Attaining Ultraprecision Machining by Feed Drive System Stability Control with Piezoelectric Preloading Actuators
Abstract
:1. Introduction
2. Structure and Analysis of Automatic Adjustable Preload System
2.1. Structure and Operating Principle of Automatic Adjustable Preload System
2.2. Force Analysis of Automatic Adjustable Preload System
3. Control Model for Automatic Adjustable Preload System
3.1. Control Strategy of the PEAs
3.2. The Modeling of Hysteresis
4. Results of Experiments and Discussion
4.1. Experimental Setup
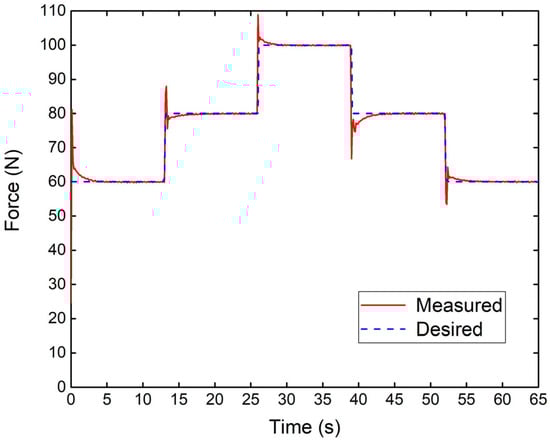
4.2. The Application of the Preload Ball Screw System with PID Control
4.3. The Application of a Preload Ball Screw System with Feedforward Control and PID Control Strategy
5. Conclusions
Author Contributions
Funding
Institutional Review Board Statement
Informed Consent Statement
Data Availability Statement
Acknowledgments
Conflicts of Interest
References
- Quintana, G.; Ciurana, J. Chatter in machining processes: A review. Int. J. Mach. Tools Manuf. 2011, 51, 363–376. [Google Scholar] [CrossRef]
- Pan, X.; He, X.; Wei, K.; Wu, H.; Gao, J.; Jiang, Z. Performance analysis and experimental research of electromagnetic-ring active balancing actuator for hollow rotors of machine tool spindles. Appl. Sci. 2019, 9, 692. [Google Scholar] [CrossRef] [Green Version]
- Altintas, Y.; Verl, A.; Brecher, C.; Uriarte, L.; Pritschow, G. Machine tool feed drives. CIRP Ann. 2011, 60, 779–796. [Google Scholar] [CrossRef]
- Frey, S.; Dadalau, A.; Verl, A. Expedient modeling of ball screw feed drives. Prod. Eng. 2012, 6, 205–211. [Google Scholar] [CrossRef]
- Xu, X.R.; Song, X.C.; Jiang, H.K.; Li, Y.F. Influence Factors Comparison and Analysis of Axial Contact Stiffness between Single-nut and Double-nut Ball Screws. Adv. Mater. Res. 2014, 889–890, 555–558. [Google Scholar] [CrossRef]
- Hu, G.; Zhang, D.; Gao, W.; Chen, Y.; Liu, T.; Tian, Y. Study on variable pressure/position preload spindle-bearing system by using piezoelectric actuators under close-loop control. Int. J. Mach. Tools Manuf. 2018, 125, 68–88. [Google Scholar] [CrossRef]
- Paleu, V.; Gurau, G.; Comăneci, R.I.; Sampath, V.; Gurau, C.; Bujoreanu, L.-G. A new application of Fe-28Mn-6Si-5Cr (mass%) shape memory alloy, for self-adjustable axial preloading of ball bearings. Smart Mater. Struct. 2018, 27, 075026. [Google Scholar] [CrossRef]
- Kim, D.H.; Lee, C.M. A study on the development of a new conceptual automatic variable preload system for a spindle bearing. Int. J. Adv. Manuf. Technol. 2013, 65, 817–824. [Google Scholar] [CrossRef]
- Gavrilin, A.N.; Moyzes, B.B.; Cherkasov, A.I.; Ditenberg, I.A.; Khairullin, A.R.; Glinenko, E.V. Pneumatic device of the preload and dynamic loads balancing to reduce the intensity of thermal processes in the metal cutting process. IOP Conf. Ser. Mater. Sci. Eng. 2017, 168, 012089. [Google Scholar] [CrossRef]
- Cao, H.; Holkup, T.; Altintas, Y. A comparative study on the dynamics of high speed spindles with respect to different preload mechanisms. Int. J. Adv. Manuf. Technol. 2011, 57, 871. [Google Scholar] [CrossRef]
- Hwang, Y.-K.; Lee, C.-M. A review on the preload technology of the rolling bearing for the spindle of machine tools. Int. J. Precis. Eng. Manuf. 2010, 11, 491–498. [Google Scholar] [CrossRef]
- Lin, M.; Wang, Q.; Ju, X.; Fan, W. The research of double-nut ball screw preload based on GMA. In Proceedings of the 2016 13th International Conference on Ubiquitous Robots and Ambient Intelligence (URAI), Xi’an, China, 19–22 August 2016. [Google Scholar]
- Hwang, Y.K.; Lee, C.M. Development of a newly structured variable preload control device for a spindle rolling bearing by using an electromagnet. Int. J. Mach. Tools Manuf. 2010, 50, 253–259. [Google Scholar] [CrossRef]
- Ju, X.-J.; Lin, M.-X.; Fan, W.-T.; Bu, Q.-Q.; Wu, X.-J. Structure design and characteristics analysis of a cylindrical giant magnetostrictive actuator for ball screw preload. J. Cent. South Univ. 2018, 25, 1799–1812. [Google Scholar] [CrossRef]
- Chen, J.; Dwang, I. A ballscrew drive mechanism with piezo-electric nut for preload and motion control. Int. J. Mach. Tools Manuf. 2000, 40, 513–526. [Google Scholar] [CrossRef]
- Uchino, K. Piezoelectric Actuators and Ultrasonic Motors; Springer Science & Business Media: Berlin, Germany, 1996; Volume 1. [Google Scholar]
- Lok, M.; Helbling, E.F.; Zhang, X.; Wood, R.; Brooks, D.; Wei, G.-Y. A low mass power electronics unit to drive piezoelectric actuators for flying microrobots. IEEE Trans. Power Electron. 2017, 33, 3180–3191. [Google Scholar] [CrossRef]
- Tuma, T.; Sebastian, A.; Lygeros, J.; Pantazi, A. The four pillars of nanopositioning for scanning probe microscopy: The position sensor, the scanning device, the feedback controller, and the reference trajectory. IEEE Control Syst. Mag. 2013, 33, 68–85. [Google Scholar]
- Jung, H.; Gweon, D.-G. Creep characteristics of piezoelectric actuators. Rev. Sci. Instrum. 2000, 71, 1896–1900. [Google Scholar] [CrossRef] [Green Version]
- Gu, G.; Zhu, L.-M.; Su, C.-Y.; Ding, H. Motion control of piezoelectric positioning stages: Modeling, controller design, and experimental evaluation. IEEE/ASME Trans. Mechatron. 2012, 18, 1459–1471. [Google Scholar] [CrossRef]
- Peng, J.; Chen, X. A survey of modeling and control of piezoelectric actuators. Mod. Mech. Eng. 2013, 3, 28248. [Google Scholar] [CrossRef] [Green Version]
- Pop, N.; Caltun, O. Jiles-Atherton Magnetic Hysteresis Parameters Identification. Acta Phys. Polonica A 2011, 120, 491–496. [Google Scholar] [CrossRef]
- Smith, R.C.; Ounaies, Z. A domain wall model for hysteresis in piezoelectric materials. J. Intell. Mater. Syst. Struct. 2000, 11, 62–79. [Google Scholar] [CrossRef]
- Song, G.; Zhao, J.; Zhou, X.; De Abreu-Garcia, J. Tracking control of a piezoceramic actuator with hysteresis compensation using inverse Preisach model. IEEE/ASME Trans. Mechatron. 2005, 10, 198–209. [Google Scholar] [CrossRef]
- Mayergoyz, I.D.; Friedman, G. Generalized Preisach model of hysteresis. IEEE Trans. Magn. 1988, 24, 212–217. [Google Scholar] [CrossRef]
- Kuhnen, K. Modeling, identification and compensation of complex hysteretic nonlinearities: A modified Prandtl-Ishlinskii approach. Eur. J. Control 2003, 9, 407–418. [Google Scholar] [CrossRef]
- Zhang, J.; Zhang, H.; Du, C.; Zhao, W. Research on the dynamics of ball screw feed system with high acceleration. Int. J. Mach. Tools Manuf. 2016, 111, 9–16. [Google Scholar] [CrossRef]














Publisher’s Note: MDPI stays neutral with regard to jurisdictional claims in published maps and institutional affiliations. |
© 2021 by the authors. Licensee MDPI, Basel, Switzerland. This article is an open access article distributed under the terms and conditions of the Creative Commons Attribution (CC BY) license (https://creativecommons.org/licenses/by/4.0/).
Share and Cite
Zhang, G.; Jin, H.; Lin, Y.-J. Attaining Ultraprecision Machining by Feed Drive System Stability Control with Piezoelectric Preloading Actuators. Appl. Sci. 2021, 11, 8491. https://doi.org/10.3390/app11188491
Zhang G, Jin H, Lin Y-J. Attaining Ultraprecision Machining by Feed Drive System Stability Control with Piezoelectric Preloading Actuators. Applied Sciences. 2021; 11(18):8491. https://doi.org/10.3390/app11188491
Chicago/Turabian StyleZhang, Guangcheng, Hao Jin, and Yueh-Jaw Lin. 2021. "Attaining Ultraprecision Machining by Feed Drive System Stability Control with Piezoelectric Preloading Actuators" Applied Sciences 11, no. 18: 8491. https://doi.org/10.3390/app11188491
APA StyleZhang, G., Jin, H., & Lin, Y.-J. (2021). Attaining Ultraprecision Machining by Feed Drive System Stability Control with Piezoelectric Preloading Actuators. Applied Sciences, 11(18), 8491. https://doi.org/10.3390/app11188491

