Aerodynamic Performance Analysis of a Modified Joukowsky Airfoil: Parametric Control of Trailing Edge Thickness
Abstract
:1. Introduction
2. Joukowsky Airfoil Function Modification
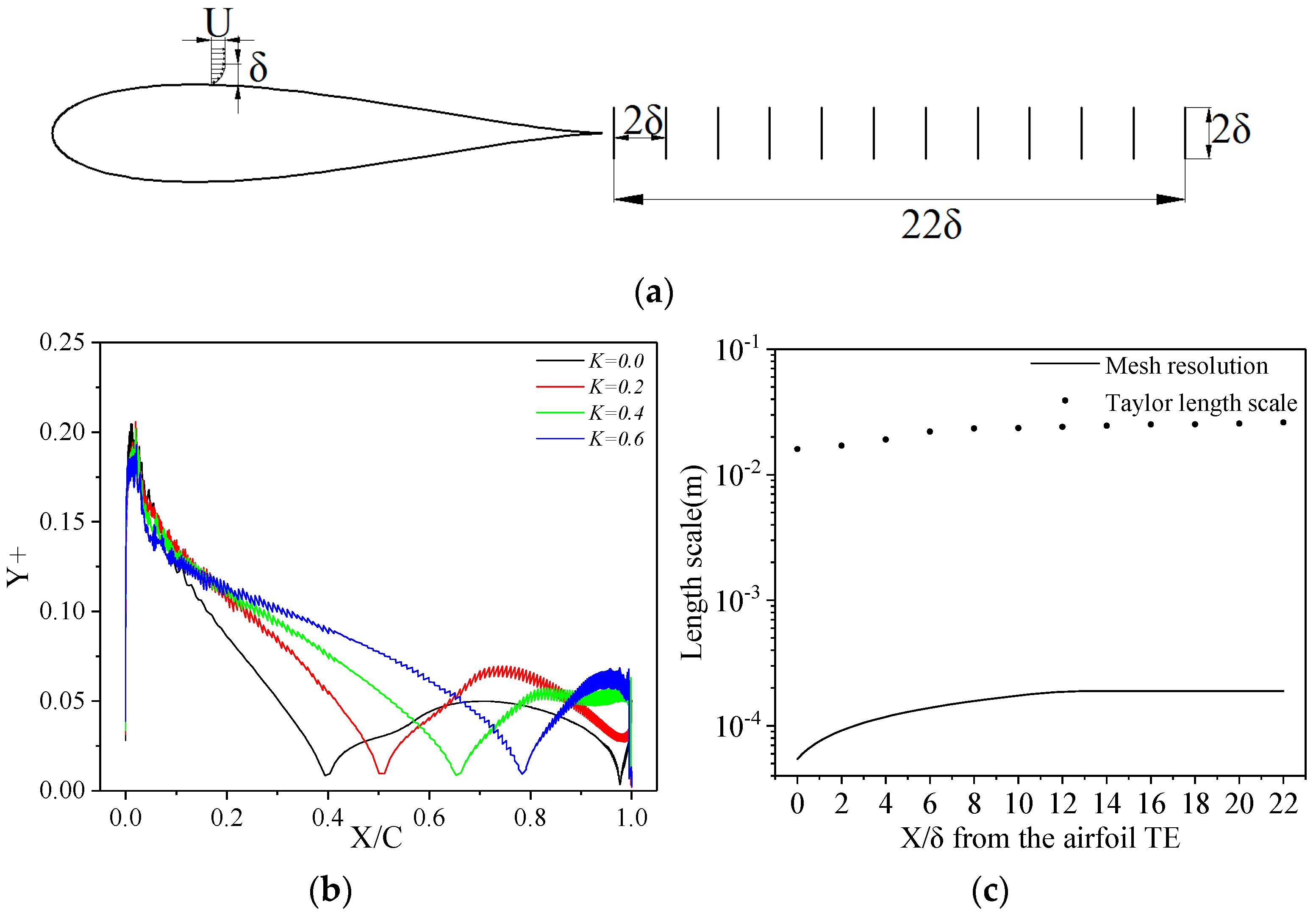
3. Calculation Model and Reliability Verification
4. Aerodynamic Performance Analysis
5. Conclusions
- (1)
- By changing the Joukowsky airfoil and increasing the tail edge thickness control parameter K, the airfoil tail thickness can also be parameterized, making the blunt trailing edge more flexible and accurate in the Joukowsky airfoil. It is very convenient to optimize the aerodynamic performance of the airfoil by adjusting various parameters.
- (2)
- The experimental results are in good agreement with the simulation results, indicating that the CFD model and simulation method are highly reliable.
- (3)
- The aerodynamic characteristics of the airfoil are unsteady and periodic and are mainly affected by the size of vortices and the position of vortex generation/shedding. At the same angle of attack, the K-value can affect the size of vortices and the position of vortex generation/shedding. When α = 0°, α = 4°, and α = 8°, the blunt trailing edge can improve the aerodynamic performance of the airfoil; when α = 12°, the position of vortex generation changes, which reduces the aerodynamic performance of the airfoil. Therefore, when designing the trailing edge of an airfoil, the thickness of the trailing edge can be designed according to the specific working conditions.
- (4)
- This article only proposes a parameterization method for the K-value to enable the optimization of a Joukowsky airfoil. No further specific analysis was performed. In the future, the optimal K-value can be obtained for specific working conditions to optimize the aerodynamic performance of airfoils.
Author Contributions
Funding
Institutional Review Board Statement
Informed Consent Statement
Data Availability Statement
Conflicts of Interest
References
- Sharma, A.; Visbal, M. Numerical Investigation of the Effect of Airfoil Thickness on Onset of Dynamic Stall. J. Fluid Mech. 2017, 870, 870–900. [Google Scholar] [CrossRef] [Green Version]
- Baldacchino, D.; Ferreira, C.; Tavernier, D.D.; Timmer, W.A.; Van Bussel, G.J.W. Experimental parameter study for passive vortex generators on a 30% thick airfoil. Wind Energy 2018, 21, 745–765. [Google Scholar] [CrossRef]
- Nedic, J.; Vassilicos, J.C. Vortex Shedding and Aerodynamic Performance of Airfoil with Multiscale Trailing-Edge Modifications. AIAA J. 2015, 53, 3240–3250. [Google Scholar] [CrossRef]
- Law, S.P.; Gregorek, G.M. Wind Tunnel Evaluation of A Truncated NACA 64-621 Airfoil For Wind Turbine Applications; NACA CR-180803; NASA: Cleveland, OH, USA, 1987.
- Metzinger, C.N.; Chow, R.; Baker, J.P.; Cooperman, A.M.; Van Dam, C.P. Experimental and Computational Investigation of Blunt Trailing-Edge Airfoils with Splitter Plates. AIAA J. 2018, 56, 3229–3239. [Google Scholar] [CrossRef]
- Liu, J.; Chen, P.; Zhang, W. Influence of enlarging trailing edge thickness on the representative wind turbine airfoils’ aerodynamic performances. Acta Energ. Sol. Sin. 2009, 30, 1092–1096. (In Chinese) [Google Scholar]
- Yoo, H.S.; Lee, J.C. Numerical Analysis of NACA64-418 Airfoil with Blunt Trailing Edge. Int. J. Aeronaut. Space Sci. 2015, 16, 493–499. [Google Scholar] [CrossRef] [Green Version]
- Strangfeld, C.; Rumsey, C.L.; Mueller-Vahl, H.; Greenblatt, D.; Nayeri, C.; Paschereit, C.O. Unsteady Thick Airfoil Aerodynamics: Experiments, Computation, and Theory. In Proceedings of the 45th AIAA Fluid Dynamics Conference, Dallas, TX, USA, 22–26 June 2015; AIAA Paper 2015-3071. p. 3071. [Google Scholar]
- Deng, L.; Qiao, Z.; Yang, X. Computational Aerodynamic Analysis of Thick Flatback Airfoils. Aeronaut. Comput. Tech. 2011, 41, 43–47. [Google Scholar]
- Hoerner, S.F. Fluid-Dynamic Lift; Hoerner Fluid Dynamic: Brick Town, NJ, USA, 1975. [Google Scholar]
- Deng, L.; Qiao, Z.; Yang, X.; Juntao, X. Aerodynamics performance computational of trailing-edge-blunting methods of flatback airfoil for large wind turbine based on rans equation. Acta Energ. Solaris Sin. 2012, 33, 545–551. [Google Scholar]
- Standish, K.J.; Van Dam, C.P. Aerodynamic Analysis of Blunt Trailing Edge Airfoils. J. Sol. Energy Eng. 2003, 125, 479–487. [Google Scholar] [CrossRef]
- Chow, R.; Van Dam, C.P. Computational investigations of blunt trailing-edge and twist modifications to the inboard region of the NREL 5 MW rotor. Wind Energy 2013, 16, 445–458. [Google Scholar] [CrossRef]
- Baker, J.P.; Mayda, E.A.; Van Dam, C. Experimental Analysis of Thick Blunt Trailing-Edge Wind Turbine Airfoils. J. Sol. Energy Eng. 2006, 128, 422–431. [Google Scholar] [CrossRef]
- Almohammadi, K.M.; Ingham, D.B.; Ma, L.; Pourkashanian, M. 2-D-CFD Analysis of the Effect of Trailing Edge Shape on the Performance of a Straight-Blade Vertical Axis Wind Turbine. IEEE Trans. Sustain. Energy 2015, 6, 228–235. [Google Scholar] [CrossRef]
- Jeong, J.H.; Kim, S.H. CFD investigation on the flatback airfoil effect of 10 MW wind turbine blade. J. Mech. Sci. Technol. 2018, 32, 2089–2097. [Google Scholar] [CrossRef]
- Jamieson, P. Innovation in Wind Turbine Design; John Wiley and Sons: Hoboken, NJ, USA, 2011; Volume 119, pp. 315–320. [Google Scholar]
- Nafar-Sefiddashti, M.; Nili-Ahmadabadi, M.; Saeedi-Rizi, B.; Pourhoseini, J. Visualization of flow over a thick airfoil with circular cross-sectional riblets at low Reynolds numbers. J. Vis. 2019, 22, 877–888. [Google Scholar] [CrossRef]
- Mereu, R.; Passoni, S.; Inzoli, F. Scale-resolving CFD modeling of a thick wind turbine airfoil with application of vortex generators: Validation and sensitivity analyses. Energy 2019, 187, 115969. [Google Scholar] [CrossRef]
- Le Garrec, T.; Gloerfelt, X.; Corre, C. Direct Noise Computation of Trailing Edge Noise at High Reynolds Numbers. In Proceedings of the 14th AIAA/CEAS Aeroacoustics Conference (29th AIAA Aeroacoustics Conference), Vancouver, BC, Canada, 5–7 May 2008; AIAA Journal. pp. 5–7. [Google Scholar]
- Miller, F.P.; Vandome, A.F.; John, M. Joukowsky Transform; VDM Publishing: Saarbrücken, Germany, 2010. [Google Scholar]
- Tsien, H.S. Symmetrical Joukowsky Airfoils in Shear Flow. In Collected Works of H.S. Tsien; Academic Press: Cambridge, MA, USA, 2012; Volume 1, pp. 236–252. [Google Scholar]
- Ray, T.; Tsai, H.M. Swarm Algorithm for Single-and Multiobjective Airfoil Design Optimization. AIAA J. 2004, 42, 366–373. [Google Scholar] [CrossRef]
- Zhu, J.; Song, Y.W.; Ping, X. On the Parametric Modeling of Turbine Blade Section Curve. CADDM 2007, 17, 1–7. [Google Scholar]
- Modi, V. Joukowsky airfoil with circulation control. In Proceedings of the 12th Atmospheric Flight Mechanics Conference, Snowmass, CO, USA, 19–21 August 1985. [Google Scholar]
- Carmona, H.; Cházaro, A.; Traslosheros, A.; Iturbe, A.; Hernández, J. CFD RANS Simulation of 2D Circulation Control Airfoil. In Recent Advances in Fluid Dynamics with Environmental Applications; Springer International Publishing: Cham, Switzerland, 2016. [Google Scholar]
- Heinz, J.; Zahle, F. Investigation of the load reduction potential of two trailing edge flap controls using CFD. Wind Energy 2011, 14, 449–462. [Google Scholar] [CrossRef]
- Ansys Inc. ANSYS CFX-Solver Theory Guide; Ansys Inc.: Canonsburg, PA, USA, 2015. [Google Scholar]
- Kuczaj, A.K.; Komen, E.; Loginov, M.S. Large-Eddy Simulation study of turbulent mixing in a T-junction. Nucl. Eng. Des. 2010, 240, 2116–2122. [Google Scholar] [CrossRef] [Green Version]
- Portal-Porras, K.; Fernandez-Gamiz, U.; Aramendia, I.; Teso-Fz-Betoño, D.; Zulueta, E. Testing the Accuracy of the Cell-Set Model Applied on Vane-Type Sub-Boundary Layer Vortex Generators. Processes 2021, 9, 503. [Google Scholar] [CrossRef]
- Moktarian, F.; Modi, V.J. Fluid dynamics of airfoils with moving surface boundary-layer control. J. Aircr. 1988, 25, 163–169. [Google Scholar] [CrossRef]
- Mokhtarian, F.; Modi, V.J.; Yokomizo, T. Rotating air scoop as airfoil boundary-layer control. J. Aircr. 1988, 25, 973–975. [Google Scholar] [CrossRef]








| Type | State |
|---|---|
| Boundary detail | No slip and smooth wall |
| Turbulence model | LES |
| Chord (m) | 0.38 |
| 1st layer thickness (m) | 0.00004 |
| Growth ratio | 1.1 |
| Maximum thickness (% chord) | 15 |
| Convergence absolute criteria | 10−5 |
| Inlet velocity (m·s−1) | 1.618 |
| Angle of attack (α) | 0°, 4°, 8°, 12° |
| K | 0, 0.2, 0.4, 0.6 |
| Number of grids (millions) | 0.38–0.40 |
Publisher’s Note: MDPI stays neutral with regard to jurisdictional claims in published maps and institutional affiliations. |
© 2021 by the authors. Licensee MDPI, Basel, Switzerland. This article is an open access article distributed under the terms and conditions of the Creative Commons Attribution (CC BY) license (https://creativecommons.org/licenses/by/4.0/).
Share and Cite
Xiong, P.; Wu, L.; Chen, X.; Wu, Y.; Yang, W. Aerodynamic Performance Analysis of a Modified Joukowsky Airfoil: Parametric Control of Trailing Edge Thickness. Appl. Sci. 2021, 11, 8395. https://doi.org/10.3390/app11188395
Xiong P, Wu L, Chen X, Wu Y, Yang W. Aerodynamic Performance Analysis of a Modified Joukowsky Airfoil: Parametric Control of Trailing Edge Thickness. Applied Sciences. 2021; 11(18):8395. https://doi.org/10.3390/app11188395
Chicago/Turabian StyleXiong, Pan, Lin Wu, Xinyuan Chen, Yingguang Wu, and Wenjun Yang. 2021. "Aerodynamic Performance Analysis of a Modified Joukowsky Airfoil: Parametric Control of Trailing Edge Thickness" Applied Sciences 11, no. 18: 8395. https://doi.org/10.3390/app11188395
APA StyleXiong, P., Wu, L., Chen, X., Wu, Y., & Yang, W. (2021). Aerodynamic Performance Analysis of a Modified Joukowsky Airfoil: Parametric Control of Trailing Edge Thickness. Applied Sciences, 11(18), 8395. https://doi.org/10.3390/app11188395
