Geometrical Parametric Study on Steel Beams Exposed to Solar Radiation
Abstract
:1. Introduction
2. Study Objective
3. The Experimental Steel Beam
4. Finite Element Modeling
4.1. Heat Conduction and Thermal Boundary Conditions
4.2. Finite Element Thermal Analysis
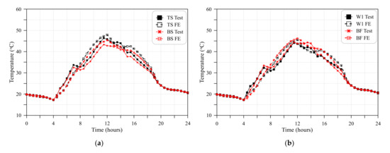
4.3. Verification with Experimental Records
5. Results and Discussion
5.1. Temperature-Time Relations
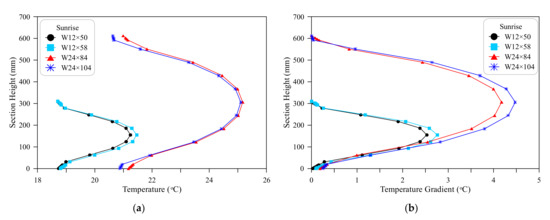
5.2. Vertical Temperature Distributions and Gradients
5.3. Thermal Stresses
6. Conclusions
- (1)
- The smaller W12 sections are obviously colder than the bigger W24 sections at sunrise and sunset and hotter than W24 sections at noon hour. This is due to the thinner web and flanges of W12 sections compared to W24 sections, which allows for faster cooling and heating. The temperature gradient along the section depth is controlled by the time-dependent temperature variation, which is strongly affected by the geometrical properties of the steel sections.
- (2)
- The maximum temperature of the top surface at noon hour is mostly affected by the geometrical parameters of the top flange. The maximum temperature increases as the top flange width increases and its thickness decreases. However, this variation is more sensitive to flange thickness than flange width, where the maximum temperature of the top surface was found to be positively correlated to the ratio of flange width to the square of flange thickness (Wf/tf2). Section W12 × 58 with the maximum Wf/tf2 value among the four steel sections (0.96) recorded the highest top surface temperature at noon hour, while the temperature of W24 × 84, which has the lowest Wf/tf2 value of 0.60, was the lowest.
- (3)
- The temperature of the web’s mid-depth at noon hour is mainly due to the huge amount of solar radiation received by the top surface during this period. The influential geometrical parameters are the area and thickness of the heated part, which is the top flange, and the path to the target point, which is the mid-depth of the web. The temperature of the centroid of the web at noon hours increases with the increase of the quantity 2Wf/Htf. The wider and thinner flange results in faster heating, while the shorter path (H/2) leads to faster heat conduction to the web’s centroid from the top surface
- (4)
- The shading from the top flange on the web’s temperature becomes effective during afternoon hours. Wider flanges impose deeper shadows that reduce the temperature of the web, while deeper sections are less influenced by flange’s shading. The variation of temperature during afternoon hours affects that at sunset and is affected by the geometrical ratio of flange width to flange thickness (Wf/H).
- (5)
- The vertical thermal stress distributions are directly influenced by the nonlinear temperature gradients at the same times. In addition, their maximum values are also related to the geometrical parameters that affect the heat transfer and temperature variation during the heating and cooling phases. The thicknesses of web and flange and the ratio of flange width to flange thickness are the most influential parameters.
Author Contributions
Funding
Institutional Review Board Statement
Informed Consent Statement
Acknowledgments
Conflicts of Interest
References
- Nasr, A.; Kjellstrom, E.; Bjornsson, I.; Honfi, D.; Ivanov, O.L.; Johansson, J. Bridges in a changing climate: A study of the potential impacts of climate change on bridges and their adaptations. Struct. Infrastruct. Eng. 2020, 16, 738–749. [Google Scholar] [CrossRef]
- Khotbehsara, M.M.; Manalo, A.; Aravinthan, T.; Turner, J.; Ferdous, W.; Hota, G. Effects of ultraviolet solar radiation on the properties of particulate-filled epoxy based polymer coating. Polym. Degrad. Stab. 2020, 181, 109352. [Google Scholar] [CrossRef]
- Gu, B.; Chen, Z.; Chen, X. Temperature gradients in concrete box girder bridge under effect of cold wave. J. Cent. South Univ. 2014, 21, 1227–1241. [Google Scholar] [CrossRef]
- Giussani, F. The effects of temperature variations on the long-term behaviour of composite steel-concrete beams. Eng. Struct. 2009, 31, 2392–2406. [Google Scholar] [CrossRef]
- Abid, S.R.; Tayşi, N.; Özakça, M. Experimental analysis of temperature gradients in concrete box girders. Constr. Build. Mater. 2016, 106, 523–532. [Google Scholar] [CrossRef]
- Liu, J.; Liu, Y.; Jiang, L.; Zhang, N. Long-term field test of temperature gradients on the composite girder of a long-span cable-style bridge. Adv. Struct. Eng. 2019, 22, 2785–2798. [Google Scholar] [CrossRef]
- Zhou, G.D.; Yi, T.H. Thermal loads in large-scale bridges: A state-of-the-art review. Int. J. Distrib. Sens. Netw. 2013, 9, 217983. [Google Scholar] [CrossRef]
- Abid, S.R.; Mussa, F.; Tayşi, N.; Özakça, M. Experimental and finite element investigation of temperature distributions in concrete-encased steel girders. Struct. Control Health Monit. 2018, 25, 1–23. [Google Scholar] [CrossRef]
- Lin, J.H.; Briseghella, B.; Xue, J.Q.; Tabatabai, H.; Huang, F.Y.; Chen, B.C. Temperature monitoring and response of deck-extension side-by-side box-girder bridges. J. Perform. Constr. Facil. 2020, 34, 04019122. [Google Scholar] [CrossRef]
- Elbadry, M.; Ghali, A. Thermal stresses and cracking of concrete bridges. ACI J. 1986, 83, 1001–1009. [Google Scholar]
- Wang, H.; Zhang, Y.M.; Mao, J.X.; Wan, H.P.; Tao, T.Y.; Zhu, Q.X. Modeling and forecasting of temperature-induced strain of long-span bridge using an improved Bayesian dynamic linear model. Eng. Struct. 2019, 192, 220–232. [Google Scholar] [CrossRef]
- Liu, J.; Liu, Y.J.; Zhang, G.J.; Jiang, L.; Yan, X.K. Prediction formula for temperature gradient of concrete-filled steel tubular member with an arbitrary inclination. J. Bridge Eng. 2020, 25, 0402007. [Google Scholar] [CrossRef]
- Lucas, J.M.; Berred, A.; Louis, A. Thermal actions on a steel box girder bridge. Struct. Build. ICE Proc. 2003, 156, 175–182. [Google Scholar] [CrossRef]
- Nandan, H.; Singh, M. Effects of thermal environment on structural frequencies: Part 1-A simulation study. Eng. Struc. 2014, 81, 480–490. [Google Scholar] [CrossRef]
- Kong, B.; Cai, C.S.; Pan, F. Thermal field distributions of girder bridges with GFRP panel deck versus concrete deck. J. Bridge Eng. 2014, 19, 04014046. [Google Scholar] [CrossRef]
- Ghali, A.; Favre, R.; Elbadry, M. Concrete Structures: Stresses and Deformation, 3rd ed.; E & FN Spon: London, UK, 2002. [Google Scholar]
- Tayşi, N.; Abid, S.R. Temperature distributions and variations in concrete box-girder bridges: Experimental and finite element parametric studies. Adv. Struct. Eng. 2015, 18, 469–486. [Google Scholar] [CrossRef]
- Zhao, Z.; Liu, H.; Chen, Z. Thermal behavior of large-span reticulated domes covered by ETFE membrane roofs under solar radiation. Thin Wall. Struct. 2017, 115, 1–11. [Google Scholar] [CrossRef]
- Kulprapha, N.; Warnitchai, P. Structural health monitoring of continuous prestressed concrete bridges using ambient thermal responses. Eng. Struct. 2012, 40, 20–38. [Google Scholar] [CrossRef]
- Lee, J.H. Investigation of extreme environmental conditions and design thermal gradients during construction for prestressed concrete bridge girders. J. Bridge Eng. 2012, 17, 547–556. [Google Scholar] [CrossRef]
- Zhao, L.; Zhou, L.Y.; Zhang, G.C.; Wei, T.Y.; Mahunon, A.D.; Jiang, L.Q.; Zhang, Y.Y. Experimental study of the temperature distribution in CRTS-II ballastless tracks on a high-speed railway bridge. Appl. Sci. 2020, 10, 1980. [Google Scholar] [CrossRef] [Green Version]
- Abid, S.R.; Tayşi, N.; Özakça, M. Temperature Records in Concrete Box-Girder Segment Subjected to Solar Radiation and Air Temperature Changes. IOP Conf. Ser. Mater. Sci. Eng. 2020, 870, 012074. [Google Scholar] [CrossRef]
- Lin, J.H.; Xue, J.Q.; Huang, F.Y.; Chen, B.C. Research on the thermal boundary conditions of concrete closed girder cross-sections under historically extreme temperature conditions. Appl. Sci. 2020, 10, 1274. [Google Scholar] [CrossRef] [Green Version]
- Xue, J.Q.; Briseghella, B.; Lin, J.H.; Huang, F.Y.; Chen, B.C. Design and field tests of a deck-extension bridge with small box-girder. J. Traffic Transp. Eng. 2018, 5, 467–479. [Google Scholar] [CrossRef]
- Gottsater, E.; Ivanov, L. Spatial temperature differences in portal frame bridges. Struct. Eng. Int. 2019, 30, 1–8. [Google Scholar] [CrossRef] [Green Version]
- Xue, J.Q.; Lin, J.H.; Briseghella, B.; Tabatabai, H.; Chen, B.C. Solar radiation parameters for assessing temperature distributions on bridge cross-sections. Appl. Sci. 2020, 8, 627. [Google Scholar] [CrossRef] [Green Version]
- Zhang, C.Y.; Liu, Y.J.; Liu, J.; Yuan, Z.Y.; Zhang, G.J.; Ma, Z.Y. Validation of long-term temperature simulations in a steel-concrete composite girder. Structures 2020, 27, 1962–1976. [Google Scholar] [CrossRef]
- Mussa, F.; Abid, S.R.; Tayşi, N. Winter Temperature Measurements in a composite girder segment. IOP Conf. Ser. Mater. Sci. Eng. 2020, 888, 012074. [Google Scholar] [CrossRef]
- Lu, H.L.; Hao, J.; Zhong, J.W.; Wang, Y.F.; Yang, H.Y. Analysis of sunshine temperature field of steel box-girder based on monitoring data. Adv. Civ. Eng. 2020, 2020, 1–10. [Google Scholar] [CrossRef]
- Hagedorn, R.; Marti-Vargas, J.R.; Dang, C.N.; Hale, W.M.; Floyd, R.W. Temperature gradients in bridge concrete I-girders under heat wave. J. Bridge Eng. 2019, 24, 04019077. [Google Scholar] [CrossRef]
- Song, Z.W.; Xiao, J.Z.; Shen, L.M. On temperature gradients in high-performance concrete box girder under solar radiation. Adv. Struct. Eng. 2012, 15, 399–415. [Google Scholar] [CrossRef]
- Abid, S.R. Three-dimensional finite element temperature gradient analysis in concrete bridge girders subjected to environmental thermal loads. Cogent Eng. 2018, 5, 1–15. [Google Scholar] [CrossRef]
- Wang, Y.; Shi, Y.; Lin, C. Experimental study on the temperature of steel members in sunshine. J. Build. Struct. 2010, 31, 140–147. [Google Scholar]
- Liu, H.; Chen, Z.; Zhou, T. Numerical and experimental investigation on the temperature distribution of steel tubes under solar radiation. Struct. Eng. Mech. 2012, 43, 725–737. [Google Scholar] [CrossRef]
- Liu, H.; Chen, Z.; Zhou, T. Theoretical and experimental study on the temperature distribution of H-shaped steel members under solar radiation. Appl. Therm. Eng. 2012, 37, 329–335. [Google Scholar] [CrossRef]
- Liu, H.; Chen, Z.; Zhou, T. Investigation on temperature distribution and thermal behavior of large span steel structures considering solar radiation. Adv. Steel Construct. 2013, 9, 41–58. [Google Scholar]
- Chen, D.; Wang, H.; Qian, H.; Li, X.; Fan, F.; Shen, S. Experimental and numerical investigation of temperature effects on steel members due to solar radiation. Appl. Therm. Eng. 2017, 127, 696–704. [Google Scholar] [CrossRef]
- Kim, S.H.; Park, S.J.; Wu, J.; Won, J.H. Temperature variation in steel box girders of cable-stayed bridges during construction. J. Construct. Steel Res. 2015, 112, 80–92. [Google Scholar] [CrossRef]
- Arabi, S.; Shafei, B.; Phares, B.M. Investigation of fatigue in steel sign-support structures under diurnal temperature changes. J. Construct. Steel Res. 2019, 153, 286–297. [Google Scholar] [CrossRef]
- Zhao, H.W.; Ding, Y.L.; Nagarajaiah, S.; Li, A.Q. Behavior analysis and early age warning of girder deflections of a steel-truss arch railway bridge under the effects of temperature and trains: Case study. J. Bridge Eng. 2019, 24, 05018013. [Google Scholar] [CrossRef]
- Wang, G.; Ding, Y. Reliability estimation of horizontal rotation at beam end of long-span continuous truss bridge affected by temperature gradients. J. Perform. Constr. Facil. 2019, 33, 04019061. [Google Scholar] [CrossRef]
- Chen, D.; Qian, H.; Wang, H.; Chen, Y.; Fan, F.; Shen, S. Experimental and numerical investigation on the non-uniform temperature distribution of thin-walled steel members under solar radiation. Thin Wall. Struct. 2018, 122, 242–251. [Google Scholar] [CrossRef]
- Lee, J.; Jeong, Y.; Kim, W. Buckling behavior of steel girder in integral abutment bridges under thermal loadings in summer season during deck replacement. Int. J. Steel Struct. 2016, 16, 1071–1082. [Google Scholar] [CrossRef]
- Abid, S.R. Temperature variation in steel beams subjected to thermal loads. Steel Compos. Struct. 2020, 34, 819–835. [Google Scholar]
- COMSOL. COMSOL Multiphysics User’s Guide; COMSOL Multiphysics v 4.3; COMSOL: Stockholm, Sweden, 2012. [Google Scholar]
- Mussa, F.; Abid, S.R. Investigation of temperature gradients in composite girders in the southern region of the black sea. IOP Conf. Ser. J. Phys. 2021, 1895, 012069. [Google Scholar] [CrossRef]
- Abid, S.R.; Tayşi, N.; Özakça, M.; Xue, J.; Briseghella, B. Finite element thermo-mechanical analysis of concrete box-girders. Structures 2021, 33, 2424–2444. [Google Scholar] [CrossRef]
- Mussa, F.; Abid, S.R.; Tayşi, N. Design temperatures for composite concrete-steel girders: A-verification of the finite element model. IOP Conf. Ser. Mater. Sci. Eng. 2021, 1090. [Google Scholar] [CrossRef]
- Mussa, F.; Abid, S.R.; Tayşi, N. Design temperatures for composite concrete-steel girders: B-case study. IOP Conf. Ser. Mater. Sci. Eng. 2021, 1090, 012109. [Google Scholar] [CrossRef]
















| Sensor | x (mm) (from Web Centerline) | y (mm) (from Bottom Surface) | z (along the Span) | Location |
|---|---|---|---|---|
| TS | 0 | 500 | Mid-span | Top surface |
| TF | 80 | 492 | Top flange’s bottom surface | |
| W1 | 4 | 470 | Web: 30 mm below TS | |
| W2 | 4 | 250 | Web: mid-height | |
| W3 | 4 | 30 | Web: 30 mm above BS | |
| BF | 80 | 8 | Bottom flange’s top surface | |
| BS | 0 | 0 | Bottom surface |
| Dimensions (mm) | W24 × 104 | W24 × 84 | W12 × 58 | W12 × 50 |
|---|---|---|---|---|
| Height (H) | 612.14 | 612.14 | 309.88 | 309.88 |
| Web thickness (tw) | 12.7 | 11.938 | 9.144 | 9.398 |
| Flange width (Wf) | 325.12 | 229.108 | 254 | 205.232 |
| Flange thickness (tf) | 19.05 | 19.558 | 16.256 | 16.256 |
Publisher’s Note: MDPI stays neutral with regard to jurisdictional claims in published maps and institutional affiliations. |
© 2021 by the authors. Licensee MDPI, Basel, Switzerland. This article is an open access article distributed under the terms and conditions of the Creative Commons Attribution (CC BY) license (https://creativecommons.org/licenses/by/4.0/).
Share and Cite
Abid, S.R.; Al-Gasham, T.S.; Xue, J.; Liu, Y.; Liu, J.; Briseghella, B. Geometrical Parametric Study on Steel Beams Exposed to Solar Radiation. Appl. Sci. 2021, 11, 9198. https://doi.org/10.3390/app11199198
Abid SR, Al-Gasham TS, Xue J, Liu Y, Liu J, Briseghella B. Geometrical Parametric Study on Steel Beams Exposed to Solar Radiation. Applied Sciences. 2021; 11(19):9198. https://doi.org/10.3390/app11199198
Chicago/Turabian StyleAbid, Sallal R., Thaar S. Al-Gasham, Junqing Xue, Yongjian Liu, Jiang Liu, and Bruno Briseghella. 2021. "Geometrical Parametric Study on Steel Beams Exposed to Solar Radiation" Applied Sciences 11, no. 19: 9198. https://doi.org/10.3390/app11199198
APA StyleAbid, S. R., Al-Gasham, T. S., Xue, J., Liu, Y., Liu, J., & Briseghella, B. (2021). Geometrical Parametric Study on Steel Beams Exposed to Solar Radiation. Applied Sciences, 11(19), 9198. https://doi.org/10.3390/app11199198

