the PE coupled detection antibody.
Figure 6. Characterization of the mAbs against E. coli O157:H7, Legionella pneumophila and Bacillus spp. for antibody binding and cross-reactivity. Antibody binding was measured in flow cytometry (green). Two million cells were stained with 10 µg/mL of H4-3-E10, H4-3-D10, or H4-2-6 in MACS buffer. For H3-2-B8 and H3-3-G1, undiluted culture supernatants were used for the staining. As positive control (dark gray), a polyclonal rabbit anti-E. coli Ab was used for E. coli O157:H7 and a mouse anti-Legionella pneumophila Ab was used for Legionella pneumophila. For Bacillus spp., there is no specific antibody available for flow cytometry measurements. The negative controls (light gray) are stainings only with the PE coupled detection antibody.
Applsci 11 09359 g006
Figure 7. Specific epitope binding of the mAbs to the epitope-engineered VPs. The mAb binding to epitope-engineered VPs with integrated epitopes was measured in immunoassays. Per well, 50 µL of a 5 µg/mL VP solution was coated overnight. The wells were washed, blocked with PBS/NKS (5%), and incubated for 1 h with 5 µg/mL Ab solution. Again, the wells were washed and incubated with HRP-conjugated goat anti-mouse Ab for 30 min. The signals were measured at 450 nm 15 min after adding TMB substrate. The P157 (anti-VP) mAb was used as a positive control. n = 3. * p < 0.05, *** p < 0.001 compared to the control group by one-way-ANOVA.
Figure 7. Specific epitope binding of the mAbs to the epitope-engineered VPs. The mAb binding to epitope-engineered VPs with integrated epitopes was measured in immunoassays. Per well, 50 µL of a 5 µg/mL VP solution was coated overnight. The wells were washed, blocked with PBS/NKS (5%), and incubated for 1 h with 5 µg/mL Ab solution. Again, the wells were washed and incubated with HRP-conjugated goat anti-mouse Ab for 30 min. The signals were measured at 450 nm 15 min after adding TMB substrate. The P157 (anti-VP) mAb was used as a positive control. n = 3. * p < 0.05, *** p < 0.001 compared to the control group by one-way-ANOVA.
Applsci 11 09359 g007
Table 1. Selection of common microorganisms occurring in drinking water for bioinformatic analysis.
Table 1. Selection of common microorganisms occurring in drinking water for bioinformatic analysis.
Microorganism StrainGenome Source
E. coli O157:H7 str. EDL933NZ_CP015855.1
Legionella pneumophila subsp. pneumophila str. Philadelphia 1NC_002942.5
Salmonella enterica C629NZ_CP015724.1
Campylobacter jejuni 4031NC_022529.1
Proteus mirabilis HI4320NC_010554.1
Klebsiella aerogenes KCTC 2190NC_015663.1
Serratia marcescens subsp. marcescens Db11NZ_HG326223.1
Pseudomonas aeruginosa PAO1NC_002516.2
Staphylococcus aureus subsp. aureus NCTC 8325NC_007795.1
Escherichia coli pan-genomeBioCyc version 25.0
Table 2. Predicted linear B-cell epitopes selected based on their antigenicity and surface accessibility score.
Table 2. Predicted linear B-cell epitopes selected based on their antigenicity and surface accessibility score.
Protein NameLinear B-Cell Epitope PredictionKolaskar and Tongaonkar Antigenicity ScoreEmini Surface Accessibility Score
FimHNVYVNLAPVVNV1.1480.161
SAYGGVLSNFSG1.0320.269
YLTPVSSAGG1.0880.246
PGSVPIPLTVYC1.4440.162
PANNTVSLGAVG1.0360.3
OmpGNVEGYGEDMDGL0.9540.517
GPVDYSAGKRGT0.990.931
HYVDEPGKDT1.022.234
ANMQRWKIA0.9530.922
NTTGYADTRVET0.9571.921
FNMDDSRNNGEF1.0891.618
SNWDWQDDIERE0.9093.308
WQDHDEGDSDK0.9163.204
Publisher’s Note: MDPI stays neutral with regard to jurisdictional claims in published maps and institutional affiliations.

Share and Cite

MDPI and ACS Style

Göthel, M.; Listek, M.; Messerschmidt, K.; Schlör, A.; Hönow, A.; Hanack, K. A New Workflow to Generate Monoclonal Antibodies against Microorganisms. Appl. Sci. 2021, 11, 9359. https://doi.org/10.3390/app11209359

AMA Style

Göthel M, Listek M, Messerschmidt K, Schlör A, Hönow A, Hanack K. A New Workflow to Generate Monoclonal Antibodies against Microorganisms. Applied Sciences. 2021; 11(20):9359. https://doi.org/10.3390/app11209359

Chicago/Turabian Style

Göthel, Markus, Martin Listek, Katrin Messerschmidt, Anja Schlör, Anja Hönow, and Katja Hanack. 2021. "A New Workflow to Generate Monoclonal Antibodies against Microorganisms" Applied Sciences 11, no. 20: 9359. https://doi.org/10.3390/app11209359

APA Style

Göthel, M., Listek, M., Messerschmidt, K., Schlör, A., Hönow, A., & Hanack, K. (2021). A New Workflow to Generate Monoclonal Antibodies against Microorganisms. Applied Sciences, 11(20), 9359. https://doi.org/10.3390/app11209359

Note that from the first issue of 2016, this journal uses article numbers instead of page numbers. See further details here.

Article Metrics

Back to TopTop