Impact of Soil Aeration on the Environmental Fate of Pre-Emergent Herbicide Metolachlor
Abstract
Featured Application
Abstract
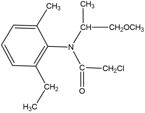
1. Introduction
2. Materials and Methods
2.1. Chemicals and Reagents
2.2. Soils
2.3. Adsorption-Desorption Study
2.4. Degradation Study
2.5. Soil Sampling and Analysis
2.6. Data Analysis
3. Results
3.1. Adsorption-Desorption
3.2. Degradation
3.3. Microbial Mineralization
4. Discussion
4.1. Adsorption-Desorption
4.2. Degradation
4.3. Microbial Mineralization
5. Conclusions and Future Directions
Author Contributions
Funding
Institutional Review Board Statement
Informed Consent Statement
Data Availability Statement
Conflicts of Interest
References
- EXTOXNET: Extension Toxicology Network: Pesticide Information Profile Metolachlor. 1994. Available online: http://extoxnet.orst.edu/pips/metolach.htm (accessed on 1 June 2021).
- Fernandez-Cornejo, J.; Nehring, R.F.; Osteen, C.; Wechsler, S.; Martin, A.; Vialou, A. Pesticide use in US agriculture: 21 selected crops, 1960–2008. USDA-ERS Econ. Inf. Bull. 2014, 124, 16. [Google Scholar]
- United States Geographical Survey: Estimated Annual Agricultural Pesticide Use: Pesticide National Synthesis Project. 2017. Available online: https://water.usgs.gov/nawqa/pnsp/usage/maps/show_map.php?year=2017&map=METOLACHLORS&hilo=L (accessed on 15 June 2021).
- Sexstone, A.J.; Parkin, T.B.; Tiedje, J.M. Temporal response of soil denitrification rates to rainfall and irrigation. Soil Sci. Soc. Am. J. 1985, 49, 99. [Google Scholar] [CrossRef]
- Sims, G.K.; Kanissery, R.G. Factors controlling herbicide transformation under anaerobic conditions. Environ. Res. J. 2012, 6, 355–373. [Google Scholar]
- Ghosh, R.K.; Singh, N. Sorption of metolachlor and atrazine in fly ash amended soils: Comparison of optimized isotherm models. J. Environ. Sci. Health Part B 2012, 47, 718–727. [Google Scholar] [CrossRef]
- Accinelli, C.; Mallegni, R.; Screpanti, C.; Vicari, A. Factors influencing field-scale variability of metolachlor persistence in soil. In Pesticide in Air, Plant, Soil & Water System: Proceedings of the XII Symposium Pesticide Chemistry, Piacenza, Italy, 4–6 June 2003; La Goliardica Pavese: Pavia, Italy, 2003; pp. 203–209. [Google Scholar]
- Rice, P.J.; Anderson, T.A.; Coats, J.R. Degradation and persistence of metolachlor in soil: Effects of concentration, soil moisture, soil depth, and sterilization. Environ. Toxicol. Chem. Int. J. 2002, 21, 2640–2648. [Google Scholar] [CrossRef]
- Alexander, M.; Lustigman, B. Effect of chemical structure on microbial degradation of substituted benzenes. J. Agric. Food Chem. 1966, 14, 410–413. [Google Scholar] [CrossRef]
- Stamper, D.M.; Tuovinen, O.H. Biodegradation of the acetanilide herbicides alachlor, metolachlor, and propachlor. Crit. Rev. Microbiol. 1998, 24, 1–22. [Google Scholar] [CrossRef] [PubMed]
- Krutz, L.; Senseman, S.; McInnes, K.; Hoffman, D.; Tierney, D. Adsorption and desorption of metolachlor and metolachlor metabolites in vegetated filter strip and cultivated soil. J. Environ. Qual. 2004, 33, 939–945. [Google Scholar] [CrossRef]
- Si, Y.; Takagi, K.; Iwasaki, A.; Zhou, D. Adsorption, desorption and dissipation of metolachlor in surface and subsurface soils. Pest Manag. Sci. Former. Pestic. Sci. 2009, 65, 956–962. [Google Scholar] [CrossRef]
- Bedmar, F.; Daniel, P.E.; Costa, J.L.; Giménez, D. Sorption of acetochlor, S-metolachlor, and atrazine in surface and subsurface soil horizons of Argentina. Environ. Toxicol. Chem. 2011, 30, 1990–1996. [Google Scholar] [CrossRef] [PubMed]
- USEPA. Fate, Transport and Transformation Test Guidelines (OPPTS 835.1230 544 Adsorption/Desorption Batch Equilibrium); US Government Printing 545 Office: Washington, DC, USA, 2008.
- Seybold, C.; Mersie, W. Adsorption and Desorption of Atrazine, Deethylatrazine, Deisopropylatrazine, Hydroxyatrazine, and Metolachlor in Two Soils from Virginia; 0047-2425; Wiley Online Library: Hoboken, NJ, USA, 1996. [Google Scholar]
- Zhu, H.; Selim, H. Hysteretic behavior of metolachlor adsorption-desorption in soils. Soil Sci. 2000, 165, 632–645. [Google Scholar] [CrossRef]
- Patakioutas, G.; Albanis, T.A. Adsorption–desorption studies of alachlor, metolachlor, EPTC, chlorothalonil and pirimiphos-methyl in contrasting soils. Pest Manag. Sci. Former. Pestic. Sci. 2002, 58, 352–362. [Google Scholar] [CrossRef]
- Wu, X.; Li, M.; Long, Y.; Liu, R.; Yu, Y.; Fang, H.; Li, S. Effects of adsorption on degradation and bioavailability of metolachlor in soil. J. Soil Sci. Plant Nutr. 2011, 11, 83–97. [Google Scholar]
- Clausen, L.; Larsen, F.; Albrechtsen, H.-J. Sorption of the herbicide dichlobenil and the metabolite 2, 6-dichlorobenzamide on soils and aquifer sediments. Environ. Sci. Technol. 2004, 38, 4510–4518. [Google Scholar] [CrossRef]
- Wahid, P.; Sethunathan, N. Sorption-desorption of lindane by anaerobic and aerobic soils. J. Agric. Food Chem. 1980, 28, 623–625. [Google Scholar] [CrossRef]
- Chesters, G.; Simsiman, G.V.; Levy, J.; Alhajjar, B.J.; Fathulla, R.N.; Harkin, J.M. Environmental fate of alachlor and metolachlor. Rev. Environ. Contam. Toxicol. 1989, 110, 1–74. [Google Scholar] [PubMed]
- Seybold, C.; Mersie, W.; McNamee, C. Anaerobic degradation of atrazine and metolachlor and metabolite formation in wetland soil and water microcosms. J. Environ. Qual. 2001, 30, 1271–1277. [Google Scholar] [CrossRef] [PubMed]
- Kollman, W.; Segawa, R. Pest chemistry database. In Environmental Hazards Assessment Program; California Department of Pesticide Regulation: Sacramento, CA, USA, 2000. [Google Scholar]
- Walker, A.; Brown, P.A. The relative persistence in soil of five acetanilide herbicides. Bull. Environ. Contam. Toxicol. 1985, 34, 143–149. [Google Scholar] [CrossRef]
- Accinelli, C.; Screpanti, C.; Vicari, A. Influence of flooding on the degradation of linuron, isoproturon and metolachlor in soil. Agron. Sustain. Dev. 2005, 25, 401–406. [Google Scholar] [CrossRef]
- Sanyal, D.; Yaduraju, N.; Kulshrestha, G. Metolachlor persistence in laboratory and field soils under Indian tropical conditions. J. Environ. Sci. Health Part B 2000, 35, 571–583. [Google Scholar] [CrossRef]
- Mulbah, C.; Porthouse, J.; Jugsujinda, A.; De Laune, R.; Johnson, A.B. Impact of redox conditions on metolachlor and metribuzin degradation in Mississippi flood plain soils. J. Environ. Sci. Health Part B 2000, 35, 689–704. [Google Scholar] [CrossRef]
- Kotoula-Syka, E.; Hatzios, K.K.; Berry, D.F.; Wilson, H.P. Degradation of acetanilide herbicides in history and nonhistory soils from eastern Virginia. Weed Technol. 1997, 11, 403–409. [Google Scholar] [CrossRef]
- Krutz, L.J.; Gentry, T.J.; Senseman, S.A.; Pepper, I.L.; Tierney, D.P. Mineralisation of atrazine, metolachlor and their respective metabolites in vegetated filter strip and cultivated soil. Pest Manag. Sci. Former. Pestic. Sci. 2006, 62, 505–514. [Google Scholar] [CrossRef] [PubMed]
- Henderson, K.L.; Belden, J.B.; Coats, J.R. Mass balance of metolachlor in a grassed phytoremediation system. Environ. Sci. Technol. 2007, 41, 4084–4089. [Google Scholar] [CrossRef] [PubMed][Green Version]
- Miller, J.L. Degradation of Atrazine, Metolachlor, and Primisulfuron in Soil from Four Depths in a Dothan Loamy Sand; North Carolina State University: Raleigh, NC, USA, 1992. [Google Scholar]
- Rice, P.J. The Persistence, Degradation, and Mobility of Metolachlor in Soil and the Fate of Metolachlor and Atrazine in Surface Water, Surface Water/Sediment, and Surface Water/Aquatic Plant Systems; Iowa State University: Ames, IA, USA, 1996. [Google Scholar]
- Fenlon, K.A.; Jones, K.C.; Semple, K.T. Development of microbial degradation of cypermethrin and diazinon in organically and conventionally managed soils. J. Environ. Monit. 2007, 9, 510–515. [Google Scholar] [CrossRef]
- Cheyns, K.; Martin-Laurent, F.; Bru, D.; Aamand, J.; Vanhaecke, L.; Diels, J.; Merckx, R.; Smolders, E.; Springael, D. Long-term dynamics of the atrazine mineralization potential in surface and subsurface soil in an agricultural field as a response to atrazine applications. Chemosphere 2012, 86, 1028–1034. [Google Scholar] [CrossRef] [PubMed]


| Soil | pH | Texture (%) | WHC (%) | CEC (Cmolc Kg−1) | Organic Matter (%) | ||
|---|---|---|---|---|---|---|---|
| Sand | Silt | Clay | |||||
| Catlin | 7.6 | 10 | 58 | 32 | 31.4 | 13.9 | 3.3 |
| Flanagan | 6.5 | 12 | 56 | 32 | 32.0 | 17.5 | 3.7 |
| Drummer | 7.1 | 14 | 46 | 40 | 33.0 | 23.8 | 4.9 |
| Soil | Kads | 1/nads | R2 | |||
|---|---|---|---|---|---|---|
| Aer | An | Aer | An | Aer | An | |
| Catlin | 1.23 e† (±0.04) * | 1.04 f (±0.02) | 0.69 (±0.03) | 0.91 (±0.02) | 1.00 | 0.96 |
| Flanagan | 3.50 c (±0.05) | 2.16 d (±0.03) | 0.82 (±0.03) | 0.89 (±0.01) | 1.00 | 0.99 |
| Drummer | 5.85 a (±0.08) | 4.54 b (±0.07) | 0.78 (±0.03) | 0.80 (±0.02) | 1.00 | 1.00 |
| Soil | Kdes | 1/ndes | R2 | |||
|---|---|---|---|---|---|---|
| Aer | An | Aer | An | Aer | An | |
| Catlin | 3.11 e† (±0.04) * | 2.75 f (±0.03) | 0.21 (±0.002) | 0.30 (±0.004) | 0.94 | 0.90 |
| Flanagan | 7.63 c (±0.03) | 5.52 d (±0.03) | 0.21 (±0.006) | 0.16 (±0.011) | 0.92 | 0.85 |
| Drummer | 11.13 a (±0.04) | 9.95 b (±0.03) | 0.16 (±0.002) | 0.09 (±0.028) | 0.92 | 0.80 |
| Soil | k (day−1) | T1/2 (days) | R2 | Degradation ‡ | Mineralization # | |||||
|---|---|---|---|---|---|---|---|---|---|---|
| Aer | An | Aer | An | Aer | An | Aer | An | Aer | An | |
| Catlin | 0.0048 (0.0018) * | 0.0093 (0.0017) | 144 b† (388) | 75 d (415) | 0.88 (0.85) | 0.89 (0.88) | 42.19 (67.99) | 20.20 (69.96) | 8.8 (ND) | 13.1 (ND) |
| Flanagan | 0.0045 (0.0014) | 0.0088 (0.0010) | 154 a (487) | 79 d (675) | 0.92 (0.57) | 0.93 (0.81) | 43.05 (74.02) | 22.14 (78.4) | 9.1 (ND) | 14.2 (ND) |
| Drummer | 0.0059 (0.0022) | 0.0107 (0.0024) | 117 c (314) | 65 e (288) | 0.82 (0.86) | 0.95 (0.88) | 31.00 (66.30) | 19.92 (62.01) | 11.0 (ND) | 16.5 (ND) |
Publisher’s Note: MDPI stays neutral with regard to jurisdictional claims in published maps and institutional affiliations. |
© 2021 by the authors. Licensee MDPI, Basel, Switzerland. This article is an open access article distributed under the terms and conditions of the Creative Commons Attribution (CC BY) license (https://creativecommons.org/licenses/by/4.0/).
Share and Cite
Kanissery, R.; Liu, W.; Tiwari, R.; Sims, G. Impact of Soil Aeration on the Environmental Fate of Pre-Emergent Herbicide Metolachlor. Appl. Sci. 2021, 11, 8567. https://doi.org/10.3390/app11188567
Kanissery R, Liu W, Tiwari R, Sims G. Impact of Soil Aeration on the Environmental Fate of Pre-Emergent Herbicide Metolachlor. Applied Sciences. 2021; 11(18):8567. https://doi.org/10.3390/app11188567
Chicago/Turabian StyleKanissery, Ramdas, Wenwen Liu, Ruby Tiwari, and Gerald Sims. 2021. "Impact of Soil Aeration on the Environmental Fate of Pre-Emergent Herbicide Metolachlor" Applied Sciences 11, no. 18: 8567. https://doi.org/10.3390/app11188567
APA StyleKanissery, R., Liu, W., Tiwari, R., & Sims, G. (2021). Impact of Soil Aeration on the Environmental Fate of Pre-Emergent Herbicide Metolachlor. Applied Sciences, 11(18), 8567. https://doi.org/10.3390/app11188567

