Expression of the Melatonin-Associated Genes in Fibroblasts That Have Been Co-Exposed to Fluoride and a Moderate-Strength Static Magnetic Field
Abstract
:1. Introduction
2. Materials and Methods
2.1. Cell Culture Conditions
2.2. Molecular Analyses
2.3. ELISA Assay
2.4. Statistical Analyses
3. Results
3.1. The Effect of Fluoride and the Static Magnetic Field Action on the Expression of the Melatonin-Associated Genes
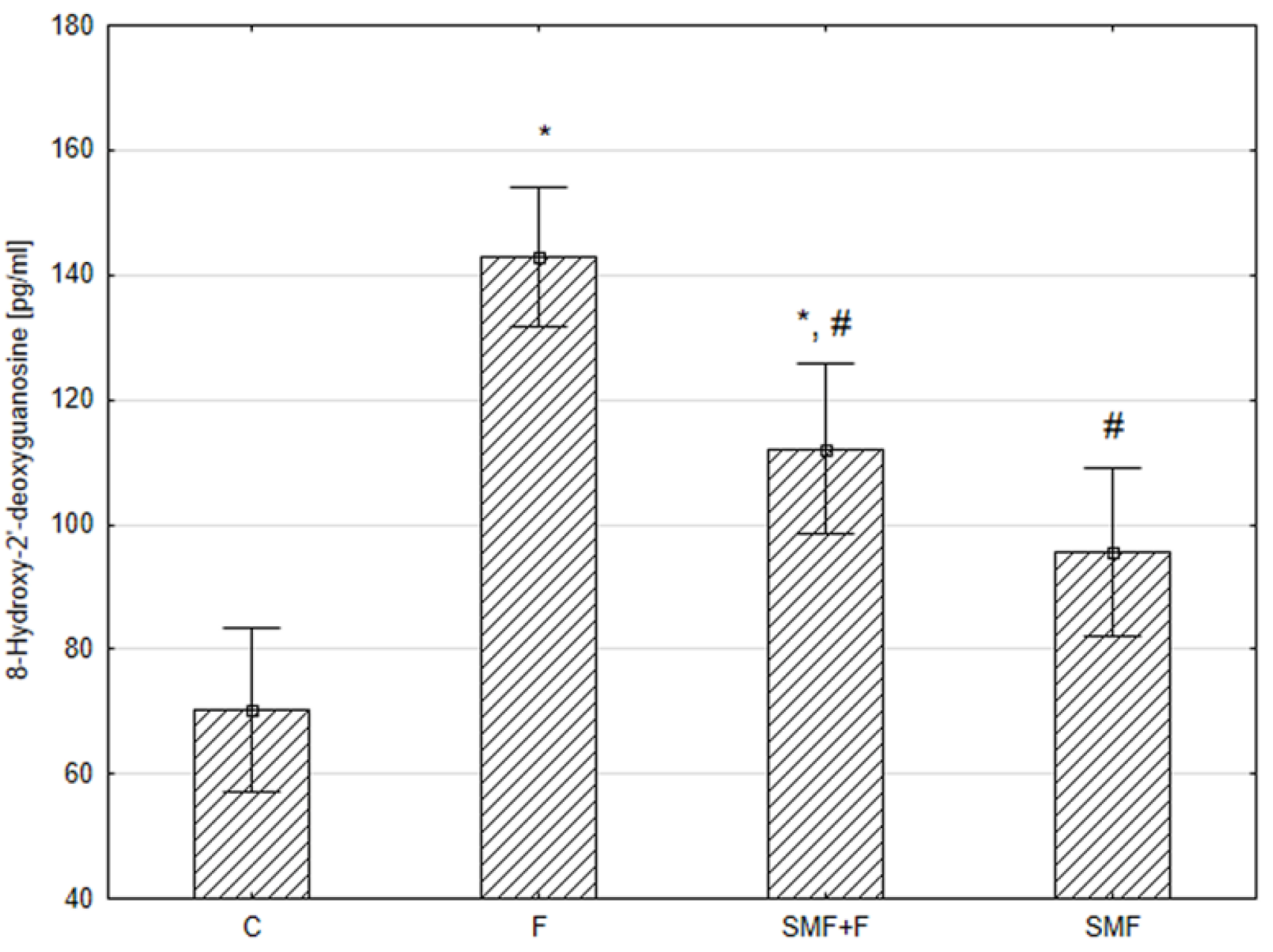
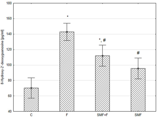
3.2. Effect of Fluoride and the Static Magnetic Field Action on the Concentration of the Oxidative Damage Markers
4. Discussion
5. Conclusions
Author Contributions
Funding
Conflicts of Interest
References
- Guth, S.; Hüser, S.; Roth, A.; Degen, G.; Diel, P.; Edlund, K.; Eisenbrand, G.; Engel, K.H.; Epe, B.; Grune, T.; et al. Toxicity of fluoride: Critical evaluation of evidence for human developmental neurotoxicity in epidemiological studies, animal experiments and in vitro analyses. Arch. Toxicol. 2020, 94, 1375–1415. [Google Scholar] [CrossRef]
- Johnston, N.R.; Strobel, S.A. Principles of fluoride toxicity and the cellular response: A review. Arch. Toxicol. 2020, 94, 1051–1069. [Google Scholar] [CrossRef] [PubMed]
- Strunecka, A.; Strunecky, O. Mechanisms of fluoride toxicity: From enzymes to underlying integrative networks. Appl. Sci. 2020, 10, 7100. [Google Scholar] [CrossRef]
- Pandi-Perumal, S.R.; Trakht, I.; Srinivasan, V.; Spence, D.W.; Maestroni, G.J.; Zisapel, N.; Cardinali, D.P. Physiological effects of melatonin: Role of melatonin receptors and signal transduction pathways. Prog. Neurobiol. 2008, 85, 335–353. [Google Scholar] [CrossRef] [PubMed]
- Slominski, A.T.; Zmijewski, M.A.; Skobowiat, C.; Zbytek, B.; Slominski, R.M.; Steketee, J.D. Sensing the environment: Regulation of local and global homeostasis by the skin neuroendocrine system. Adv. Anat. Embryol. Cell Biol. 2012, 212. [Google Scholar]
- Tarocco, A.; Caroccia, N.; Morciano, G.; Wieckowski, M.R.; Ancora, G.; Garani, G.; Pinton, P. Melatonin as a master regulator of cell death and inflammation: Molecular mechanisms and clinical implications for newborn care. Cell Death Dis. 2019, 10, 317. [Google Scholar] [CrossRef] [PubMed] [Green Version]
- Chuffa, L.G.A.; Carvalho, R.F.; Justulin, L.A.; Cury, S.S.; Seiva, F.R.F.; Jardim-Perassi, B.V.; Zuccari, D.A.P.C.; Reiter, R.J. A meta-analysis of microRNA networks regulated by melatonin in cancer: Portrait of potential candidates for breast cancer treatment. J. Pineal Res. 2020, 69, e12693. [Google Scholar] [CrossRef] [PubMed]
- Amini, H.; Rezabakhsh, A.; Heidarzadeh, M.; Hassanpour, M.; Hashemzadeh, S.; Ghaderi, S.; Sokullu, E.; Rahbarghazi, R.; Reiter, R.J. An Examination of the Putative Role of Melatonin in Exosome Biogenesis. Front. Cell Dev. Biol. 2021, 9, 686551. [Google Scholar] [CrossRef]
- Cunningham, J.E.A.; McCague, H.; Malin, A.J.; Flora, D.; Till, C. Fluoride exposure and duration and quality of sleep in a Canadian population-based sample. Environ. Health 2021, 20, 16. [Google Scholar] [CrossRef] [PubMed]
- Jarosz, M. Normy żywienia dla populacji polskiej–nowelizacja. Instytut Żywności i Żywenia 2012, 137–140. [Google Scholar]
- Buzalaf, M.A.R. Review of Fluoride Intake and Appropriateness of Current Guidelines. Adv. Dent. Res. 2018, 29, 157–166. [Google Scholar] [CrossRef] [PubMed]
- Bharti, V.K.; Giri, A.; Kumar, K. Fluoride sources, toxicity and its amelioration: A review. Ann. Environ. Sci. Toxicol. 2017, 2, 21–32. [Google Scholar] [CrossRef]
- Markov, M.S. Therapeutic application of static magnetic fields. Environmentalist 2007, 27, 457–463. [Google Scholar] [CrossRef]
- Colbert, A.P.; Wahbeh, H.; Harling, N.; Connelly, E.; Schiffke, H.C.; Forsten, C.; Gregory, W.L.; Markov, M.S.; Souder, J.J.; Elmer, P.; et al. Static magnetic field therapy: A critical review of treatment parameters. Evid. Based Complement. Altern. Med. 2009, 6, 133–139. [Google Scholar] [CrossRef]
- Zmyślony, M.; Politański, P. Zdrowotne skutki ekspozycji na stałe pole magnetyczne–przegląd piśmiennictwa [Health effects of exposure to static magnetic field—A review of literature]. Med. Pr. 2019, 70, 107–120. [Google Scholar] [PubMed]
- Kimsa-Dudek, M.; Synowiec-Wojtarowicz, A.; Derewniuk, M.; Gawron, S.; Paul-Samojedny, M.; Kruszniewska-Rajs, C.; Pawłowska-Góral, K. Impact of fluoride and a static magnetic field on the gene expression that is associated with the antioxidant defense system of human fibroblasts. Chem. Biol. Interact. 2018, 287, 13–19. [Google Scholar] [CrossRef]
- Kimsa-Dudek, M.; Synowiec-Wojtarowicz, A.; Krawczyk, A.; Kruszniewska-Rajs, C.; Gawron, S.; Paul-Samojedny, M.; Gola, J. Anti-apoptotic effect of a static magnetic field in human cells that had been treated with sodium fluoride. J. Environ. Sci. Health A 2020, 55, 1141–1148. [Google Scholar] [CrossRef] [PubMed]
- Driessen, S.; Bodewein, L.; Dechent, D.; Graefrath, D.; Schmiedchen, K.; Stunder, D.; Kraus, T.; Petri, A.K. Biological and health-related effects of weak static magnetic fields (≤ 1 mT) in humans and vertebrates: A systematic review. PLoS ONE 2020, 15, e0230038. [Google Scholar] [CrossRef] [PubMed]
- Glinka, M.; Gawron, S.; Sieroń, A.; Pawłowska-Góral, K.; Cieślar, G.; Sieroń-Stołtny, K. Test chambers for cell culture in static magnetic field. J. Magn. Mater. 2013, 331, 208–215. [Google Scholar] [CrossRef]
- Gawron, S.; Glinka, M.; Wolnik, T. Magnetyczna komora badawcza dedykowana do hodowli komórek. Zeszyty Problemowe Maszyny Elektryczne 2012, 4, 11–16. [Google Scholar]
- Kimsa-Dudek, M.; Synowiec-Wojtarowicz, A.; Derewniuk, M.; Paul-Samojedny, M.; Pawłowska-Góral, K. The effect of simultaneous exposure of human fibroblasts to fluoride and moderate intensity static magnetic fields. Int. J. Radiat. Biol. 2019, 95, 1581–1587. [Google Scholar] [CrossRef] [PubMed]
- Dini, L.; Abbro, L. Bioeffects of moderate-intensity static magnetic fields on cell cultures. Micron 2005, 36, 195–217. [Google Scholar] [CrossRef] [PubMed]
- Schmittgen, T.D.; Livak, K.J. Analyzing real-time PCR data by the comparative C(T) method. Nat. Protoc. 2008, 3, 1101–1108. [Google Scholar] [CrossRef] [PubMed]
- St Laurent, G.; Shtokalo, D.; Tackett, M.R.; Yang, Z.; Vyatkin, Y.; Milos, P.M.; Seilheimer, B.; McCaffrey, T.A.; Kapranov, P. On the importance of small changes in RNA expression. Methods 2013, 63, 18–24. [Google Scholar] [CrossRef] [PubMed]
- Mi, H.; Muruganujan, A.; Casagrande, J.T.; Thomas, P.D. Large-scale gene function analysis with the PANTHER classification system. Nat. Protoc. 2013, 8, 1551–1566. [Google Scholar] [CrossRef]
- Mańka, S.; Majewska, E. Immunoregulatory action of melatonin. The mechanism of action and the effect on inflammatory cells. Postepy Hig. Med. Dosw. (Online) 2016, 70, 1059–1067. [Google Scholar] [CrossRef] [PubMed]
- Hall, A.O.; Silver, J.S.; Hunter, C.A. The immunobiology of IL-27. Adv. Immunol. 2012, 115, 1–44. [Google Scholar] [PubMed]
- Jones, G.W.; Hill, D.G.; Cardus, A.; Jones, S.A. IL-27: A double agent in the IL-6 family. Clin. Exp. Immunol. 2018, 193, 37–46. [Google Scholar] [CrossRef] [PubMed] [Green Version]
- Chen, L.; Kuang, P.; Liu, H.; Wei, Q.; Cui, H.; Fang, J.; Zuo, Z.; Deng, J.; Li, Y.; Wang, X.; et al. Sodium Fluoride (NaF) Induces Inflammatory Responses Via Activating MAPKs/NF-κB Signaling Pathway and Reducing Anti-inflammatory Cytokine Expression in the Mouse Liver. Biol. Trace Elem. Res. 2019, 189, 157–171. [Google Scholar] [CrossRef] [PubMed]
- Wang, S.; Li, F.; Lin, Y.; Wu, B. Targeting REV-ERBα for therapeutic purposes: Promises and challenges. Theranostics 2020, 10, 4168–4182. [Google Scholar] [CrossRef] [PubMed]
- Chen, R.; Kang, R.; Fan, X.G.; Tang, D. Release and activity of histone in diseases. Cell Death Dis. 2014, 5, e1370. [Google Scholar] [CrossRef] [PubMed] [Green Version]
- Hoeksema, M.; van Eijk, M.; Haagsman, H.P.; Hartshorn, K.L. Histones as mediators of host defense, inflammation and thrombosis. Future Microbiol. 2016, 11, 441–453. [Google Scholar] [CrossRef] [PubMed] [Green Version]
- Etienne, W.; Meyer, M.H.; Peppers, J.; Meyer, R.A., Jr. Comparison of mRNA gene expression by RT-PCR and DNA microarray. Biotechniques 2004, 36, 618–620. [Google Scholar] [CrossRef] [PubMed] [Green Version]
- Dallas, P.B.; Gottardo, N.G.; Firth, M.J.; Beesley, A.H.; Hoffmann, K.; Terry, P.A.; Freitas, J.R.; Boag, J.M.; Cummings, A.J.; Kees, U.R. Gene expression levels assessed by oligonucleotide microarray analysis and quantitative real-time RT-PCR—How well do they correlate? BMC Genom. 2005, 6, 59. [Google Scholar] [CrossRef] [PubMed] [Green Version]
- Kasai, H.; Kawai, K. 8-Hydroxyguanine, an Oxidative DNA and RNA Modification. In Modified Nucleic Acids in Biology and Medicine; RNA Technologies; Jurga, S., Erdmann, V., Barciszewski, J., Eds.; Springer: Cham, switzerland, 2016. [Google Scholar]



| ID mRNA | Gene Symbol | Gene Name | F vs. C | SMF vs. C | SMF + F vs. F |
|---|---|---|---|---|---|
| FC | |||||
| 205926_at | IL27RA | interleukin 27 receptor subunit alpha | 1.13↑ * | 1.22↑ * | 1.01↓ |
| 204760_s_at | NR1D1 | nuclear receptor subfamily 1 group D member 1 | 1.08↓ | 1.23↑ * | 1.14↑ |
| 202937_x_at | RRP7A | ribosomal RNA processing 7 homolog A | 1.05↑ | 1.19↑ * | 1.04↓ |
| 33307_at | RRP7A | ribosomal RNA processing 7 homolog A | 1.02↑ | 1.11↑ * | 1.03↓ |
| 214733_s_at | YIPF1 | yip1 domain family member 1 | 1.05↑ | 1.11↑ * | 1.02↓ |
| 222067_x_at | HIST1H2BD | histone H2B type 1-D | 1.03↑ | 1.03↑ | 1.14↓ # |
| Gene Symbol | Gene Name | F vs. C | SMF vs. C | SMF + F vs. F |
|---|---|---|---|---|
| FC | ||||
| IL27RA | interleukin 27 receptor subunit alpha | 1.51↑ | 1.05↑ | 1.91↓ |
| NR1D1 | nuclear receptor subfamily 1 group D member 1 | 1.84↓ | 1.16↓ | 1.05↑ |
| Biological Processes | p-Value |
|---|---|
| cellular response to a chemical stimulus (GO:0070887) | 0.0047 |
| cellular response to an organic substance (GO:0071310) | 0.0030 |
| hormone-mediated signaling pathway (GO:0009755) | 0.0079 |
| leukocyte cell–cell adhesion (GO:0007159) | 0.0076 |
| leukocyte proliferation (GO:0070661) | 0.0089 |
| lymphocyte proliferation (GO:0046651) | 0.0089 |
| mononuclear cell proliferation (GO:0032943) | 0.0089 |
| positive regulation of cell adhesion (GO:0045785) | 0.0064 |
| positive regulation of cell–cell adhesion (GO:0022409) | 0.0047 |
| positive regulation of leukocyte cell–cell adhesion (GO:1903039) | 0.0041 |
| positive regulation of T cell activation (GO:0050870) | 0.0041 |
| positive regulation of T cell proliferation (GO:0042102) | 0.0023 |
| regulation of cell–cell adhesion (GO:0022407) | 0.0085 |
| regulation of leukocyte cell–cell adhesion (GO:1903037) | 0.0068 |
| regulation of leukocyte proliferation (GO:0070663) | 0.0056 |
| regulation of lymphocyte proliferation (GO:0050670) | 0.0056 |
| regulation of mononuclear cell proliferation (GO:0032944) | 0.0056 |
| regulation of T cell activation (GO:0050863) | 0.0072 |
| regulation of T cell proliferation (GO:0042129) | 0.0045 |
| response to a chemical (GO:0042221) | 0.0091 |
| response to an organic substance (GO:0010033) | 0.0041 |
| T cell proliferation (GO:0042098) | 0.0045 |
Publisher’s Note: MDPI stays neutral with regard to jurisdictional claims in published maps and institutional affiliations. |
© 2021 by the authors. Licensee MDPI, Basel, Switzerland. This article is an open access article distributed under the terms and conditions of the Creative Commons Attribution (CC BY) license (https://creativecommons.org/licenses/by/4.0/).
Share and Cite
Kruszniewska-Rajs, C.; Synowiec-Wojtarowicz, A.; Gola, J.; Kimsa-Dudek, M. Expression of the Melatonin-Associated Genes in Fibroblasts That Have Been Co-Exposed to Fluoride and a Moderate-Strength Static Magnetic Field. Appl. Sci. 2021, 11, 8810. https://doi.org/10.3390/app11198810
Kruszniewska-Rajs C, Synowiec-Wojtarowicz A, Gola J, Kimsa-Dudek M. Expression of the Melatonin-Associated Genes in Fibroblasts That Have Been Co-Exposed to Fluoride and a Moderate-Strength Static Magnetic Field. Applied Sciences. 2021; 11(19):8810. https://doi.org/10.3390/app11198810
Chicago/Turabian StyleKruszniewska-Rajs, Celina, Agnieszka Synowiec-Wojtarowicz, Joanna Gola, and Magdalena Kimsa-Dudek. 2021. "Expression of the Melatonin-Associated Genes in Fibroblasts That Have Been Co-Exposed to Fluoride and a Moderate-Strength Static Magnetic Field" Applied Sciences 11, no. 19: 8810. https://doi.org/10.3390/app11198810
APA StyleKruszniewska-Rajs, C., Synowiec-Wojtarowicz, A., Gola, J., & Kimsa-Dudek, M. (2021). Expression of the Melatonin-Associated Genes in Fibroblasts That Have Been Co-Exposed to Fluoride and a Moderate-Strength Static Magnetic Field. Applied Sciences, 11(19), 8810. https://doi.org/10.3390/app11198810

