Adsorption of Anionic Dyes from Wastewater onto Magnetic Nanocomposite Powders Synthesized by Combustion Method
Abstract
:1. Introduction
2. Materials and Methods
2.1. Materials
2.2. Synthesis of Magnetic Nanocomposites
2.3. Characterization Methods
2.4. Adsorption Experiments
3. Results and Discussion
3.1. Structural Characterization of the Magnetic Nanocomposites
3.1.1. X-ray Diffraction (XRD)
3.1.2. Fourier Transform Infrared (FT-IR) Spectroscopy
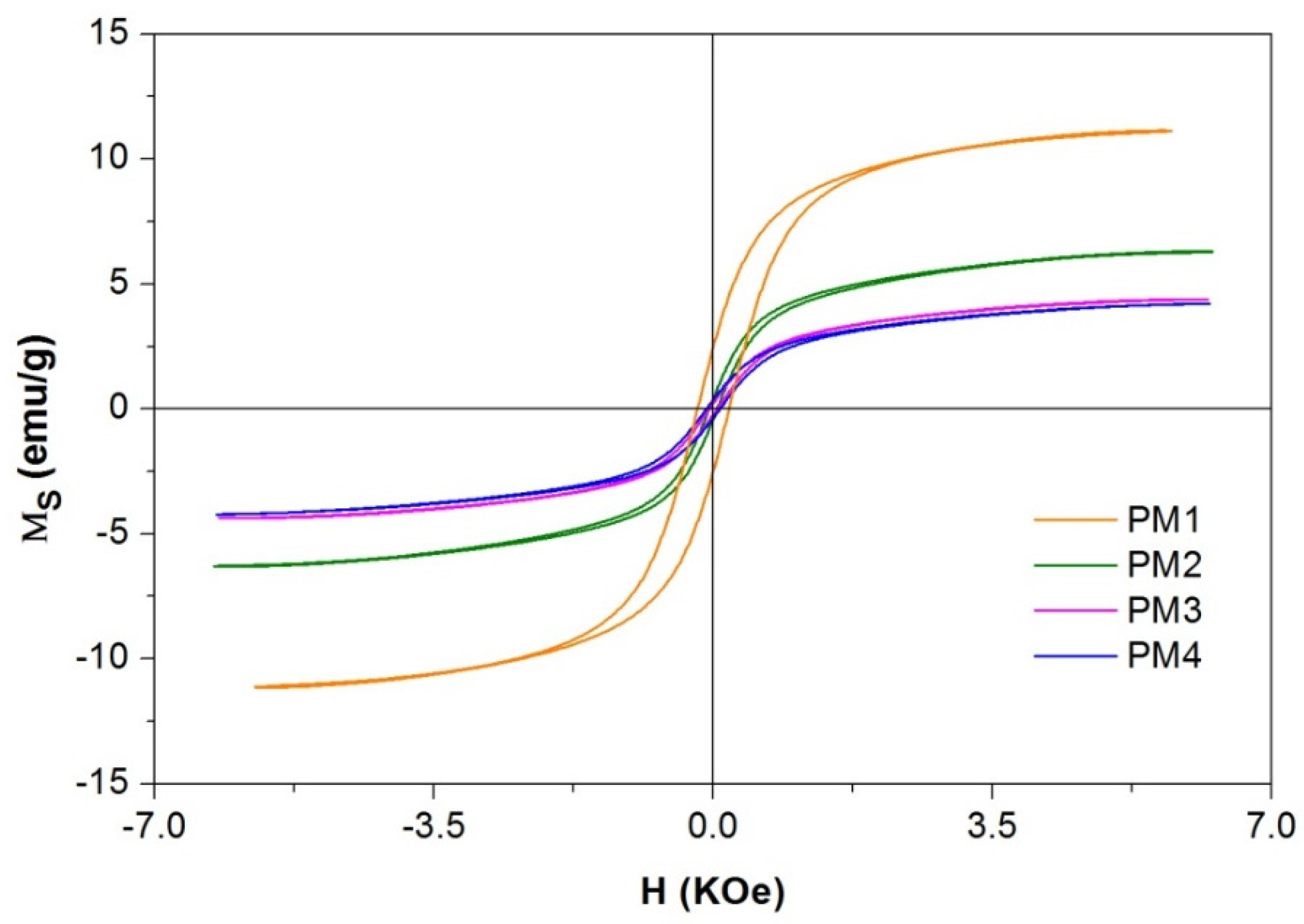
3.1.3. Magnetic Properties of Magnetic Nanocomposites
3.1.4. N2 Adsorption–Desorption Isotherms
3.1.5. Thermal Analysis of Magnetic Nanocomposites
3.1.6. SEM Characterization of Magnetic Nanocomposites
3.2. Adsorption Experiments
3.2.1. Effect of pH on the Adsorption Process
3.2.2. Effect of Adsorbent Dose on the Adsorption Process
3.2.3. Effect of Concentration on the Adsorption Process
3.2.4. Effect of Temperature on the Adsorption Process
3.3. Kinetic Studies of Adsorption
3.4. Adsorption Isotherms
3.5. Thermodynamics of the Adsorption Process
4. Conclusions
Author Contributions
Funding
Institutional Review Board Statement
Informed Consent Statement
Data Availability Statement
Acknowledgments
Conflicts of Interest
References
- Mani, S.; Chowdhary, P.; Bharagava, R.N. Chapter 11: Textile Wastewater Dyes: Toxicity Profile and Treatment Approaches. In Emerging and Eco-Friendly Approaches for Waste Management; Bharagava, R.N., Chowdhary, P., Eds.; Springer Nature Singapore Pte Ltd.: Singapore, 2019; pp. 219–244. [Google Scholar] [CrossRef]
- Samsami, S.; Mohamadizaniani, M.; Sarrafzadeh, M.-H.; Rene, E.R.; Firoozbahr, M. Recent advances in the treatment of dye-containing wastewater from textile industries: Overview and perspectives. Process. Saf. Environ. Prot. 2020, 143, 138–163. [Google Scholar] [CrossRef]
- Lellis, B.; Fávaro-Polonio, C.Z.; Pamphile, J.A.; Polonio, J.C. Effects of textile dyes on health and the environment and bioremediation potential of living organisms. Biotechnol. Res. Innov. 2019, 3, 275–290. [Google Scholar] [CrossRef]
- Pereira, L.; Alves, M. Chapter 4: Dyes—Environmental Impact and Remediation. In Environmental Protection Strategies for Sustainable Development, Strategies for Sustainability; Malik, A., Grohmann, E., Eds.; Springer Science + Business Media B.V.: Dordrecht, The Netherlands, 2012; pp. 111–154. [Google Scholar]
- Al Prol, A.E. Study of Environmental Concerns of Dyes and Recent Textile Effluents Treatment Technology: A Review. Asian J. Fish. Aquat. Res. 2019, 1–18. [Google Scholar] [CrossRef]
- Toprak, T.; Anis, P. Textile Industry’s Environmental Effects and Approaching Cleaner Production and Sustainability: An Overview. J. Text. Eng. Fash. Technol. 2017, 2, 1–16. [Google Scholar] [CrossRef] [Green Version]
- An, S.; Liu, X.; Yang, L.; Zhang, L. Enhancement removal of crystal violet dye using magnetic calcium ferrite nanoparticle: Study in single- and binary-solute systems. Chem. Eng. Res. Des. 2014, 94, 726–735. [Google Scholar] [CrossRef]
- Yang, S.; Wu, Z.; Huang, L.; Zhou, B.; Lei, M.; Sun, L.; Tian, Q.; Pan, J.; Wu, W.; Zhang, H. Significantly enhanced dye removal performance of hollow tin oxide nanoparticles via carbon coating in dark environment and study of its mechanism. Nanoscale Res. Lett. 2014, 9, 442. [Google Scholar] [CrossRef] [Green Version]
- Zhou, Z.; Lin, S.; Yue, T.; Lee, T.-C. Adsorption of food dyes from aqueous solution by glutaraldehyde cross-linked magnetic chitosan nanoparticles. J. Food Eng. 2014, 126, 133–141. [Google Scholar] [CrossRef]
- Mohamed, A.H.; Ahmed El, N. Health and Environmental Impacts of Dyes: Mini Review. Am. J. Environ. Sci. 2017, 1, 64–67. [Google Scholar] [CrossRef]
- Manzoor, J.; Sharma, M. Chapter 8: Impact of Textile Dyes on Human Health and Environment. In Impact of Textile Dyes on Public Health and the Environment; IGI Global: Hershey, PA, USA, 2020; pp. 162–170. [Google Scholar]
- Ismail, M.; Akhtar, K.; Khan, M.; Kamal, T.; Asiri, A.M.; Seo, J.; Khan, S.B. Pollution, Toxicity and Carcinogenicity of Organic Dyes and their Catalytic Bio-Remediation. Curr. Pharm. Des. 2019, 25, 3645–3663. [Google Scholar] [CrossRef]
- Katheresan, V.; Kansedo, J.; Lau, S.Y. Efficiency of various recent wastewater dye removal methods: A review. J. Environ. Chem. Eng. 2018, 6, 4676–4697. [Google Scholar] [CrossRef]
- Muntean, S.G.; Nistor, M.A.; Muntean, E.; Todea, A.; Ianoș, R.; Păcurariu, C. Removal of Colored Organic Pollutants from Wastewaters by Magnetite/Carbon Nanocomposites: Single and Binary Systems. J. Chem. 2018, 2018, 1–16. [Google Scholar] [CrossRef] [Green Version]
- Kuang, Y.; Zhang, X.; Zhou, S. Adsorption of Methylene Blue in Water onto Activated Carbon by Surfactant Modification. Water 2020, 12, 587. [Google Scholar] [CrossRef] [Green Version]
- Yagub, M.T.; Sen, T.K.; Afroze, S.; Ang, H. Dye and its removal from aqueous solution by adsorption: A review. Adv. Colloid Interface Sci. 2014, 209, 172–184. [Google Scholar] [CrossRef] [PubMed]
- Garrido-Cardenas, J.A.; Esteban-García, B.; Agüera, A.; Sánchez-Pérez, J.A.; Manzano-Agugliaro, F. Wastewater Treatment by Advanced Oxidation Process and Their Worldwide Research Trends. Int. J. Environ. Res. Public Health 2019, 17, 170. [Google Scholar] [CrossRef] [Green Version]
- Lin, L.; Jiang, W.; Chen, L.; Xu, P.; Wang, H. Treatment of Produced Water with Photocatalysis: Recent Advances, Affecting Factors and Future Research Prospects. Catalysts 2020, 10, 924. [Google Scholar] [CrossRef]
- Rashidi, H.R.; Sulaiman, N.M.N.; Hashim, N.A.; Hassan, C.R.C.; Ramli, M.R. Synthetic reactive dye wastewater treatment by using nano-membrane filtration. Desalin. Water Treat. 2014, 55, 86–95. [Google Scholar] [CrossRef] [Green Version]
- Das, K.C.; Das, B.; Dhar, S.S. Effective Catalytic Degradation of Organic Dyes by Nickel Supported on Hydroxyapatite-Encapsulated Cobalt Ferrite (Ni/HAP/CoFe2O4) Magnetic Novel Nanocomposite. Water Air Soil Pollut. 2020, 231, 1–13. [Google Scholar] [CrossRef]
- Gadekar, M.R.; Ahammed, M.M. Coagulation/flocculation process for dye removal using water treatment residuals: Modelling through artificial neural networks. Desalin. Water Treat. 2016, 57, 26392–26400. [Google Scholar] [CrossRef]
- Abid, M.F.; Zablouk, M.A.; Abid-Alameer, A.M. Experimental study of dye removal from industrial wastewater by membrane technologies of reverse osmosis and nanofiltration. Iran. J. Environ. Health Sci. Eng. 2012, 9, 17. [Google Scholar] [CrossRef] [PubMed] [Green Version]
- Jamee, R.; Siddique, R. Biodegradation of synthetic dyes of textile effluent by microorganisms: An environmentally and economically sustainable approach. Eur. J. Microbiol. Immunol. 2019, 9, 114–118. [Google Scholar] [CrossRef]
- Crini, G.; Lichtfouse, E. Advantages and disadvantages of techniques used for wastewater treatment. Environ. Chem. Lett. 2018, 17, 145–155. [Google Scholar] [CrossRef]
- Crini, G.; Lichtfouse, E. Chapter1: Wastewater Treatment: An Overview. In Green Adsorbents for Pollutant Removal, Environmental Chemistry for a Sustainable World; Springer Nature: Cham, Switzerland, 2018; Volume 18, pp. 1–21. [Google Scholar] [CrossRef]
- Corda, N.C.; Kini, M.S. A Review on Adsorption of Cationic Dyes using Activated Carbon. MATEC Web Conf. 2018, 144, 02022. [Google Scholar] [CrossRef]
- Abukhadra, M.R.; Mohamed, A.S. Adsorption Removal of Safranin Dye Contaminants from Water Using Various Types of Natural Zeolite. Silicon 2018, 11, 1635–1647. [Google Scholar] [CrossRef]
- Nicola, R.; Costişor, O.; Muntean, S.G.; Nistor, M.-A.; Putz, A.-M.; Ianăşi, C.; Lazău, R.; Almasy, L.; Săcărescu, L. Mesoporous magnetic nanocomposites: A promising adsorbent for the removal of dyes from aqueous solutions. J. Porous Mater. 2019, 27, 413–428. [Google Scholar] [CrossRef]
- Nistor, M.A.; Muntean, S.G.; Maranescu, B.; Visa, A. Phosphonate metal–organic frameworks used as dye removal materials from wastewaters. Appl. Organomet. Chem. 2020, 34. [Google Scholar] [CrossRef]
- Şen, F.; Demirbaş, Ö.; Çalımlı, M.H.; Aygun, A.; Alma, M.H.; Nas, M.S. The dye removal from aqueous solution using polymer composite films. Appl. Water Sci. 2018, 8, 206. [Google Scholar] [CrossRef] [Green Version]
- Adegoke, K.A.; Bello, O.S. Dye sequestration using agricultural wastes as adsorbents. Water Resour. Ind. 2015, 12, 8–24. [Google Scholar] [CrossRef] [Green Version]
- Ge, M.; Xi, Z.; Zhu, C.; Liang, G.; Hu, G.; Jamal, L.; Alam, S.M.J. Preparation and Characterization of Magadiite–Magnetite Nanocomposite with Its Sorption Performance Analyses on Removal of Methylene Blue from Aqueous Solutions. Polymers 2019, 11, 607. [Google Scholar] [CrossRef] [PubMed] [Green Version]
- Ianos, R.; Păcurariu, C.; Muntean, S.G.; Muntean, E.; Nistor, M.A.; Nižňanský, D. Combustion synthesis of iron oxide/carbon nanocomposites, efficient adsorbents for anionic and cationic dyes removal from wastewaters. J. Alloy. Compd. 2018, 741, 1235–1246. [Google Scholar] [CrossRef]
- Liu, Y.; Huang, Y.; Xiao, A.; Qiu, H.; Liu, L. Preparation of Magnetic Fe3O4/MIL-88A Nanocomposite and Its Adsorption Properties for Bromophenol Blue Dye in Aqueous Solution. Nanomaterials 2019, 9, 51. [Google Scholar] [CrossRef] [Green Version]
- Muntean, S.G.; Nistor, M.A.; Ianos, R.; Păcurariu, C.; Căpraru, A.; Surdu, V.-A. Combustion synthesis of Fe3O4/Ag/C nanocomposite and application for dyes removal from multicomponent systems. Appl. Surf. Sci. 2019, 481, 825–837. [Google Scholar] [CrossRef]
- Parashar, M.; Shukla, V.K.; Singh, R. Metal oxides nanoparticles via sol–gel method: A review on synthesis, characterization and applications. J. Mater. Sci. Mater. Electron. 2020, 31, 3729–3749. [Google Scholar] [CrossRef]
- Luo, S.; Wang, R.; Yin, J.; Jiao, T.; Chen, K.; Zou, G.; Zhang, L.; Zhou, J.; Zhang, L.; Peng, Q. Preparation and Dye Degradation Performances of Self-Assembled MXene-Co3O4 Nanocomposites Synthesized via Solvothermal Approach. ACS Omega 2019, 4, 3946–3953. [Google Scholar] [CrossRef] [Green Version]
- Chen, M.; Shao, L.-L.; Li, J.-J.; Pei, W.-J.; Chen, M.-K.; Xie, X.-H. One-step hydrothermal synthesis of hydrophilic Fe3O4/carbon composites and their application in removing toxic chemicals. RSC Adv. 2016, 6, 35228–35238. [Google Scholar] [CrossRef]
- Alotaibi, N.; Hammud, H.H.; Karnati, R.K.; Hussain, S.G.; Mazher, J.; Prakasam, T. Cobalt–carbon/silica nanocomposites prepared by pyrolysis of a cobalt 2,2′-bipyridine terephthalate complex for remediation of cationic dyes. RSC Adv. 2020, 10, 17660–17672. [Google Scholar] [CrossRef]
- Yazdani, F.; Seddigh, M. Magnetite nanoparticles synthesized by co-precipitation method: The effects of various iron anions on specifications. Mater. Chem. Phys. 2016, 184, 318–323. [Google Scholar] [CrossRef]
- Păcurariu, C.; Paşka, O.; Ianoş, R.; Muntean, S.G. Effective removal of methylene blue from aqueous solution using a new magnetic iron oxide nanosorbent prepared by combustion synthesis. Clean Technol. Environ. Policy 2015, 18, 705–715. [Google Scholar] [CrossRef]
- Ianos̗, R.; Păcurariu, C.; Mihoc, G. Magnetite/carbon nanocomposites prepared by an innovative combustion synthesis technique—Excellent adsorbent materials. Ceram. Int. 2014, 40, 13649–13657. [Google Scholar] [CrossRef]
- Mihoc, G.; Ianos, R.; Păcurariu, C.; Lazău, I. Combustion synthesis of some iron oxides used as adsorbents for phenol and p-chlorophenol removal from wastewater. J. Therm. Anal. Calorim. 2012, 112, 391–397. [Google Scholar] [CrossRef]
- Ercuta, A.; Chirita, M. Highly crystalline porous magnetite and vacancy-ordered maghemite microcrystals of rhombohedral habit. J. Cryst. Growth 2013, 380, 182–186. [Google Scholar] [CrossRef]
- Rodrigues, S.C.; Silva, M.C.; Torres, J.A.; Bianchi, M.L. Use of Magnetic Activated Carbon in a Solid Phase Extraction Procedure for Analysis of 2,4-dichlorophenol in Water Samples. Water Air Soil Pollut. 2020, 231, 1–13. [Google Scholar] [CrossRef]
- Torres, J.; Silva, M.; Lopes, J.H.; Nogueira, A.; Nogueira, F.; Corrêa, A. Development of a reusable and sustainable biocatalyst by immobilization of soybean peroxidase onto magnetic adsorbent. Int. J. Biol. Macromol. 2018, 114, 1279–1287. [Google Scholar] [CrossRef]
- Amargeetha, A.; Velavan, S. X-ray Diffraction (XRD) and Energy Dispersive Spectroscopy (EDS) Analysis of Silver Nanoparticles Synthesized from Erythrina Indica Flowers. Nanosci. Technol. Open Access 2018, 5, 1–5. [Google Scholar] [CrossRef]
- Liese, H.C. Mineralogical notes. An infrared absorption analysis of magnetite. Am. Mineral. 1967, 52, 1198–1205. [Google Scholar]
- Kim, K.D.; Kim, S.S.; Choa, Y.H.; Kim, H.T. Formation and surface modification of Fe3O4 nanoparticles by co-precipitation and sol–gel method. J. Ind. Eng. Chem. 2007, 13, 1137–1141. [Google Scholar]
- Kahani, S.A.; Hamadanian, M.; Vandadi, O. Deposition of Magnetite Nanoparticles in Activated Carbons and Preparation of Magnetic Activated Carbons. AIP Conf. Proc. 2007, 929, 183–188. [Google Scholar] [CrossRef] [Green Version]
- Fuente, E.; Menéndez, J.A.; Diez, M.A.; Suarez, D.; Montes-Moran, M.A. Infrared Spectroscopy of Carbon Materials: A Quantum Chemical Study of Model Compounds. J. Phys. Chem. B 2003, 107, 6350–6359. [Google Scholar] [CrossRef]
- Yang, C.; Wöll, C. IR spectroscopy applied to metal oxide surfaces: Adsorbate vibrations and beyond. Adv. Phy. X 2017, 2, 373–408. [Google Scholar] [CrossRef]
- Li, Y.-S.; Church, J.S.; Woodhead, A. Infrared and Raman spectroscopic studies on iron oxide magnetic nano-particles and their surface modifications. J. Magn. Magn. Mater. 2012, 324, 1543–1550. [Google Scholar] [CrossRef]
- Shepel, D.; Goreacioc, T.; Lupascu, T.; Filippov, M.; Rusu, M. Method of Infrared Spectra Registration of Activated Carbons in Potassium Bromide Pellets. Chem. J. Mold. 2015, 10, 113–115. [Google Scholar] [CrossRef]
- Zawadzki, J. Infrared spectroscopy in surface chemistry of carbons. In Chemistry and Physics of Carbon; Thrower, P.A., Ed.; Marcel Dekker: New York, NY, USA, 1989; Volume 21, pp. 147–380. [Google Scholar]
- Thommes, M.; Kaneko, K.; Neimark, A.V.; Olivier, J.P.; Rodriguez-Reinoso, F.; Rouquerol, J.; Sing, K.S. Physisorption of gases, with special reference to the evaluation of surface area and pore size distribution (IUPAC Technical Report). Pure Appl. Chem. 2015, 87, 1051–1069. [Google Scholar] [CrossRef] [Green Version]
- Alhujaily, A.; Yu, H.; Zhang, X.; Ma, F. Adsorptive removal of anionic dyes from aqueous solutions using spent mushroom waste. Appl. Water Sci. 2020, 10, 1–12. [Google Scholar] [CrossRef]
- Nazir, R.; Khan, M.; Rehman, R.U.; Shujah, S.; Khan, M.; Ullah, M.; Zada, A.; Mahmood, N.; Ahmad, I. Adsorption of selected azo dyes from an aqueous solution by activated carbon derived from Monotheca buxifolia waste seeds. Soil Water Res. 2020, 15, 166–172. [Google Scholar] [CrossRef]
- Muntean, S.G.; Rădulescu-Grad, M.E.; Sfarloaga, P. Dye adsorbed on copolymer, possible specific sorbent for metal ions removal. RSC Adv. 2014, 4, 27354–27362. [Google Scholar] [CrossRef]
- Muntean, S.G.; Paska, O.; Coseri, S.; Simu, G.M.; Grad, M.E.; Ilia, G. Evaluation of a functionalized copolymer as adsorbent on direct dyes removal process: Kinetics and equilibrium studies. J. Appl. Polym. Sci. 2012, 127, 4409–4421. [Google Scholar] [CrossRef]
- Muntean, S.G.; Szabadai, Z.; Halip, L. Investigation of aggregation behavior using computational methods and absorption spectra for trisazo direct dyes. Struct. Chem. 2015, 27, 1049–1059. [Google Scholar] [CrossRef]
- Muntean, S.G.; Simu, G.M.; Kurunczi, L.; Szabadai, Z. Investigation of the aggregation of three disazo direct dyes by UV-Vis Spectroscopy and mathematical analysis. Rev. Chim. (Buchar.) 2009, 60, 152–156. [Google Scholar]
- Lagergren, S. Zur theorie der sogenannten adsorption geloster stoffe. K.-Sven. Vetenskapsakademiens Handl. 1898, 24, 1–39. [Google Scholar]
- Ho, Y.; McKay, G. Pseudo-second order model for sorption processes. Process. Biochem. 1999, 34, 451–465. [Google Scholar] [CrossRef]
- Freundlich, H.M.F. Over the Adsorption in Solution. J. Phys. Chem. 1906, 57, 385–471. [Google Scholar]
- Langmuir, I. The Adsorption of Gases on Plane Surfaces of Glass, Mica and Platinum. J. Am. Chem. Soc. 1918, 40, 1361–1403. [Google Scholar] [CrossRef] [Green Version]
- Moeinpour, F.; Alimoradi, A.; Kazemi, M. Efficient removal of Eriochrome black-T from aqueous solution using NiFe2O4 magnetic nanoparticles. J. Environ. Health Sci. Eng. 2014, 12, 1–7. [Google Scholar] [CrossRef] [Green Version]
- Konicki, W.; Hełminiak, A.; Arabczyk, W.; Mijowska, E. Removal of anionic dyes using magnetic Fe@graphite core-shell nanocomposite as an adsorbent from aqueous solutions. J. Colloid Interface Sci. 2017, 497, 155–164. [Google Scholar] [CrossRef] [PubMed]
- Gul, K.; Sohni, S.; Waqar, M.; Ahmad, F.; Norulaini, N.N.; Omar, A.K.M. Functionalization of magnetic chitosan with graphene oxide for removal of cationic and anionic dyes from aqueous solution. Carbohydr. Polym. 2016, 152, 520–531. [Google Scholar] [CrossRef]
- Yao, Y.; Miao, S.; Liu, S.; Ma, L.P.; Sun, P.H.; Wang, S. Synthesis, characterization, and adsorption properties of magnetic Fe3O4@graphene nanocomposite. Chem. Eng. J. 2011, 184, 326–332. [Google Scholar] [CrossRef]
- Nourmoradi, H.; Ghiasvand, A.; Noorimotlagh, Z. Removal of methylene blue and acid orange 7 from aqueous solutions by activated carbon coated with zinc oxide (ZnO) nanoparticles: Equilibrium, kinetic, and thermodynamic study. DESALINATION Water Treat. 2014, 55, 252–262. [Google Scholar] [CrossRef]
- Mahmoodi, N.M.; Abdi, J.; Bastani, D. Direct dyes removal using modified magnetic ferrite nanoparticle. J. Environ. Health Sci. Eng. 2014, 12, 96. [Google Scholar] [CrossRef] [PubMed] [Green Version]
- Paşka, O.; Ianos, R.; Păcurariu, C.; Brădeanu, A. Magnetic nanopowder as effective adsorbent for the removal of Congo Red from aqueous solution. Water Sci. Technol. 2013, 69, 1234–1240. [Google Scholar] [CrossRef]
- Gao, S.; Zhang, W.; An, Z.; Kong, S.; Chen, D. Adsorption of anionic dye onto magnetic Fe3O4/CeO2 nanocomposite: Equilibrium, kinetics, and thermodynamics. Adsorpt. Sci. Technol. 2019, 37, 185–204. [Google Scholar] [CrossRef] [Green Version]
- Idan, I.J.; Abdullah, L.C.; Choong, T.S.; Jamil, S.N.A.B.M. Equilibrium, kinetics and thermodynamic adsorption studies of acid dyes on adsorbent developed from kenaf core fiber. Adsorpt. Sci. Technol. 2017, 36, 694–712. [Google Scholar] [CrossRef]
- Kakavandi, B.; Jonidi, A.; Rezaei, R.; Nasseri, S.; Ameri, A.; Esrafily, A. Synthesis and properties of Fe3O4-activated carbon magnetic nanoparticles for removal of aniline from aqueous solution: Equilibrium, kinetic and thermodynamic studies. Iran. J. Environ. Health Sci. Eng. 2013, 10, 19. [Google Scholar] [CrossRef] [PubMed] [Green Version]














| Sample | SBET Activated Carbon (m2/g) | Mass Activated Carbon (g) | Mass Fe(NO3)3·9H2O (g) | Mass C6H14N4O2 (g) | Thermal Treatment Time Span (min) |
|---|---|---|---|---|---|
| PM 1 | 1000 | 8.00 | 10.47 | 2.04 | 90 |
| PM 2 | 1300 | 8.00 | 10.47 | 2.04 | 90 |
| PM 3 | 1700 | 8.00 | 10.47 | 2.04 | 90 |
| PM 4 | 1700 | 8.00 | 10.47 | 2.04 | 60 |
| Sample | Ms (emu/g) | Hc (KOe) | Mr (emu/g) | Mr/Ms (emu/g) |
|---|---|---|---|---|
| PM1 | 13.5 | 0.199 | 2.087 | 0.15 |
| PM2 | 6.94 | 0.051 | 0.401 | 0.05 |
| PM3 | 4.87 | 0.045 | 0.177 | 0.03 |
| PM4 | 4.82 | 0.089 | 0.348 | 0.07 |
| Sample | Specific Surface Area (m2/g) | Total Pore Volume (cm3/g) | Micropores Volume (cc/g) | Micropores Area (m2/g) | External Surface Area (m2/g) | Average Pore Diameter (nm) |
|---|---|---|---|---|---|---|
| PM1 | 656 | 0.29 | 0.25 | 624.46 | 31.75 | 3.82 |
| PM2 | 708 | 0.44 | 0.22 | 522.68 | 184.89 | 3.76 |
| PM3 | 715 | 0.45 | 0.23 | 531.12 | 183.88 | 3.82 |
| PM4 | 761 | 0.57 | 0.22 | 527.93 | 233.35 | 3.82 |
| Dye | Molecular Structure | Molecular Weight (g/mol) | CAS Registry Number |
|---|---|---|---|
| AY42 | ![]() | 758.692 | 6375-55-9 |
| AR213 | ![]() | 343.36 | 12715-60-5 |
| PM1 | PM2 | PM3 | PM4 | |||||
|---|---|---|---|---|---|---|---|---|
| ƞ (%) | qt (mg/g) | ƞ (%) | qt (mg/g) | ƞ (%) | qt (mg/g) | ƞ (%) | qt (mg/g) | |
| AY 42 | 64.91 | 33.81 | 79.04 | 39.38 | 80.59 | 40.29 | 98.54 | 49.27 |
| AR 213 | 69.64 | 34.32 | 79.24 | 39.62 | 83.84 | 41.92 | 97.58 | 48.79 |
| Dye Concentration (mg/L) | AY 42 | AR 213 | ||
|---|---|---|---|---|
| R (%) | te (min) | R (%) | te (min) | |
| 10 | 95.01 | 40 | 92.97 | 40 |
| 30 | 86.29 | 100 | 90.55 | 60 |
| 50 | 73.77 | 160 | 87.53 | 110 |
| 100 | 69.76 | 180 | 74.99 | 150 |
| 150 | 52.73 | 210 | 55.02 | 170 |
| 200 | 38.79 | 250 | 45.53 | 210 |
| 250 | 32.46 | 290 | 33.53 | 220 |
| Temperature (°C) | AY 42 | AR 213 | ||
|---|---|---|---|---|
| R (%) | te (min) | R (%) | te (min) | |
| 25 | 73.77 | 160 | 87.53 | 110 |
| 45 | 95.84 | 140 | 94.77 | 90 |
| 65 | 98.81 | 100 | 97.86 | 70 |
| Dye | Temp. (°C) | qe,exp (mg/g) | Pseudo First-Order Kinetic Model | Pseudo Second-Order Kinetic Model | ||
|---|---|---|---|---|---|---|
| qe,calc (mg/g) | k1 103 (min−1) | qe,calc (mg/g) | k2 104 (g/mg·min) | |||
| AY 42 | 25 | 31.56 | 36.11 | 8.91 | 30.38 | 7.99 |
| 45 | 36.36 | 26.55 | 8.22 | 39.97 | 11.19 | |
| 65 | 41.57 | 39.95 | 0.24 | 42.50 | 15.03 | |
| AR 213 | 25 | 35.08 | 38.08 | 10.48 | 36.82 | 6.91 |
| 45 | 38.29 | 27.09 | 8.20 | 43.49 | 9.52 | |
| 65 | 49.75 | 21.47 | 10.44 | 51.47 | 24.98 | |
| Models | Parameter | Dyes | |
|---|---|---|---|
| AY42 | AR213 | ||
| Freundlich | KF (mg/g(mg/L)−1/n) | 16.90 | 15.37 |
| n | 4.011 | 3.177 | |
| χ2 | 36.9719 | 18.9157 | |
| Langmuir | qm (mg/g) | 62.36 | 77.99 |
| KL (L/mg) | 0.089 | 0.065 | |
| χ2 | 13.3303 | 17.9031 | |
| Adsorbent. | Dye | qm (mg/g) | Reference |
|---|---|---|---|
| NiFe2O4 magnetic nanoparticles | Eriochrome black-T | 47 | [67] |
| Fe@graphite core–shell nanocomposite | Acid Red 88 | 41.8 | [68] |
| Direct Orange 26 | 28.3 | ||
| Fe3O4 supported chitosan-graphene oxide composite | Alizarin yellow R | 14.82 | [69] |
| Magnetic Fe3O4@graphene composite | Congo Red | 33.66 | [70] |
| Activated carbon coated by zinc oxide nanoparticles | Acid Orange 7 | 66.22 | [71] |
| Magnetic ferrite nanoparticle | Direct Red 23 | 26.11 | [72] |
| Direct Red 31 | 55.56 | ||
| Magnetic iron oxide nanopowder | Congo Red | 54.46 | [73] |
| Magnetic nanocomposites | Acid Yellow 42 | 62.36 | This work |
| Acid Red 213 | 77.99 |
| Dye | Temp. (°C) | ΔG° (J/mol) | ΔH° (J/mol) | ΔS° (J/mol·K) |
|---|---|---|---|---|
| AY42 | 25 | −5969.99 | 4767.98 | −400.67 |
| 45 | −6370.66 | |||
| 65 | −6771.33 | |||
| AR213 | 25 | −6765.64 | 5403.43 | −454.07 |
| 45 | −7219.71 | |||
| 65 | −7673.78 |
Publisher’s Note: MDPI stays neutral with regard to jurisdictional claims in published maps and institutional affiliations. |
© 2021 by the authors. Licensee MDPI, Basel, Switzerland. This article is an open access article distributed under the terms and conditions of the Creative Commons Attribution (CC BY) license (https://creativecommons.org/licenses/by/4.0/).
Share and Cite
Nistor, M.-A.; Muntean, S.G.; Ianoș, R.; Racoviceanu, R.; Ianași, C.; Cseh, L. Adsorption of Anionic Dyes from Wastewater onto Magnetic Nanocomposite Powders Synthesized by Combustion Method. Appl. Sci. 2021, 11, 9236. https://doi.org/10.3390/app11199236
Nistor M-A, Muntean SG, Ianoș R, Racoviceanu R, Ianași C, Cseh L. Adsorption of Anionic Dyes from Wastewater onto Magnetic Nanocomposite Powders Synthesized by Combustion Method. Applied Sciences. 2021; 11(19):9236. https://doi.org/10.3390/app11199236
Chicago/Turabian StyleNistor, Maria-Andreea, Simona Gabriela Muntean, Robert Ianoș, Roxana Racoviceanu, Cătălin Ianași, and Liliana Cseh. 2021. "Adsorption of Anionic Dyes from Wastewater onto Magnetic Nanocomposite Powders Synthesized by Combustion Method" Applied Sciences 11, no. 19: 9236. https://doi.org/10.3390/app11199236
APA StyleNistor, M.-A., Muntean, S. G., Ianoș, R., Racoviceanu, R., Ianași, C., & Cseh, L. (2021). Adsorption of Anionic Dyes from Wastewater onto Magnetic Nanocomposite Powders Synthesized by Combustion Method. Applied Sciences, 11(19), 9236. https://doi.org/10.3390/app11199236



