Mercury Uptake and Transport by Plants in Aquatic Environments: A Meta-Analysis
Abstract
:1. Introduction
2. Materials and Methods
2.1. Literature Selection
2.2. Data Processing
2.3. Statistical Analysis
2.4. Publication Bias
3. Results and Discussion
3.1. BCF of Hg in Plants
3.2. BAF of Hg in Roots
3.3. TF for Hg in Plants
3.4. Influencing Factors
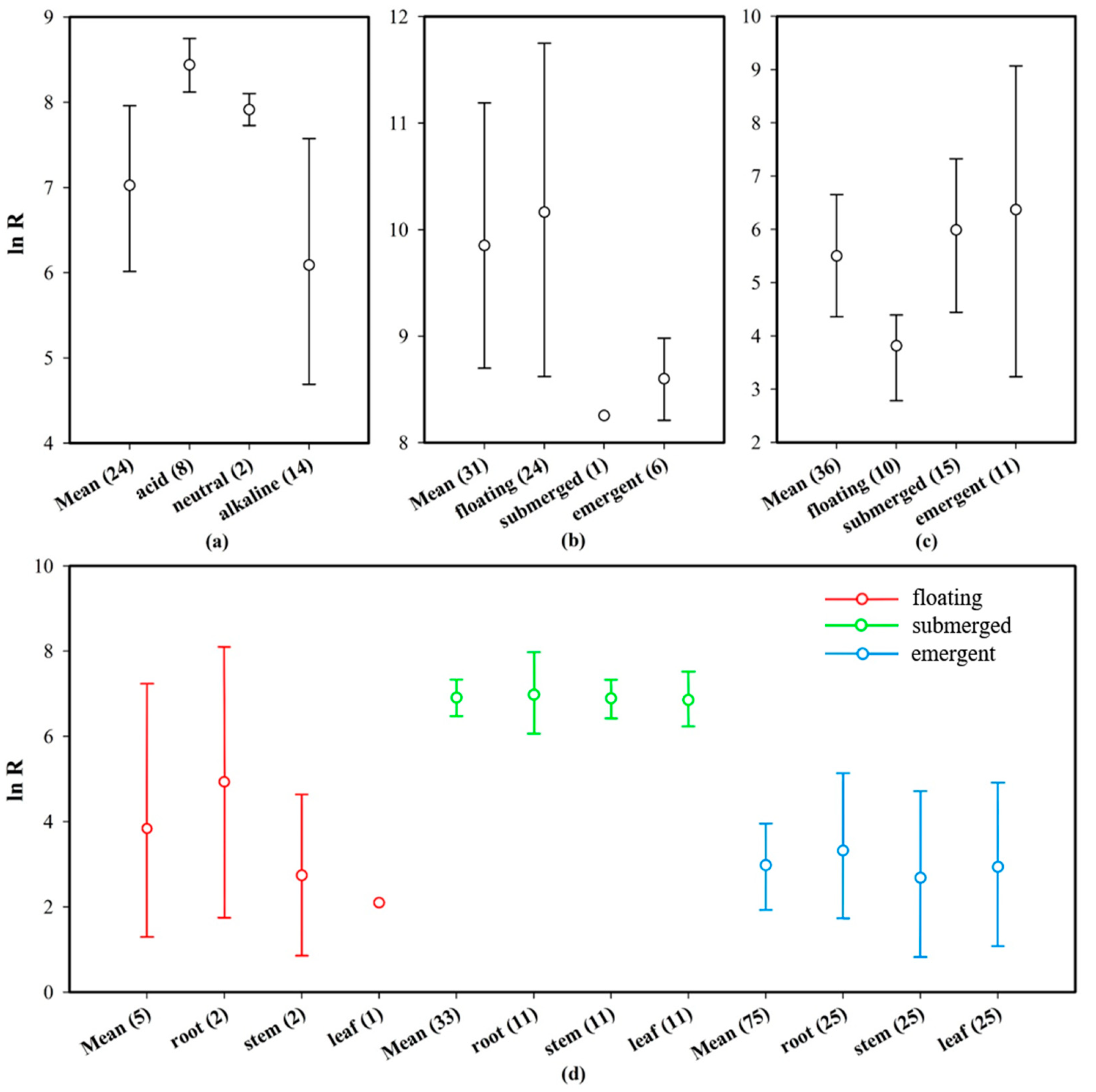
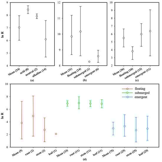
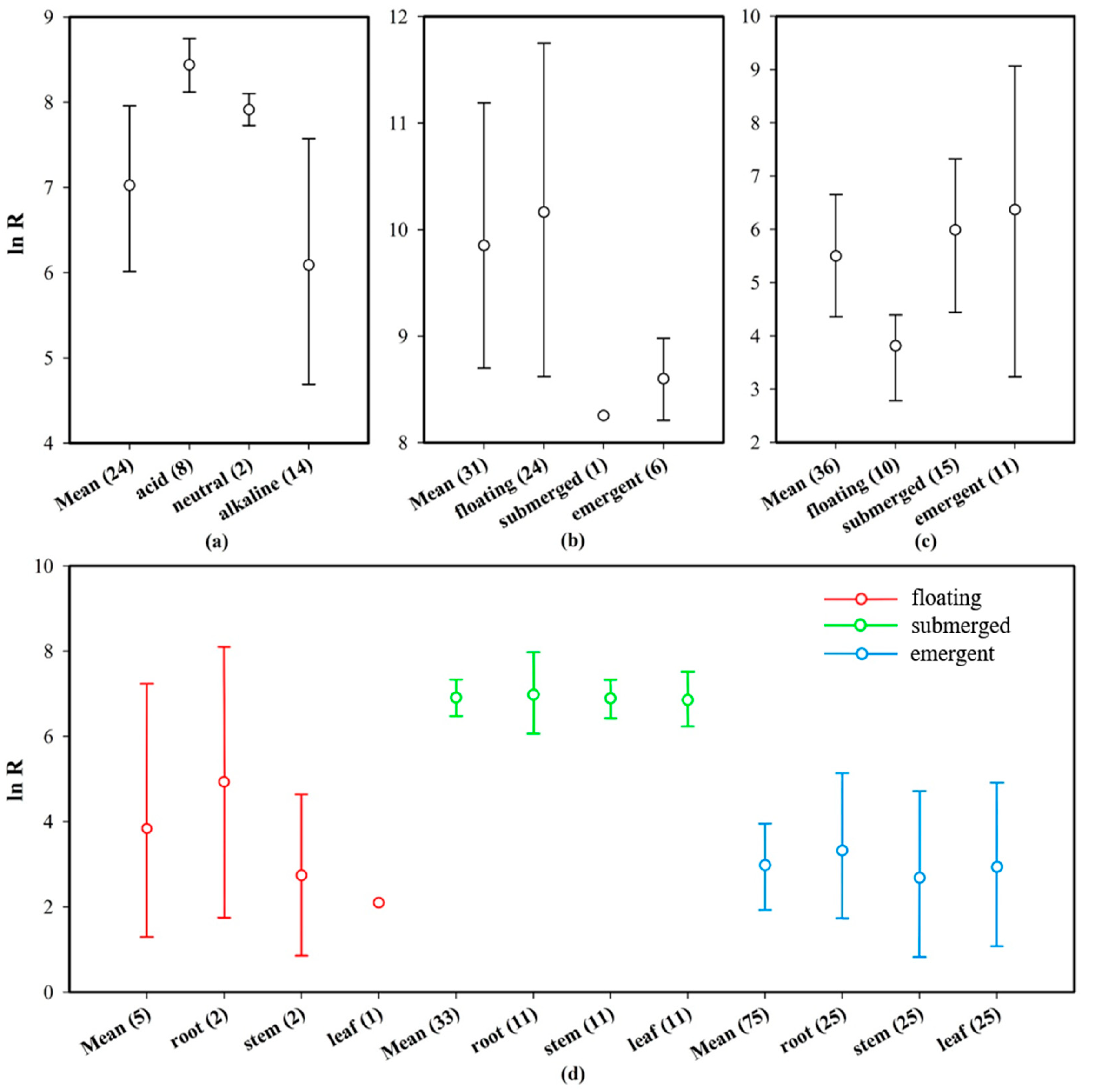
3.4.1. Plant Organs
3.4.2. Life Habits
3.4.3. pH
4. Conclusions
Author Contributions
Funding
Institutional Review Board Statement
Informed Consent Statement
Acknowledgments
Conflicts of Interest
References
- Nyarko, B.J.B.; Dampare, S.B.; Serfor-Armah, Y.; Osae, S.; Adotey, D.; Adomako, D. Biomonitoring in the forest zone of Ghana: The primary results obtained using neutron activation analysis and lichens. Int. J. Environ. Pollut. 2008, 32, 467–476. [Google Scholar] [CrossRef]
- Lee, C.S.; Li, X.D.; Shi, W.Z.; Cheung, S.C.; Thornton, I. Metal contamination in urban, suburban, and country park soils of Hong Kong: A study based on GIS and multivariate statistics. Sci. Total Environ. 2006, 356, 45–61. [Google Scholar] [CrossRef] [PubMed] [Green Version]
- Ozden, B.; Guler, E.; Vaasma, T.; Horvath, M.; Kiisk, M.; Kovacs, T. Enrichment of naturally occurring radionuclides and trace elements in Yatagan and Yenikoy coal-fired thermal power plants, Turkey. J. Environ. Radioact. 2018, 188, 100–107. [Google Scholar] [CrossRef]
- Mason, R.P.; Reinfelder, J.R.; Morel, F.M.M. Bioaccumulation of mercury and methylmercury. Water Air Soil Pollut. 1995, 80, 915–921. [Google Scholar] [CrossRef]
- Su, D. Biological Toxicity of five metal ions on marine algea. Appl. Mech. Mater. 2013, 295–298, 17–20. [Google Scholar] [CrossRef]
- Weir, P.A.; Hine, C.H. Effects of various metals on behavior of conditioned goldfish. Arch. Environ. Occup. Health 1970, 20, 45–51. [Google Scholar] [CrossRef]
- Kalisinska, E.; Lanocha-Arendarczyk, N.; Podlasinska, J. Current and historical nephric and hepatic mercury concentrations in terrestrial mammals in Poland and other European countries. Sci. Total Environ. 2021, 775, 145808. [Google Scholar] [CrossRef] [PubMed]
- Kazantzis, G. Mercury and the kidney. Occup. Med. 1970, 20, 54–59. [Google Scholar] [CrossRef]
- Skerfving, S.; Hansson, K.; Lindsten, J. Chromosome breakage in humans exposed to methyl mercury through fish consumption. Preliminary communication. Arch. Environ. Health 1970, 21, 133–139. [Google Scholar] [CrossRef] [PubMed]
- Rai, P.K.; Tripathi, B. Heavy metals adsorption characteristics of free floating aquatic macrophyte Spirodela poyrhhiza. J. Environ. Res. Dev. 2007, 5, 656–660. [Google Scholar]
- Jackson, L.J. Paradigms of metal accumulation in rooted aquatic vascular plants. Sci. Total Environ. 1998, 219, 223–231. [Google Scholar] [CrossRef]
- Bell, A.H.; Scudder, B.C. Mercury accumulation in periphyton of eight river ecosystems 1. J. Am. Water Resour. Assoc. 2007, 43, 957–968. [Google Scholar] [CrossRef]
- Romanova, T.E.; Shuvaeva, O.V.; Belchenko, L.A. Phytoextraction of trace elements by water hyacinth in contaminated area of gold mine tailing. Int. J. Phytorem. 2016, 18, 190–194. [Google Scholar] [CrossRef]
- Xun, Y.; Feng, L.; Li, Y.; Dong, H. Mercury accumulation plant Cyrtomium macrophyllum and its potential for phytoremediation of mercury polluted sites. Chemosphere 2017, 189, 161–170. [Google Scholar] [CrossRef]
- Aladdin, M.; Aziz, F. Response of algae to heavy metal removing with particular reference to pH. Pol. J. Environ. Stud. 2020, 29, 2041–2053. [Google Scholar] [CrossRef]
- Zhang, Z.Q.; Bao, M.E.; Chen, J.B.; Hao, H.Y. Tolerance mechanism of plants to heavy metals. Gansu Sci. Technol. 2013, 29, 69–71. (In Chinese) [Google Scholar] [CrossRef]
- Gupta, D.K.; Vandenhove, H.; Inouhe, M. Role of phytochelatins in heavy metal stress and detoxification mechanisms in plants. In Heavy Metal Stress in Plants; Gupta, D.K., Corpas, F.J., Palma, J.M., Eds.; Springer: Berlin/Heidelberg, Germany, 2013; pp. 73–94. [Google Scholar]
- Li, J.; Yu, H.X.; Luan, Y.N. Meta-analysis of the copper, zinc, and cadmium absorption capacities of aquatic plants in heavy metal-polluted water. Int. J. Environ. Res. Public Health 2015, 12, 14958–14973. [Google Scholar] [CrossRef] [Green Version]
- Weatherall, M. Systematic review and meta-analysis: Tools for the information age. Postgrad. Med. J. 2017, 93, 696–703. [Google Scholar] [CrossRef]
- Liu, S.; Zhang, Y.; Zong, Y.; Hu, Z.; Wu, S.; Zhou, J.; Jin, Y.; Zou, J. Response of soil carbon dioxide fluxes, soil organic carbon and microbial biomass carbon to biochar amendment: A meta-analysis. GCB Bioenergy 2016, 8, 392–406. [Google Scholar] [CrossRef]
- Lenka, M.; Panda, K.K.; Panda, B.B. Monitoring and assessment of mercury pollution in the vicinity of a chloralkali plant. IV. Bioconcentration of mercury in in situ aquatic and terrestrial plants at Ganjam, India. Arch. Environ. Contam. Toxicol. 1992, 22, 195–202. [Google Scholar] [CrossRef]
- Gupta, M.; Chandra, P. Bioaccumulation and toxicity of mercury in rooted-submerged macrophyte Vallisneria spiralis. Environ. Pollut. 1998, 103, 327–332. [Google Scholar] [CrossRef]
- Ali, M.B.; Vajpayee, P.; Tripathi, R.D. Mercury bioaccumulation induces oxidative stress and toxicity to submerged Macrophyte potamogeton crispus L. Bull. Environ. Contam. Toxicol. 2000, 65, 573–582. [Google Scholar] [CrossRef] [PubMed]
- Gothberg, A.; Greger, M. Formation of methyl mercury in an aquatic macrophyte. Chemosphere 2006, 65, 2096–2105. [Google Scholar] [CrossRef]
- Isaksson, R.; Balogh, S.J.; Farris, M.A. Accumulation of mercury by the aquatic plant Lemna minor. Int. J. Environ. Stud. 2007, 64, 189–194. [Google Scholar] [CrossRef]
- Mishra, V.K.; Upadhyay, A.R.; Pathak, V.; Tripathi, B.D. Phytoremediation of mercury and arsenic from tropical opencast coalmine effluent through naturally occurring aquatic macrophytes. Water Air Soil Pollut. 2008, 192, 303–314. [Google Scholar] [CrossRef]
- Castro, R.; Pereira, S.; Lima, A.; Corticeiro, S.; Valega, M.; Pereira, E.; Duarte, A.; Figueira, E. Accumulation, distribution and cellular partitioning of mercury in several halophytes of a contaminated salt marsh. Chemosphere 2009, 76, 1348–1355. [Google Scholar] [CrossRef]
- Mishra, V.K.; Tripathi, B.D.; Kim, K.H. Removal and accumulation of mercury by aquatic macrophytes from an open cast coal mine effluent. J. Hazard. Mater. 2009, 172, 749–754. [Google Scholar] [CrossRef]
- Zhang, M.; Cui, L.; Sheng, L.; Wang, Y. Distribution and enrichment of heavy metals among sediments, water body and plants in Hengshuihu Wetland of Northern China. Ecol. Eng. 2009, 35, 563–569. [Google Scholar] [CrossRef]
- Ahmad, A.; Ghufran, R.; Zularisam, A.W. Phytosequestration of metals in selected plants growing on a contaminated okhla industrial areas, Okhla, New Delhi, India. Water Air Soil Pollut. 2010, 217, 255–266. [Google Scholar] [CrossRef]
- Lafabrie, C.; Major, K.M.; Major, C.S.; Cebrian, J. Arsenic and mercury bioaccumulation in the aquatic plant, Vallisneria neotropicalis. Chemosphere 2011, 82, 1393–1400. [Google Scholar] [CrossRef]
- Chattopadhyay, S.; Fimmen, R.L.; Yates, B.J.; Lal, V.; Randall, P. Phytoremediation of mercury and methyl mercury contaminated sediments by water hyacinth (Eichhornia crassipes). Int. J. Phytoremediat. 2012, 14, 142–161. [Google Scholar] [CrossRef]
- Tong, Y.; Zhang, W.; Hu, D.; Ou, L.; Hu, X.; Yang, T.; Wei, W.; Ju, L.; Wang, X. Behavior of mercury in an urban river and its accumulation in aquatic plants. Environ. Earth Sci. 2012, 68, 1089–1097. [Google Scholar] [CrossRef]
- Bonanno, G. Comparative performance of trace element bioaccumulation and biomonitoring in the plant species Typha domingensis, Phragmites australis and Arundo donax. Ecotoxicol. Environ. Saf. 2013, 97, 124–130. [Google Scholar] [CrossRef]
- Miloskovic, A.; Brankovic, S.; Simic, V.; Kovacevic, S.; Cirkovic, M.; Manojlovic, D. The accumulation and distribution of metals in water, sediment, aquatic macrophytes and fishes of the Gruza Reservoir, Serbia. Bull. Environ. Contam. Toxicol. 2013, 90, 563–569. [Google Scholar] [CrossRef]
- Gomes, M.V.; Souza, R.R.; Teles, V.S.; Araujo Mendes, E. Phytoremediation of water contaminated with mercury using Typha domingensis in constructed wetland. Chemosphere 2014, 103, 228–233. [Google Scholar] [CrossRef]
- Yabanli, M.; Yozukmaz, A.; Sel, F. Heavy metal accumulation in the leaves, stem and root of the invasive submerged macrophyte Myriophyllum spicatum L. (Haloragaceae): An example of Kadin Creek (Mugla, Turkey). Braz. Arch. Biol. Technol. 2014, 57, 434–440. [Google Scholar] [CrossRef] [Green Version]
- Branković, S.; Glišić, R.; Topuzović, M.; Marin, M. Uptake of seven metals by two macrophytes species: Potential for phytoaccumulation and phytoremediation. Chem. Ecol. 2015, 31, 583–593. [Google Scholar] [CrossRef]
- Gbogbo, F.; Otoo, S.D. The concentrations of five heavy metals in components of an economically important urban coastal wetland in Ghana: Public health and phytoremediation implications. Environ. Monit. Assess. 2015, 187, 655. [Google Scholar] [CrossRef]
- Henriques, B.; Rocha, L.S.; Lopes, C.B.; Figueira, P.; Monteiro, R.J.R.; Duarte, A.C.; Pardal, M.A.; Pereira, E. Study on bioaccumulation and biosorption of mercury by living marine macroalgae: Prospecting for a new remediation biotechnology applied to saline waters. Chem. Eng. J. 2015, 281, 759–770. [Google Scholar] [CrossRef]
- Romanova, T.E.; Shuvaeva, O.V. Fractionation of mercury in water hyacinth and pondweed from contaminated area of Gold Mine Tailing. Water Air Soil Pollut. 2016, 227, 171. [Google Scholar] [CrossRef]
- José, M.N.; Germán, E.M.; José, D.H.; José, P.H.; Díez, S. Removal of mercury from gold mine effluents using Limnocharis flava in constructed wetlands. Chemosphere 2017, 167, 188–192. [Google Scholar] [CrossRef]
- Pang, H.J.; Lyu, S.S.; Chen, X.G.; Jin, A.M.; Loh, P.S.; Li, F.; Jiang, Y.; Yang, X.H.; Yan, K.K.; Lou, Z.H. Heavy metal distribution and accumulation in the Spartina alterniflora from the Andong tidal flat, Hangzhou Bay, China. Environ. Earth Sci. 2017, 76, 805–817. [Google Scholar] [CrossRef]
- Bonanno, G.; Raccuia, S.A. Comparative assessment of trace element accumulation and bioindication in seagrasses Posidonia oceanica, Cymodocea nodosa and Halophila stipulacea. Mar. Pollut. Bull. 2018, 131, 260–266. [Google Scholar] [CrossRef]
- Bonanno, G.; Vymazal, J.; Cirelli, G.L. Translocation, accumulation and bioindication of trace elements in wetland plants. Sci. Total Environ. 2018, 631-632, 252–261. [Google Scholar] [CrossRef]
- Casagrande, G.C.R.; dos Reis, C.; Arruda, R.; de Andrade, R.L.T.; Battirola, L.D. Bioaccumulation and biosorption of mercury by Salvinia biloba raddi (Salviniaceae). Water Air Soil Pollut. 2018, 229. [Google Scholar] [CrossRef]
- Griboff, J.; Wunderlin, D.A.; Monferran, M.V. Phytofiltration of As(3+), As(5+), and Hg by the aquatic macrophyte Potamogeton pusillus L, and its potential use in the treatment of wastewater. Int. J. Phytorem. 2018, 20, 914–921. [Google Scholar] [CrossRef]
- He, T.R.; Zeng, L.X.; Xu, Y.Y.; Li, Z.J. Mercury distribution of aquatic plants and its response to mercury in sediments in Caohai wetland, Guizhou Province. Chin. J. Ecol. 2018, 37, 793–800. (In Chinese) [Google Scholar] [CrossRef]
- Xu, S.Y.; Hu, Q.Y.; Dong, H.Y.; Wang, Q.; Ding, W.; Zhang, S.; Wu, S.C.; Liang, P. Mercury accumulation in five different aquatic plants. J. Zhejiang A&F Univ. 2018, 35, 785–793. (In Chinese) [Google Scholar] [CrossRef]
- Napaldet, J.T.; Buot, I.E. Absorption of lead and mercury in dominant aquatic macrophytes of Balili River and its implication to phytoremediation of water bodies. Trop. Life Sci. Res. 2020, 31, 19–32. [Google Scholar] [CrossRef] [PubMed]
- Hozo, S.P.; Djulbegovic, B.; Hozo, I. Estimating the mean and variance from the median, range, and the size of a sample. BMC Med. Res. Methodol. 2005, 5, 13. [Google Scholar] [CrossRef] [Green Version]
- Hedges, L.V.; Gurevitch, J.; Curtis, P.S. The meta-analysis of response ratios in experimental ecology. Ecology 1999, 80, 1150–1156. [Google Scholar] [CrossRef]
- Adams, D.C.; Gurevitch, J.; Rosenberg, M.S. Resampling tests for meta-analysis of ecological data. Ecology 1997, 78, 1277–1283. [Google Scholar] [CrossRef]
- Rosenberg, M.S.; Adams, D.C.; Gurevitch, J. Metawin: Statistical Software for Meta-Analysis with Resampling Tests; Sinauer Associates: Sunderland, MA, USA, 1997; p. 65. [Google Scholar]
- Gurevitch, J.; Hedges, L.V. Meta-Analysis: Combining the Results of Independent Experiments, 2nd ed.; Oxford University Press: Oxford, UK, 2001; pp. 347–370. [Google Scholar]
- Sterne, J.A.; Gavaghan, D.; Egger, M. Publication and related bias in meta-analysis: Power of statistical tests and prevalence in the literature. J. Chronic Epi. 2000, 53, 1119–1129. [Google Scholar] [CrossRef]
- Stuck, A.E.; Rubenstein, L.Z.; Wieland, D. Bias in meta-analysis detected by a simple, graphical test. Asymmetry detected in funnel plot was probably due to true heterogeneity. BMJ 1998, 316, 469. [Google Scholar] [CrossRef]
- Sharma, P.; Dubey, R.S. Lead toxicity in plants. Braz. J. Plant Physiol. 2005, 17, 35–52. [Google Scholar] [CrossRef] [Green Version]
- Xu, C.X. Studies on Mechanism of Heavy Metals in Water on Ornament Aquatic Plants & Technology of Tissue Culture. Master’s Thesis, Nanjing Forestry University, Nanjing, China, 2005. (In Chinese). [Google Scholar]
- Sharma, S.S.; Gaur, J.P. Potential of Lemna polyrrhiza for removal of heavy metals. Ecol. Eng. 1995, 4, 37–43. [Google Scholar] [CrossRef]
- Jones, D.L.; Darah, P.R.; Kochian, L.V. Critical evaluation of organic acid mediated iron dissolution in the rhizosphere and its potential role in root iron uptake. Plant Soil 1996, 180, 57–66. [Google Scholar] [CrossRef]
- Zaranyika, M.F.; Mudungwe, L.; Gurira, R.C. Cyanide ion concentration in the effluent from two gold mines in Zimbabwe and in a stream receiving effluent from one of the goldmines. J. Environ. Sci. Health Part A Environ. Sci. Eng. Toxic Hazard. Subst. Control 1994, 29, 1295–1303. [Google Scholar] [CrossRef]
- Greger, M. Metal availability and bioconcentration in plants. In Heavy Metal Stress in Plants: From Molecules to Ecosystems; Springer: Berlin/Heidelberg, Germany, 1999; pp. 1–27. [Google Scholar]
- Mahmood, Q.; Mirza, N.; Shaheen, S. Phytoremediation Using Algae and Macrophytes: I. In Phytoremediation: Management of Environmental Contaminants; Ansari, A.A., Gill, S.S., Gill, R., Lanza, G.R., Newman, L., Eds.; Springer International Publishing: Cham, Switzerland, 2015; Volume 2, pp. 265–289. [Google Scholar]
- Salt, D.E.; Blaylock, M.; Kumar, N.P.B.A.; Dushenkov, V.; Ensley, B.D.; Chet, I.; Raskin, I. Phytoremediation: A novel strategy for the removal of toxic metals from the environment using plants. Bio/Technology 1995, 13, 468–474. [Google Scholar] [CrossRef]
- Schwab, F.; Zhai, G.; Kern, M.; Turner, A.; Schnoor, J.L.; Wiesner, M.R. Barriers, pathways and processes for uptake, translocation and accumulation of nanomaterials in plants-Critical review. Nanotoxicology 2016, 10, 257–278. [Google Scholar] [CrossRef]
- Chaney, R.L.; Malik, M.; Li, Y.M.; Brown, S.L.; Brewer, E.P.; Angle, J.S.; Baker, A.J.M. Phytoremediation of soil metals. Curr. Opin. Biotechnol. 1997, 8, 279–284. [Google Scholar] [CrossRef]
- Veglio, F.; Beolchini, F. Removal of metals by biosorption: A review. Hydrometallurgy 1997, 44, 301–316. [Google Scholar] [CrossRef]
- Pospíšilová, J.; Huang, B. (Eds.) Plant-Environment Interactions, 3rd ed.; Wiley Online Library: Hoboken, NJ, USA, 2021; Volume 2. [Google Scholar]
- Ashraf, M.A.; Maah, M.J.; Yusoff, I. Heavy metals accumulation in plants growing in ex tin mining catchment. Int. J. Environ. Sci. Technol. 2011, 8, 401–416. [Google Scholar] [CrossRef] [Green Version]
- Akhtar, M.; Sarwar, N.; Ashraf, A.; Ejaz, A.; Ali, S.; Rizwan, M. Beneficial role of Azolla sp. in paddy soils and their use as bioremediators in polluted aqueous environments: Implications and future perspectives. Arch. Agron. Soil Sci. 2020, 67, 1242–1255. [Google Scholar] [CrossRef]
- Lucini, L.; Colla, G.; Miras Moreno, M.B.; Bernardo, L.; Cardarelli, M.; Terzi, V.; Bonini, P.; Rouphael, Y. Inoculation of Rhizoglomus irregulare or Trichoderma atroviride differentially modulates metabolite profiling of wheat root exudates. Phytochemistry 2019, 157, 158–167. [Google Scholar] [CrossRef]
- Li, J.; Luan, Y.N.; Sun, X.Y.; Yu, H.X.; Qi, N.; Wu, X.Y. Research advance in remediation of heavy metal contaminated water bodies by aquatic plants. World For. Res. 2015, 28, 31–35. (In Chinese) [Google Scholar] [CrossRef]
- Albers, P.H.; Camardese, M.B. Effects of acidification on metal accumulation by aquatic plants and invertebrates. 2. Wetlands, ponds and small lakes. Environ. Toxicol. Chem. 1993, 12, 969–976. [Google Scholar] [CrossRef]
- Yurukova, L.; Kochev, K. Heavy metal concentrations in freshwater macrophytes from the Aldomirovsko swamp in the Sofia District, Bulgaria. Bull. Environ. Contam. Toxicol. 1994, 52, 627–632. [Google Scholar] [CrossRef]
- Rai, U.N.; Sinha, S.; Tripathi, R.D.; Chandra, P. Wastewater treatability potential of some aquatic macrophytes: Removal of heavy metals. Ecol. Eng. 1995, 5, 5–12. [Google Scholar] [CrossRef]
- Futsaeter, G.; Wilson, S. The UNEP global mercury assessment: Sources, emissions and transport. E3S Web Conf. 2013, 1, 36001. [Google Scholar] [CrossRef] [Green Version]
- Shahid, M.; Dumat, C.; Khalid, S.; Schreck, E.; Xiong, T.; Niazi, N.K. Foliar heavy metal uptake, toxicity and detoxification in plants: A comparison of foliar and root metal uptake. J. Hazard. Mater. 2017, 325, 36–58. [Google Scholar] [CrossRef] [PubMed] [Green Version]
- Chen, H.M.; Zheng, C.R.; Tu, C.; Shen, Z.G. Chemical methods and phytoremediation of soil contaminated with heavy metals. Chemosphere 2000, 41, 229–234. [Google Scholar] [CrossRef]
- Pan, C.L.; He, J. Effect of hydrophyte on treatment of wastewater with chromium. Environ. Sci. Sur. 2006, 25, 34–35. (In Chinese) [Google Scholar] [CrossRef]
- Brady, D.; Duncan, J.R. Bioaccumulation of metal cations by Saccharomyces cerevisiae. Appl. Microbiol. Biotechnol. 1994, 41, 149–154. [Google Scholar] [CrossRef]
- Zhao, Y.; Wang, Y.; Wang, T.; Zhu, B. Screening for high nitrogen and phosphorus enrichment ditch plants in the Hilly Area of Central Sichuan Basin. Environ. Pollut. Control 2015, 37, 12–16. (In Chinese) [Google Scholar] [CrossRef]
- Fan, C.C. The Biological Adsorption Effect Research of Rat Tail Algae on Heavy Metals Lead, Copper, Zinc and Cadmium in Water. Master’s Thesis, Zhejiang Ocean University, Zhoushan, China, 2013. (In Chinese). [Google Scholar]
- Zhang, Y.J.; Yi, M.; Wang, C.; Dong, Y.; Liu, X.P.; Wen, X.F.; Li, Y. Research on phytoremediation of cadmium contaminated water by three submerged macrophytes. J. Shanghai Ocean Univ. 2012, 21, 784–793. (In Chinese) [Google Scholar]







Publisher’s Note: MDPI stays neutral with regard to jurisdictional claims in published maps and institutional affiliations. |
© 2021 by the authors. Licensee MDPI, Basel, Switzerland. This article is an open access article distributed under the terms and conditions of the Creative Commons Attribution (CC BY) license (https://creativecommons.org/licenses/by/4.0/).
Share and Cite
Ma, Y.; Wang, G.; Wang, Y.; Dai, W.; Luan, Y. Mercury Uptake and Transport by Plants in Aquatic Environments: A Meta-Analysis. Appl. Sci. 2021, 11, 8829. https://doi.org/10.3390/app11198829
Ma Y, Wang G, Wang Y, Dai W, Luan Y. Mercury Uptake and Transport by Plants in Aquatic Environments: A Meta-Analysis. Applied Sciences. 2021; 11(19):8829. https://doi.org/10.3390/app11198829
Chicago/Turabian StyleMa, Yuanzhang, Guoyu Wang, Yuanyuan Wang, Wei Dai, and Yaning Luan. 2021. "Mercury Uptake and Transport by Plants in Aquatic Environments: A Meta-Analysis" Applied Sciences 11, no. 19: 8829. https://doi.org/10.3390/app11198829
APA StyleMa, Y., Wang, G., Wang, Y., Dai, W., & Luan, Y. (2021). Mercury Uptake and Transport by Plants in Aquatic Environments: A Meta-Analysis. Applied Sciences, 11(19), 8829. https://doi.org/10.3390/app11198829

