Voluntary Muscle Contraction Detection Algorithm Based on LSTM for Muscle Quality Measurement Algorithm
Abstract
:1. Introduction
2. Method
2.1. Preprocessing
2.2. Feature Extraction
| Algorithm 1 Procedure for PoSCS extraction |
|
|
2.3. LSTM Training and Classification
3. Result
3.1. Statistics
3.2. Data Collection Protocol and Data Sets
3.3. Preprocessing and Data Analysis
3.4. VNVMC Classification
4. Discussion
5. Conclusions
Author Contributions
Funding
Institutional Review Board Statement
Informed Consent Statement
Data Availability Statement
Acknowledgments
Conflicts of Interest
Abbreviations
| MC | muscle contraction |
| MQ | muscle quality |
| TUG | timed up and go test |
| FTSST | five times sit to stand test |
| EMG | electromyography |
| ES | electrical stimulation |
| IR | impact response |
| AI | artificial intelligence |
| DBM | digital biomarker |
| VNV | voluntary and non-voluntary |
| VNVMC | voluntary and non-voluntary muscle contraction |
| ESS | ES suppression |
| PoSCS | percentile of spectral cumulative sum |
| SCS | spectral cumulative sum |
| DFT | discrete Fourier transform |
| SCSyV | SCS y-axis value |
| LSTM | long–short-term memory |
| DNN | deep neural network |
| SD | standard deviation |
| ELU | exponential linear unit |
| SVM | support vector machine |
| ANN | artificial neural network |
| DNN | deep neural network |
| ROC | receiver operating characteristic |
| AUC | area under of the ROC curve |
References
- Bulley, S.; Pena, C.F.; Hasan, R.; Leo, M.D.; Muralidharan, P.; Mackey, C.E.; Evanson, K.W.; Junior, L.M.; Daboin, A.M.; Burris, S.K.; et al. Arterial smooth muscle cell PKD2 (TRPP1) channels regulate systemic blood pressure. Neurosci. Phys. Living Syst. 2018, 7, e42628. [Google Scholar]
- Dhingra, A.; Jayas, R.; Afshar, P.; Guberman, M.; Maddaford, G.; Gerstein, J.; Lieberman, B.; Nepon, H.; Margulets, V.; Dhingra, R.; et al. Ellagic acid antagonizes Bnip3-mediated mitochondrial injury and necrotic cell death of cardiac myocytes. Free Radic. Biol. Med. 2017, 122, 411–422. [Google Scholar] [CrossRef] [PubMed]
- Brazhe, N.A.; Nikelshparg, E.I.; Prats, C.; Dela, F.; Sosnovtseva, O. Raman probing of lipids, proteins, and mitochondria in skeletal myocytes: A case study on obesity. Raman Spectrosc. 2017, 48, 1158–1165. [Google Scholar] [CrossRef]
- Christiansen, D.; Maclnnis, M.J.; Zacharewicz, E.; Xu, H.; Frankish, B.P.; Murphy, R.M. A fast, reliable and sample-sparing method to identify fibre types of single muscle fibres. Sci. Rep. 2019, 9, 1–10. [Google Scholar]
- Coggan, A.R.; Peterson, L.R. Dietary nitrate enhances the contractile properties of human skeletal muscle. Exerc. Sport Sci. Rev. 2018, 46, 254–261. [Google Scholar] [CrossRef] [Green Version]
- Wendowski, O.; Redshaw, Z.; Mutungi, G. Dihydrotestosterone treatment rescues the decline in protein synthesis as a result of sarcopenia in isolated mouse skeletal muscle fibres. J. Cachexia Sarcopenia Muscle 2016, 8, 48–56. [Google Scholar] [CrossRef] [Green Version]
- Bahat, G.; Yilmaz, O.; Kilic, C.; Oren, M.M.; Karan, M.A. Performance of SARC-F in regard to sarcopenia definitions, muscle mass and functional measures. J. Nutr. Health Aging 2018, 22, 898–903. [Google Scholar] [CrossRef]
- Mayhew, A.J.; Raina, P. Sarcopenia: New definitions, same limitations. Age Ageing 2019, 48, 613–614. [Google Scholar] [CrossRef] [PubMed]
- Lam, M.; Lamanna, E.; Bourke, J.E. Regulation of airway smooth muscle contraction in health and disease. Smooth Muscle Spontaneous Act. 2019, 381–422. [Google Scholar]
- Liaw, M.-Y.; Hsu, C.-H.; Leong, C.-P.; Liao, C.-Y.; Wang, L.-Y.; Lu, C.-H.; Lin, M.-C. Respiratory muscle training in stroke patients with respiratory muscle weakness, dysphagia, and dysarthria—A prospective randomized trial. Medicine 2020, 99, e19337. [Google Scholar] [CrossRef] [PubMed]
- Fragala, M.S.; Kenny, A.M.; Kuchel, G.A. Muscle quality in aging: A multi-dimensional approach to muscle functioning with applications for treatment. Sport. Med. 2015, 45, 641–658. [Google Scholar] [CrossRef]
- Baroni, B.M.; Ruas, C.V.; Ribeiro-Alvares, J.B.; Pinto, R.S. Hamstring-to-quadriceps torque ratios of professional male soccer players: A systematic review. J. Strength Cond. Res. 2020, 34, 281–293. [Google Scholar] [CrossRef] [PubMed]
- Fudickar, S.; Hellmers, S.; Lau, S.; Diekmann, R.; Bauer, J.M.; Hein, A. Measurement system for unsupervised standardized assessment of timed up and go and five times sit to stand test in the community—A validity study. Sensors 2020, 10, 2824. [Google Scholar] [CrossRef]
- Ibrahim, A.; Singh, D.K.A.; Shahar, S. Timed up and go test: Age, gender and cognitive impairment stratified normative values of older adults. PLoS ONE 2017, 12, e0185641. [Google Scholar] [CrossRef] [PubMed]
- Smith, S.R.; Wood, G.; Coyles, G.; Roberts, J.W.; Wakefield, C.J. The effect of action observation and motor imagery combinations on upper limb kinematics and EMG during dart-throwing. Scand. J. Med. Sci. Sport. 2019, 29, 1917–1929. [Google Scholar] [CrossRef] [PubMed]
- Kurtoglu, A.; Konar, N. A comparison of some anthropometric and motor features of visually impaired students who play sports and those who do not play sports in schools for the visually impaired in turkey. Eur. J. Phys. Educ. Sport Sci. 2021, 7, 56–68. [Google Scholar] [CrossRef]
- Harb, A.; Kishner, S. Modified Ashworth scale. Stat Pearls 2021. Available online: https://www.ncbi.nlm.nih.gov/books/NBK554572/ (accessed on 2 August 2021).
- Merletti, R.; Farina, D. Surface Electromyography: Physiology, Engineering, and Applications; John Wiley & Sons: Hoboken, NJ, USA, 2016; ISBN 978-1-118-98702-5. [Google Scholar]
- Mahapatra, R.K.; Shet, N.S.V. Localization based on RSSI exploiting Gaussian and averaging filter in wireless sensor network. Scand. J. Med. Sci. Sport. 2018, 43, 4145–4159. [Google Scholar] [CrossRef]
- Karthick, P.A.; Ghosh, D.M.; Ramakrishnan, S. Surface electromyography based muscle fatigue detection using high-resolution time-frequency methods and machine learning algorithms. Comput. Methods Programs Biomed. 2018, 154, 45–56. [Google Scholar] [CrossRef] [PubMed]
- Song, X.; Liu, Y.; Xue, L.; Wang, J.; Zhang, J.; Wang, J.; Jiang, L.; Cheng, Z. Time-series well performance prediction based on long short-term memory (LSTM) neural network model. J. Pet. Sci. Eng. 2020, 186, 8604–8608. [Google Scholar] [CrossRef]
- Deng, L.; Li, J.; Huang, J.-T.; Yao, K.; Yu, D.; Seide, F.; Seltzer, M.; Zweig, G.; He, X.; Williams, J.; et al. Recent advances in deep learning for speech research at microsoft. In Proceedings of the 2013 IEEE International Conference on Acoustics, Speech and Signal Processing, Vancouver, BC, Canada, 26–30 May 2013; pp. 8604–8608. [Google Scholar]
- Park, K.; Choi, Y.; Choi, W.J.; Ryu, H.-Y.; Kim, H. LSTM-based battery remaining useful life prediction with multi-channel charging profiles. IEEE Access 2020, 8, 20786–20798. [Google Scholar] [CrossRef]
- Nasr, G.E.; Badr, E.A.; Joun, C. Cross entropy error function in neural networks: Forecasting gasoline demand. Am. Assoc. Artif. Intell. 2002, 381–384. [Google Scholar]
- Wang, Z.; Wu, J.; Xin, R.; Bai, T.; Zhao, J.; Wei, M.; Li, J.; Zhuang, L. The power of short-term load algorithm based on LSTM. In Proceedings of the IOP Conference Series: Earth and Environmental Science, Changchun, China, 21–23 August 2020. [Google Scholar] [CrossRef]
- IBM SPSS Statistics for Windows Version 21.0. 2012. Available online: https://www.ibm.com/support/pages/spss-statistics-210-available-download (accessed on 23 June 2021).
- Nazmi, N.; Rahman, M.A.A.; Yamamoto, S.-I.; Ahmad, S.A.; Malarvili, M.B.; Mazlan, S.A.; Zamzuri, H. Assessment on stationarity of EMG signals with different windows size during isotonic contractions. Appl. Sci. 2017, 7, 1050. [Google Scholar] [CrossRef] [Green Version]
- Chen, C.; Guo, W.; Ma, C.; Yang, Y.; Wang, Z.; Lin, C. sEMG-Based continuous estimation of finger kinematics via large-scale temporal convolutional network. Appl. Sci. 2021, 11, 4678. [Google Scholar] [CrossRef]
- Chen, X.; Wang, Z.J. Pattern recognition of number gestures based on a wireless surface EMG system. Biomed. Signal Process. Control. 2013, 8, 184–192. [Google Scholar] [CrossRef]
- Belbasis, A.; Fuss, F.K. Muscle performance investigated with a novel smart compression garment based on pressure sensor force myography an its validation against EMG. Front. Physiol. 2018, 9, 408. [Google Scholar] [CrossRef] [PubMed] [Green Version]
- Putra, D.S.; Ihsan, M.A.; Kuraesin, A.D.; Daengs, A.; Iswara, I.B.A.I.; Mustakim. Electromyography (EMG) signal classification for wrist movement using naïve bayes classifier. Conf. Adv. Sci. Innov. 2019, 1424. [Google Scholar] [CrossRef]
- Rabin, N.; Kahlon, M.; Malayev, S.; Ratnovsky, A. Classification of human hand movements based on EMG signals using nonlinear dimensionality reduction and data fusion techniques. Expert Syst. Appl. 2020, 149, 113281. [Google Scholar] [CrossRef]










| DB Set | Measurement | Conventional Model | Proposed Model | |||||||
|---|---|---|---|---|---|---|---|---|---|---|
| SVM | ANN | DNN | LSTM | |||||||
| V | NV | V | NV | V | NV | V | NV | |||
| Set1 | Ref | V | 62.04% | 37.96% | 77.67% | 22.33% | 81.95% | 18.05% | 89.97% | 10.03% |
| NV | 33.25% | 66.75% | 22.82% | 77.18% | 18.82% | 81.18% | 9.98% | 90.02% | ||
| - | AUC | 0.71 | 0.87 | 0.89 | 0.97 | |||||
| TA | 65.47% | 77.31% | 81.39% | 90.01% | ||||||
| Set2 | Ref | V | 72.66% | 27.34% | 75.64% | 24.36% | 74.39% | 25.61% | 82.80% | 17.20% |
| NV | 30.11% | 69.89% | 28.92% | 71.08% | 25.47% | 74.53% | 17.17% | 82.83% | ||
| - | AUC | 0.79 | 0.82 | 0.83 | 0.91 | |||||
| TA | 70.63% | 72.29% | 74.49% | 82.82% | ||||||
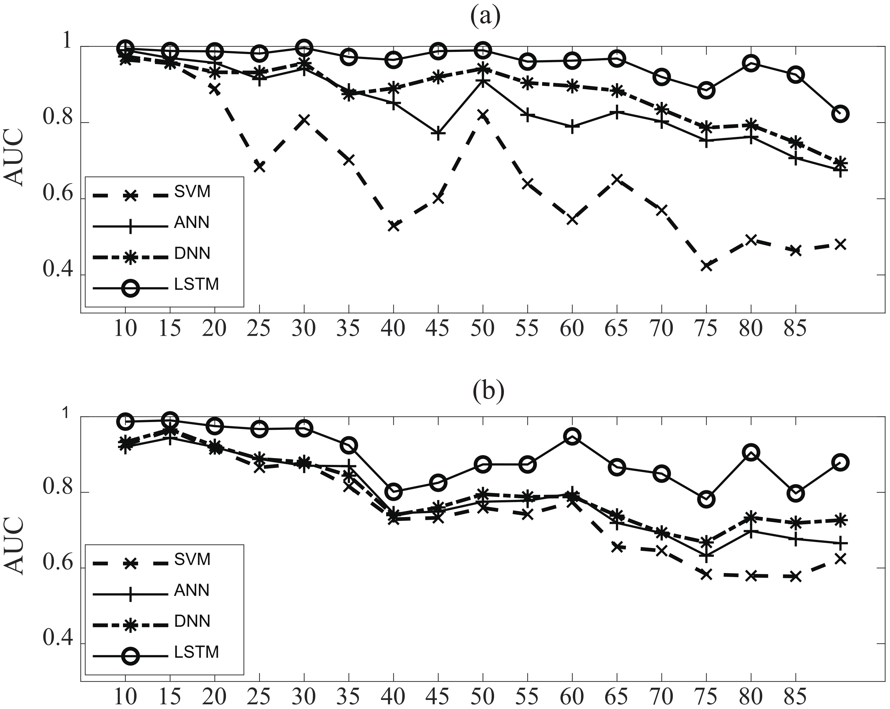
| Freq | Set1 | Set2 | ||||||
|---|---|---|---|---|---|---|---|---|
| SVM | ANN | DNN | LSTM | SVM | ANN | DNN | LSTM | |
| 10 Hz | 0.96 | 0.99 | 0.97 | 0.99 | 0.93 | 0.92 | 0.93 | 0.99 |
| 15 Hz | 0.96 | 0.97 | 0.96 | 0.99 | 0.96 | 0.94 | 0.97 | 0.99 |
| 20 Hz | 0.89 | 0.96 | 0.93 | 0.99 | 0.91 | 0.92 | 0.92 | 0.98 |
| 25 Hz | 0.68 | 0.91 | 0.93 | 0.98 | 0.87 | 0.89 | 0.89 | 0.97 |
| 30 Hz | 0.81 | 0.94 | 0.96 | 1.00 | 0.88 | 0.87 | 0.88 | 0.97 |
| 35 Hz | 0.70 | 0.88 | 0.87 | 0.97 | 0.82 | 0.87 | 0.84 | 0.92 |
| 40 Hz | 0.53 | 0.85 | 0.89 | 0.96 | 0.73 | 0.74 | 0.74 | 0.80 |
| 45 Hz | 0.60 | 0.77 | 0.92 | 0.99 | 0.73 | 0.75 | 0.76 | 0.83 |
| 50 Hz | 0.82 | 0.91 | 0.94 | 0.99 | 0.76 | 0.78 | 0.79 | 0.87 |
| 55 Hz | 0.64 | 0.82 | 0.90 | 0.96 | 0.74 | 0.78 | 0.79 | 0.87 |
| 60 Hz | 0.55 | 0.79 | 0.90 | 0.96 | 0.77 | 0.80 | 0.79 | 0.95 |
| 65 Hz | 0.65 | 0.83 | 0.88 | 0.97 | 0.66 | 0.72 | 0.74 | 0.87 |
| 70 Hz | 0.57 | 0.80 | 0.83 | 0.92 | 0.65 | 0.69 | 0.69 | 0.85 |
| 75 Hz | 0.42 | 0.75 | 0.79 | 0.88 | 0.58 | 0.63 | 0.67 | 0.78 |
| 80 Hz | 0.49 | 0.76 | 0.79 | 0.96 | 0.58 | 0.70 | 0.73 | 0.91 |
| 85 Hz | 0.46 | 0.71 | 0.75 | 0.93 | 0.58 | 0.68 | 0.72 | 0.80 |
| 90 Hz | 0.48 | 0.68 | 0.69 | 0.82 | 0.62 | 0.67 | 0.73 | 0.88 |
Publisher’s Note: MDPI stays neutral with regard to jurisdictional claims in published maps and institutional affiliations. |
© 2021 by the authors. Licensee MDPI, Basel, Switzerland. This article is an open access article distributed under the terms and conditions of the Creative Commons Attribution (CC BY) license (https://creativecommons.org/licenses/by/4.0/).
Share and Cite
Song, K.; Choi, S.; Lee, H. Voluntary Muscle Contraction Detection Algorithm Based on LSTM for Muscle Quality Measurement Algorithm. Appl. Sci. 2021, 11, 8676. https://doi.org/10.3390/app11188676
Song K, Choi S, Lee H. Voluntary Muscle Contraction Detection Algorithm Based on LSTM for Muscle Quality Measurement Algorithm. Applied Sciences. 2021; 11(18):8676. https://doi.org/10.3390/app11188676
Chicago/Turabian StyleSong, Kwangsub, Sangui Choi, and Hooman Lee. 2021. "Voluntary Muscle Contraction Detection Algorithm Based on LSTM for Muscle Quality Measurement Algorithm" Applied Sciences 11, no. 18: 8676. https://doi.org/10.3390/app11188676
APA StyleSong, K., Choi, S., & Lee, H. (2021). Voluntary Muscle Contraction Detection Algorithm Based on LSTM for Muscle Quality Measurement Algorithm. Applied Sciences, 11(18), 8676. https://doi.org/10.3390/app11188676

