Next Article in Journal
Oxygen Carrier Aided Combustion in Fluidized Bed Boilers in Sweden—Review and Future Outlook with Respect to Affordable Bed Materials
Next Article in Special Issue
Comparative Safety Analysis of Accelerator Driven Subcritical Systems and Critical Nuclear Energy Systems
Previous Article in Journal
Role of Advanced Glycation End Products in Assessment of Diabetes Mellitus as a Risk Factor for Retinal Vein Occlusion
Previous Article in Special Issue
Lifetimes of Used Nuclear Fuel Containers Affected by Sulphate-Reducing Bacteria Reactions inside the Canadian Deep Geological Repository
 
 
Font Type:
Arial Georgia Verdana
Font Size:
Aa Aa Aa
Line Spacing:
Column Width:
Background:
Article

The Effect of Porosity Change in Bentonite Caused by Decay Heat on Radionuclide Transport through Buffer Material

1
Department of Civil Engineering, National Taiwan University, Taipei 10617, Taiwan
2
Hydrotech Research Institute, National Taiwan University, Taipei 10617, Taiwan
3
Department of Water Resources, Taoyuan City Government, Taoyuan 33043, Taiwan
4
Department of Bioenvironmental Systems Engineering, National Taiwan University, Taipei 10617, Taiwan
*
Author to whom correspondence should be addressed.
Appl. Sci. 2021, 11(17), 7933; https://doi.org/10.3390/app11177933
Submission received: 31 July 2021 / Revised: 19 August 2021 / Accepted: 24 August 2021 / Published: 27 August 2021
(This article belongs to the Special Issue Nuclear Wastes Management)

Abstract

:
Bentonite is used as a buffer material in most high-level radioactive waste (HLW) repository designs. Smectite clay is the main mineral component of bentonite and plays a key role in controlling the buffer’s physical and chemical behaviors. Moreover, the long-term functions of buffer clay could be lost through smectite dehydration under the prevailing temperature stemming from the heat of waste decay. Therefore, the influence of waste decay temperatures on bentonite performance needs to be studied. However, seldom addressed is the influence of the thermo-hydro-chemical (T-H-C) processes on buffer material degradation in the engineered barrier system (EBS) of HLW disposal repositories as related to smectite clay dehydration. Therefore, we adopted the chemical kinetic model of smectite dehydration to calculate the amount of water expelled from smectite clay minerals caused by the higher temperatures of waste decay heat. We determined that the temperature peak of about 91.3 °C occurred at the junction of the canister and buffer material in the sixth year. After approximately 20,000 years, the thermal caused by the release of the canister had dispersed and the temperature had reduced close to the geothermal background level. The modified porosity of bentonite due to the temperature evolution in the buffer zone between 0 and 0.01 m near the canister was 0.321 (1–2 years), 0.435 (3–10 years), and 0.321 (11–20,000 years). In the buffer zone of 0.01–0.35 m, the porosity was 0.321 (1–20,000 years). In the simulation results of near-field radionuclide transport, we determined that the concentration of radionuclides released from the buffer material for the porosity of 0.321 was higher than that for the unmodified porosity of 0.435. It occurs after 1, 1671, 63, and 172 years for the I-129, Ni-59, Sr-90, and Cs137 radionuclides, respectively. The porosity correction model proposed herein can afford a more conservative concentration and approach to the real release concentration of radionuclides, which can be used for the safety assessment of the repository. Smectite clay could cause volume shrinkage because of the interlayer water loss in smectite and cause bentonite buffer compression. Investigation of the expansion pressure of smectite and the confining stress of the surrounding host rock can further elucidate the compression and volume expansion of bentonite. Within 10,000 years, the proportion of smectite transformed to illite is less than 0.05%. The decay heat temperature in the buffer material should be lower than 100 °C, which is a very important EBS design condition for radioactive waste disposal. The results of this study may be used in advanced research on the evolution of bentonite degradation for both performance assessments and safety analyses of final HLW disposal.

1. Introduction

The safety concept of a geological repository for the disposal of radioactive waste is based on a multibarrier system that includes the natural geological barrier and engineered barrier system (EBS) [1]. The natural geological barrier is provided by the repository host rock and its surroundings, whereas the EBS comprises the waste form, waste canisters, buffer materials, and backfill [2,3,4]. The multibarrier system is expected to perform its desired functions to isolate waste from the biosphere. The buffer should have the following characteristics: low water permeability, microporous structure, canister support, high swelling capacity, colloid filtering, inhibition of microbial development, resistance to rock shear movements, retardation of radionuclides, self-sealing ability, and ability to effectively isolate waste for at least 100,000 years [1,5].
The EBS must produce a tightness for canisters. Obviously, the embedded clay must be used to protect canisters from mechanical impact and must be very taut and almost free of groundwater permeation. These are the primary objectives of the buffer zone, and preventing the migration of discharging radionuclides is a secondary objective. Therefore, the disposal system mainly requires that the buffer material should maintain its tightness and ductility and should not shear or bend the disposal container. Currently, based on the SKB concept, the disposal system’s buffer zone design has been proposed, which is called KBS-3 V [6]. The design principle was introduced as early as the late 1970s. Later, other countries, such as Canada, South Korea, Finland, and Japan, also implemented it as the standard concept. Moreover, it possesses good characteristics that allow intermittent waste placement, providing enormous time for preparing deposition holes and placing buffers and containers [6]. The manufacturing and placement of the buffers must ensure the high homogeneity and high density of mature clay for the ions to be transported by diffusion rather than flow, affording the standard that the minimum final density of the mature buffer zone should be 1950 Kg/m3. However, literature indicates that the thermal-hydraulic-mechanical (THM) model, which is used to predict the soil mechanical properties of the buffer zone, states that the final density will be uneven, which has been verified by field tests. This is because internal friction prevents the initial, very significant density difference [6,7].
Bentonite is used as a buffer material in most high-level radioactive waste (HLW) repository designs. Smectite clay is the main mineral component of bentonite and plays a key role in controlling the buffer’s physical and chemical behaviors [6,8]. According to the concept of Sweden and several other concepts, a buffer zone comprising highly compacted smectite clay blocks is used as the main component. This denotes that these blocks will expand via hydration and combine with water from the host rock to close the gap between the block and host rock, which is required to place the block. A question that is often speculated upon: are the joints between the blocks used as paths for rapid water inflow, causing local expansion and irregular uplift and fracture of individual block? Clearly, dry cracks are formed in the hottest part of the buffer zone after a block’s hydration swelling. Another question is whether the density in the final maturation buffer is lower than the specified 1950 Kg/m3. This risk can be minimized through careful material control, but risk still exists. In other words, water seeps into the waste canisters, which may cause high vapor pressure, causing the compression of the buffer material. Pusch [6] indicated that these phenomena are the evolution and possible deterioration of the buffer materials in radioactive waste disposal facilities [6].
To provide the necessary performance over a period of time, the buffer material is required to not undergo mineralogical change, desiccation, or cementation. Some countries (such as Sweden, Belgium, Spain, and France) intend to maintain the bentonite temperature below 100 °C. Other countries plan to allow higher temperatures. For example, the Swiss concept stipulates that the maximum temperature of bentonite should be less than 100–110 °C, but the maximum temperature near the canister is 150 °C. The smectite-rich clay with 40–60% water saturation exhibits low thermal conductivity, which decreases under the prevailing thermal gradient in the deposition hole. Some concepts intend to include materials with high thermal conductivity (such as graphite and silica sand) or wet buffer materials to increase the buffer material’s thermal conductivity [6].
In the past decades, numerous research projects and studies have been conducted worldwide to understand the complex behavior of bentonite as a buffer material more widely and deeply, in geological radioactive waste disposal. A wide range of aspects related to the thermal–hydraulic–mechanical–chemical processes of bentonite have been studied, including high temperature influences on bentonite performance [9,10,11,12], groundwater/gas flow characteristics within bentonite [13,14,15,16,17], swelling pressure and mechanical properties [18,19,20,21,22,23,24,25], and the mineral chemical evolution of bentonite [26,27,28]. Moreover, experimental analysis and numerical simulation have been employed to study the performance evaluation of bentonite in the thermal–hydraulic–mechanical–chemical coupling process under environmental evolution conditions [29,30,31]. However, previous studies often did not consider the porosity change caused by smectite dehydration in bentonite since decay heat influences the transport concentration of radionuclides in buffer materials when radionuclides are released from waste canisters.
The HLW repository concepts in Taiwan, the main thermal constraint placed on an EBS is that the bentonite buffer temperature should be less than 100 °C at the bentonite–canister interface. However, the long-term functions of buffer clay could be lost through smectite dehydration under the prevailing temperature and temperature gradient conditions that arise from waste decay heat. Therefore, the influence of higher waste decay temperatures on bentonite performance requires investigation. The chemical evolution of the bentonite buffer and bentonite degradation in the EBS of HLW disposal repositories caused by thermals affecting smectite dehydration are topics seldom discussed in the performance assessment of EBS. Therefore, in this study, we used the chemical kinetic model of smectite dehydration to calculate the interlayer water expelled from smectite that is caused by higher temperatures of waste decay heat, and study the porosity change of bentonite caused by smectite dehydration and evaluate the effect of porosity change on the transport of radionuclides through buffer materials.

2. Modified Porosity of Smectite as a Function of Temperature

2.1. Temperature within Buffer

Figure 1 shows the EBS design used in Taiwan that is based on the KBS-3 V conceptual design proposed by SKB. Analyzing the influence of the EBS and parent rock characteristics in heat transport, the governing equation used in this study is:
k ρ C 2 T + Q = T t
where k is thermal conductivity, C is heat capacity, ρ is density, Q is heat source, T is temperature.
Heat decay is expressed as power P(t), where t is time in years, and ai is the coefficient. Time and coefficient ai are depicted in Table 1 [32].
P ( t ) = i = 1 7 a i exp ( t / t i )
The Taiwan reference case [33], the model setting with the initial canister power is 1200 W, the canister spacing is 9 m, the tunnel spacing is 40 m, the surface temperature is 23.8 °C, and in this area the temperature gradient is 1.9 °C/100 m. The surface temperature is an isothermal boundary and the boundary conditions of the surrounding rock are non-flux boundaries, Figure 2 shows the initial temperature in the heat transport model. When the canister and buffer material have just been put into the disposal hole and groundwater has not entered the disposal hole, there is an air gap (0.01 m) between the canister and buffer material. There is a pellet (0.05 m) between the buffer material and the rock. After the groundwater enters the disposal hole, the buffer, gap, and pellet will merge into one, therefore the buffer thermal conductivity uses the equivalent thermal conductivity [32]. The thermal conductivity coefficient of the air gap is 0.04 W/m∙K. The buffer material thermal conductivity coefficient is 1.1 W/m∙K, the pellet thermal conductivity is 0.4 W/m∙K, and the equivalent thermal conductivity coefficient is 0.504 W/m∙K.
COMSOL Multiphysics software was used to simulate the temperature evolution in the EBS. COMSOL is a finite element software tool that allows partial differential equations to be solved in two- (2D) and three-dimensional (3D) domains; the solutions can be visualized or further processed [34]. Table 2 shows the parameters for heat transport simulation in the buffer, backfill, and host rock. Figure 3 shows the finite element mesh of the whole system (i.e., the host rock and EBS).

2.2. Smectite Hydration Properties

Montmorillonite is a swelling clay of the smectite group and the main mineral in bentonite (65–90 wt.%) [35,36]. Na-type smectite has superior swelling and lower permeability, and thus is favored as a buffer. The isomorphic substitution of Al3+ and Mg2+ in smectite octahedral sites, or of Si4+ by Al3+ in smectite tetrahedral sites, generates an excess negative charge on the smectite structure; this is compensated for by the adsorption of cations on the smectite layers. Figure 4 shows the smectite clay mineral structure. If the interlayer of smectite adsorbs water, that water is called interlayer water. Colten-Bradley [37] and Ransom and Helgeson [38] have stated that the smectite interlayer includes three discontinuous basal spacings of approximately 10 Å, 12.6 Å (one layer of water molecules), and 15.7 Å (two layers of water molecules) in a subsurface hydrogeological environment. The interlayer region in the silicate structure can be considered a solvent; the water is the solute dissolved in the solvent, and the solution is called a solid solution. Using O10(OH)2 as a base crystal chemical unit, Ransom and Helgeson [38,39] employed nine oxide formula units (K2O, Na2O, CaO, MgO, FeO, Fe2O3, Al2O3, SiO2, and H2O) and chemical composition data to describe the composition of the smectite solid solution and the generalized chemical formula of the smectite composition end member as (A0.3Al1.9Si4O10(OH)2, where A represents monovalent or divalent cations expressed according to their monovalent equivalent, e.g., Ca2+/2). Ransom and Helgeson [38,39] also expressed hydrated Na-smectite as (Na0.3Al1.9Si4O10(OH)2·nH2O, where n is the number of moles of water in the fully hydrated Na-smectite). The chemical and thermodynamic properties of interlayer water differ from those of pore water. Interlayer water is water that bonds to a mineral to form a hydrated mineral. When dehydration occurs, the interlayer water is released from the hydrated smectite to form H2O and a homologous anhydrous 2:1 layered silicate counterpart. This behavior is analogous to the reversible intracrystallization reaction of a solid solution [38,39].
hs ⇋ as + nH2O
where hs denotes hydrous smectite, as denotes anhydrous smectite, and n is the number of moles of water released from one mole of hydrous smectite. When the smectite is exposed to higher temperatures of waste decay heat, the reaction (3) tends to move to the right and the thermal conditions may cause smectite dehydration (i.e., when interlayer water is expelled at the basal spacings from approximately 15.7 to 10 Å) [40].

2.3. Kinetic Dehydration of Interlayer Water

Ferrage et al. [41] performed a kinetic study of smectite dehydration and reported that a smectite structure exhibits various hydration states with the intercalation of zero, one, or two planes of water molecules in the interlayer. In their study, according to the mechanisms and kinetics of the transition processes for two planes to one and one to zero planes of water molecules, a solid-state reaction can represent the reaction rate as a product of a function of the transformed fraction (α) and a rate constant (k):
d α / d t = k f ( α )
The integration of (4), from time = 0 to time = t leads to Equation (5):
g ( α ) = k t
where the function g(α) depends on the reaction mechanism.
The activation energy Ea (in J/mol) can be determined using Equation (6):
k = A exp E a / R T
where A is the frequency or pre-exponential factor (in s−1), R denotes the gas constant [8.31 J/(K·mol)], and T represents the temperature in kelvin. The reaction rate (α) can be determined using Equation (7):
d α d t = k m t m 1 ( 1 α )
The integration of (7) leads to the expression of the transformed fraction α, as follows:
α = 1 exp [ ( k t ) ] m
Table 3 shows the values of the rate constant (k) and the parameter (m) for 2W–1W (two layers to one layer of water molecules) and 1W–0W transitions of smectite interlayer water kinetic dehydration, respectively [41].
The interlayer molar volume (Vil) can be determined using the following equation:
V i l = a b c cos ( 90 β ) 10 24 Z N 0
where a = 5.17 Å, b = 8.99 Å, and β = 100°, which are parameters associated with the smectite unit cell; c is the interlayer thickness, Z = 2 is the number of units in the chemical formula of the smectite unit cell, and N0 is Avogadro’s constant [39].
The number of moles of water (n) released through the dehydration of hydrous smectite is calculated thus:
n = ρ i l V i l M w
where ρil is the density of the interlayer water; and Mw is the molecular weight of water and equals 18.05. Hawkins and Egelstaff [42] measured the average interlayer water density as 1.05 g/cm. The n is 2.03 and 4.51 for approximately basal spacing of 12.6 Å (one layer of water molecules) and 15.7 Å (two layers of water molecules) computed using (10), respectively.

2.4. Smectite Shrinkage and Swelling Caused by the Hydration State of the Interlayer

Brown and Ransom [43] and Fitts and Brown [44] proposed a porosity (ϕ) modified equation for porosity based on the hydration state of smectite [39]. The porosity of soil is defined as
ϕ V v V T = M p ρ w / 1 ρ b = W c M s ρ w ρ b
where ϕ is porosity, Vv is void volume of soil (cm3), VT is bulk volume of soil (cm3), Mp is mass of water released through heating per unit mass of soil (g), Ms is mass of dry soil after dewatering through heating per unit mass of soil (g), Wc is ratio of water mass to dry soil mass, ρ w is pore water density (g/cm3), and ρ b is soil bulk density (g/cm3).
M p + M s = 1 W c = M p M s M s = 1 1 + W c
Brown and Ransom [43] argued that traditional porosity determinations for smectite-bearing sediments can be corrected through partitioning H2O between pore spaces and smectite interlayers. Interlayer water may be vaporized through heating in such a manner that the definition of smectite porosity in (11) may overestimate porosity. The modified porosity equation of hydrous smectite is expressed as
ϕ α = ρ b φ ρ w M s ρ b A α 1 α ρ w 1 + φ ρ w M s ρ b
where α is the mass fraction of interlayer H2O in the hydrated smectite, and A is the ratio of the heated dry smectite mass to the heated dry soil mass. Approximate nominal values of a for fully hydrated smectite in subsurface systems are 0.1, 0.2, and 0.25 for smectite hydrates with interlayer spacings of 12.6, 15.7, and 18.3 Å, respectively [43,44]. The physical interpretations of buffer porosity (ϕ) and modified porosity of smectite in the hydrous state at α1 and α2 (where α1 > α2, ϕ > ϕα2 > ϕα1) are as follows. The term ϕ is measured by vaporizing the interlayer water, and thus overestimates the buffer void volume and yields the largest porosity. A higher hydrous state of smectite refers to the presence of interlayer water of greater void volume and smaller porosity, and vice versa. Thus, the difference in porosity (Δϕ) between the hydrous states α1 and α2 of smectite is:
Δ ϕ = ϕ α 2 ϕ α 1
The interlayer water transforms into pore water because of smectite dehydration, which could cause temporary overpressure within the buffer material. Thus, the dissipation of excess pore pressure could cause bentonite consolidation and induce compression of the buffer. By contrast, smectite rehydration occurs because of lower buffer temperatures. Swelling pressure during rehydration could cause the expansion recovery of smectite volume. Thus, buffer volume (Vbuf) caused by dehydration/rehydration can be defined as the difference in porosity (Δϕ) multiplied by the earlier volume (Vear):
V buf = Δ ϕ × V ear
Initially, the buffer is not saturated. The bentonite buffer is in contact with groundwater when the repository operation begins, which causes complete wetting of the smectite clay in the bentonite buffer. The basal spacings of the smectite hydration state are assumed to be approximately 15.7 Å (two layers of water molecules) in repository operations of the subsurface hydrogeological environment. However, Ferrage et al. [41] asserted that at 30 °C, the largest number of layers occurs in a two-layer state. Between 30 and 50 °C, the 2W–1W transition occurred, and subsequently, a 1W state prevailed up to 85 °C. The 1W–0W transition occurred at temperatures higher than 85 °C. These results quantify the hydrous state porosity, smectite shrinkage, and swelling recovery caused by the hydration state of the interlayer according to (11)–(15).

3. Comparison of Analytical Solution and Numerical Simulation for Radionuclide Transport

This study analyzed the migration of key radionuclides affected by temperature in the engineering barrier and did not consider the migration of radionuclides in the geo-sphere or the dose assessment of radionuclides entering the biosphere. We used the analytical solution to verify the COMSOL model in the radionuclide transport simulation so we could confirm the performance of the model and the feasibility of the simulation results.
The governing equation for radionuclide transport can be expressed as follows:
R i C t + D i C i = V C x λ i C i
R i = 1 + K d ρ ε
where Ri is the retardation factor, D is desperation or the diffusion coefficient, V is velocity, λ is a decay constant, Kd is the distribution coefficient, ρ is the density, and ε is the porosity.
We used the analytical solution of three different tracer tests (conservative, decaying, and adsorption) [45] to compare the simulation results of COMSOL in a one-dimensional transient transport. The model domain was set as 10 m and the water flow velocity was constant. At the inflow boundary (x = 0), the concentrations of all three tracers were main-tained at 1 mol/m3 at 0–15,000 s and 0 afterward. Table 4 lists the model parameter values for the simulation of the tracer test. The COMSOL simulated concentration in the model domain was compared with the advection–dispersion analytical solution of the three dif-ferent tracer tests (conservative, decaying, and adsorption) at 20,000 s (see Figure 5, Figure 6 and Figure 7).
Analytical solution of the transient-conservative tracer case is the following equation:
c 0 2 exp q x / ε D e r f c x + q / p h i t / 2 D t + e r f c x q / ε t / 2 D t
Analytical solution of the transient-decaying tracer case can be expressed as follows:
c 0 2 exp x A + B e r f c x + 2 t B D 2 / 2 D t + exp x A B e r f c x 2 t B D 2 / 2 D t
A = q / 2 ε D
B = log 2 / D T + A 2
Analytical solution of the transient-adsorbing tracer case is presented in (22):
c 0 2 exp q x / ε D e r f c R x + q / p h i t / 2 D R t + e r f c x q / ε t / 2 D R t
Through the analytical solution for numerical modeling validation of three test cases, we found that the simulation results of COMSOL 1D transport were very consistent with the analytical solution. Therefore, we can apply the COMSOL transport model to simulate and predict the decay and adsorption of radionuclides.

4. Effects of Porosity Change on the Radionuclides Transport through the Buffer Material

To prove how the effect of temperature on the porosity of bentonite significantly impacts the results of the safety assessment, we used a test case to prove this. Assuming that the canister will fail after the closure of the disposal repository, the failure time is divided into three periods: early, medium, and late. Early failure assumes that the canister will fail within 1–1000 years after closure, mid-term failure assumes that the canister will fail within 10–100,000 years after closure of the disposal facility [46]. Herein, we present the early failure scenarios. The early failure case assumes that the failure time of the canister is one year after disposal repository closure. Figure 8 shows the case where the simulation time is 20,000 years and the minimum transport distance and concentration penetration path between the fracture and the paths of the canister are called Q1, Q2, and Q3 where Q1 is the path at the vertical intersection of the canister and fracture, Q2 is the path at the Excavation Disturbed Zone (EDZ) under the disposal tunnel, and Q3 is the path at the junction of EDZ and the disposal tunnel top [47].
This simulation only evaluated the radionuclides transport to Q1 in near-field. Then, the influence of porosity change on the transport processes in buffer material was also evaluated. We found that the effect of temperature change on the porosity is the most obvious near Q1. Radionuclides of I-129, Ni-59, Sr-90, and Cs-137 were selected for simulation analysis in early failure case. The model domain is 0.35 m.
The calculated saturated hydraulic conductivity for compacted bentonite is 1.9 × 10−13 m/s based on the computation model [48]. The experimental value of the hydraulic conductivity is 6.4 × 10−14 m/s for the compacted FEBEX bentonite at dry density of 1650 kg/m3 and is subject to granitic water [49]. Thus, the hydraulic conductivity of the compacted bentonite is very low. Therefore, only the diffusion transport was considered in this study. For the radionuclide release model, the degradation rate (DR) and instant release coefficient (IRF) were considered [46]. Table 5 lists the model parameters.

5. Results

This study adopted the chemical kinetic model of smectite dehydration to calculate the amount of water expelled from smectite clay minerals because of higher temperatures of waste decay heat. The results were as follows:
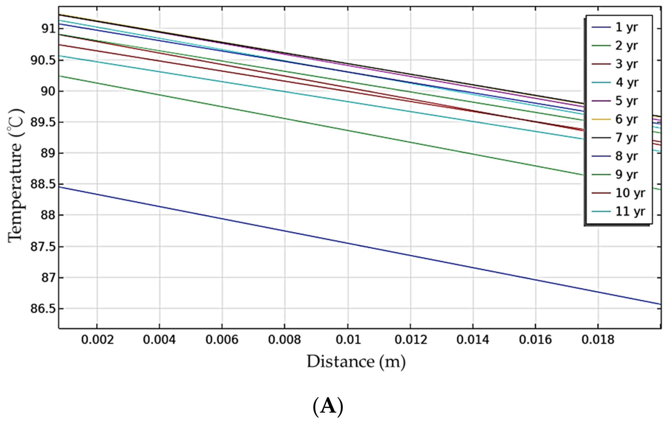
The heat-generating spent fuel was contained in the canister. The canister heat decay in less than 20,000 years was calculated using Equation (2) and initial canister power of 1200 W, as shown in Figure 9. In the calculation, we used the COMSOL model to calculate heat transport through the EBS to the host rock during a 20,000-year period. The parameters for the heat transport simulation are tabulated in Table 2. The highest temperature of the buffer material occurred in the sixth year; Figure 10 shows the temperature profile of that year. We selected eight points, A, B, C, D, E, F, G and H, with 5 cm between each, as the represented points for temperature calculation within the buffer (Figure 11). The temperature distribution for the eight points during the 20,000-year-period is shown in Figure 12. Figure 13 shows the average temperature evolution within the buffer material. Notably, the temperature peak occurs before 10 years. After approximately 20,000 years, the thermal caused by the release of the canister had dispersed and the temperature had reduced to nearly geothermal background level. The smectite dehydration times for 2W–1W and 1W–0W transitions are shown in Table 6. Note worthily, the dehydration times were relatively fast with values of 3661 s (2W–1W) and 24,799 s (1W–0W) at 35 °C and 90 °C, respectively. The hydrous state porosity due to the temperature evolution was equal to 0.177 at 0 years and 0.321 at 1–20,000 years, as shown in Figure 13. Figure 14 shows the buffer zone of 0–0.01 m near the canister during the 3–10-year-period while the temperature exceeds 90 °C, which means that the porosity in this state is equal to 0.435 and the hydrous state of the smectite is 0 W. In the buffer zone of 0.01–0.35 m away from the canister, the porosity is equal to 0.321 (1–20,000 years) with a hydrous state of 1 W. Table 7 shows the buffer volume and compression amount caused by dehydration and rehydration. In the 0 W state, the radial compression value is 2.485 cm. During the period of 10–20,000 years, the decay heat temperature will maintain the bentonite in the 1 W state and cause a 2.427-cm radial compression.
Temperature can cause smectite dehydration and promote porosity changes. To further understand the effect of porosity change caused by dehydration on radionuclide migration, we selected I-129, Ni-59, Sr-90 and Cs137 to compare the release concentration of radionuclides at point H in Figure 11 through the buffer material with and without porosity correction. The literature suggests that the porosity of the buffer material is between 0.41 and 0.46. When the saturated density of the buffer material is 2000 kg/m3, the porosity is 0.435 (i.e., the average value of 0.41–0.46) [50]. Since the value of 0.435 is often used for porosity in safety evaluations, the unmodified porosity was also set to 0.435 in this study. Using the hydration state developed in this study to select the modified porosity, we found that it is affected by decay heat in the region of 0–0.01 M, so the temperature will be greater than 90 °C in 3–10 years, and the porosity is 0.435 in 3–10 years. Other time periods are shown in Figure 14, and the porosity of 0.321 is seen in both time periods of 1–2 years and 11–20,000 years. At the region of 0.01–0.35 m, the porosity is 0.321 between 1 and 20,000 years. Figure 15 shows the concentration breakthrough curves with and without porosity correction of I-129, Ni-59, Sr-90 and Cs137, respectively. We found that the simulated radionuclide release concentration with modified porosity was greater than the simulation result using the traditional porosity value of 0.435. The results showed that the safety assessment and analysis of radionuclide migration using unmodified porosity may underestimate the concentration of radionuclides released from EBS. This study also showed that the porosity correction model may be an approach to the real situation of radionuclide release concentration.

6. Discussion

6.1. Mineral Types of Buffer Materials in Engineering Barrier Systems

The buffer material of the EBS in the radioactive waste repository mainly comprises clay with low permeability as the sealing material of the waste container. The clay with low permeability provides very high tightness, which minimizes the percolation of groundwater and provides a flexible environment for the disposal container for mitigating the impact of external forces from the host rock. Low permeability clays must possess the ability to expand to support the surrounding rock and heal voids that may be generated from strains imposed by external tectonic forces or internal processes, including temporary shrinkage caused by drying. The further required characteristic is that the buffer material must be chemically compatible with the canister material and the surrounding host rock with its groundwater chemical species, and that it must be mainly inorganic to eliminate the risk of producing organic colloids that can carry radionuclides or create new forms of life [6]. The protection function of the buffer material can protect the canisters from mechanical, geochemical, and hydrogeological conditions, which can be predicted and can adversely affect the canisters. The process protects the container from external influences that may endanger the safety of the entire containment of spent nuclear fuel and related radionuclides. It can constrain and retard the release of radionuclides during canister failure [6,8].
Since the late 1980s, waste management agencies in different countries have proposed various sealing materials; some use cementitious materials, but most of them consider bentonite. For example, ANDRA in France and ENRESA in Spain employ nonsodic smectites or the mixture of expansive clay and aggregate in different proportions. As for aggregates, AECL in Canada, DOE in the United States, JNC in Japan, and ANDRA in France and ONDRAF/NIRAS in Belgium have employed crushed granite, crushed basalt, zeolite and quartz, and quartz and graphite, respectively. A buffer material containing an inert aggregate can increase the thermal conductivity of a barrier, improve the mechanical resistance of compacted blocks, and reduce the material cost. Although most studies have considered that the emplacement of the EBS buffer layer will be performed in the form of precompacted blocks, other systems are also proposed. Among them, the combination of high-density bentonite pellets and powdered bentonite affords a barrier density equivalent to the compacted blocks when the mixture of the groundwater and buffer material reaches a saturated state and the density of the entire buffer zone is homogenized [29,52].
In 1977, Pusch proposed that the clay material of the EBS buffer layer should exhibit low hydraulic conductivity and provide support to the canisters, yielding the best isolation for the embedded sealing of canisters and the backfilling of drifts and shafts. Additionally, the effect of the buffer materials on ion adsorption and nuclide diffusion was identified as an important property, and a comprehensive and systematic laboratory study was conducted to determine suitable clay materials. The research mainly focused on montmorillonite-rich clay because of its particularly low hydraulic conductivity and high homogenization potential. However, Pusch performed more extensive research in 1999 to analyze the sealing capacity of other clay materials. The procedure was performed on compacted samples under the 100 MPa pressure, and the following conclusions were drawn [19,53,54,55]:
  • In addition to the MX-80 developed by SKB as a buffer material, the following clay types are possible buffer candidates: saponite (magnesium-rich smectite), mixed-layer (smectite–illite) Friedland Ton, kaolinite, and palygorskite.
  • MX-80 represents montmorillonite-rich (>60%) clay, which has the lowest hydraulic conductivity among all the investigated clay types. Saponite has slightly higher permeability than the other clay types, but it is still tauter than the mixed-layer clay, palygorskite, and kaolinite. Palygorskite possesses a very high swelling pressure; thus, it can be prepared as a buffer material with a density lower than MX-80 clay. Moreover, MX-80 and saponite have the highest cation adsorption capacities. Palygorskite and very finely milled kaolinite exhibit obvious anion adsorption potentials. Kaolinite and mixed-layer clay possess the highest thermal conductivity. The creep of kaolinite and palygorskite is less than that of MX-80 and the mixed-layer clay.
  • Smectite-rich clays are the most suitable for preparing buffer materials, followed by the mixed-layer clay. For the backfill materials of drifts and shafts, mixed-layer clay can be considered as the main candidate material. However, artificially prepared mixtures of smectite-rich clay and ballast material may be equally good as backfill material.
Bentonite has been widely studied as a buffer material for the multibarrier system of radioactive waste disposal due to its low permeability, high water retention capacity, high swelling pressure and capacity, thermal characteristics, and microstructure and contaminant transport [20,21,22,30,56,57,58,59]. In the performance analysis and evaluation of the buffer material, not only hydraulic characteristics but also thermal (T), hydraulic (H), mechanical (m), chemical (C), biological (B), and radiation (R) processes and properties need to be considered. Previous studies mainly consider T, H, and M [6,17,18]. From the C perspective of the kinetic dehydration of interlayer water, this study analyzes the kinetic dehydration and interlayer hydrous state of the smectite interlayer water for the bentonite buffer material and calculates the amount of water expelled from smectite clay minerals and porosity correction due to waste decay heat. The simulation of the migration of radionuclides through the buffer material under bentonite porosity change because of the decay heat provides the performance assessment of bentonite as the buffer material in radioactive waste disposal.

6.2. Effects of Porosity Change on Radionuclides Transport

Figure 15 shows that the porosity changes significantly affect the migration concentration and the retardation of radionuclides in buffer materials. Four key radionuclides (I-129, Ni-59, Sr-90, and Cs137) were used to analyze the porosity change effects on radionuclide transport due to decay heat. The solubility limit and half-life of the four radionuclides were compared using the data in Table 5. I-129 has no solubility limit and the distribution coefficient is zero; that is, no chemical precipitation formation and no adsorption in bentonite occurs, and the half-life is up to 1.57 × 107 years. The initial inventory of Ni-59 is large, i.e., it is larger than that of other radionuclides, and the half-life is also long, up to 1.01 × 105 years. Ni-59 can be adsorbed by the buffer material, and its Kd value is greater than that of Cs-137 and Sr-90. Cs-137 has a short half-life of 30.17 years and can be adsorbed by the buffer material. Moreover, its Kd value is greater than that of Sr-90. Both Cs-137 and I-129 have no solubility limit; that is, no precipitation formation occurs in the simulation process. Sr-90 has a solubility limit, and precipitates will be formed. The half-life of Sr-90 is also short, only 28.79 years. Based on the solubility limit, half-life, and distribution coefficient for I-129, Ni-59, Sr-90, and Cs137, simulation analyses were conducted for unmodified and modified porosities. Figure 15 clearly shows the simulation concentration of radionuclides at the junction of near-field and host rock fracture. The simulation concentration of modified porosity is greater than that of unmodified porosity. It occurs after 1, 1671, 63, and 172 years for the I-129, Ni-59, Sr-90, and Cs137 radionuclides, respectively. Clearly, the use of modified porosity affords more conservative results and approaches the real situation of the radionuclide release concentration.
The concentration simulation results of I-129 and Ni-59 radionuclides show that the concentration difference between the unmodified and modified porosities is obvious after a long simulation time (Figure 15A,B). The half-life of Sr-90 and Cs-137 is short, and the concentration difference between the unmodified and modified porosities is small after a long time (Figure 15C,D). The reason for the difference between I-129, Ni-59, Sr-90, and Cs137 is that among the investigated radionuclides, only I-129 has no adsorption value and Ni-59, Cs-137, and Sr-90 have adsorption value. Therefore, Ni-59, Sr-90, and Cs137 nuclides develop the adsorption formation in bentonite and retard within the buffer material. Furthermore, the concentration breakthrough curve in Figure 15 shows that the concentration of radionuclides is higher for the unmodified porosity simulation at the beginning modeling time and then the concentration of radionuclides for the modified porosity simulation exceeds it with time. In the evaluation results within 20,000 years, the concentrations of I-129, Ni-59, Sr-90, and Cs137 did not reach the solubility limit of nuclides, which is the condition for the formation of nuclide precipitation.
Montmorillonite is a hydrated mineral containing interlayer water, which is an intrinsic part of the mineral. The interlayer water possesses different chemical and thermodynamic properties because of the groundwater in porous media, and its content can be up to 25% of the mass of the hydrated minerals [39]. The exact amount is a function of numerous physical and chemical variables, such as temperature, pressure, relative humidity, layer charge, and solution salinity. Therefore, the total water content of montmorillonite in bentonite or smectite-bearing sediments obtained using traditional physical property measurements or geophysical parameters (such as seismic velocity or neutron density) cannot be directly used to evaluate porosity unless the interlayer water of montmorillonite is corrected. These uncorrected porosity values consider interlayer water as pore water, reflect the total water distribution in the system, and overestimate the actual intergranular porosity [43].
Recently, several relevant studies have been conducted on porosity change with the bentonite hydration expansion behavior, including porosity investigation of compacted bentonite using XRD profile modeling [60], A dual-porosity model has been established for the study of chemical effects on the swelling behavior of MX-80 bentonite [61], porosity changes due to the hydration of compacted bentonite [62], and a review of porosity and diffusion in bentonite [63]. Various results have been obtained in these studies, and many models of porosity change in bentonite have been developed. In the future, smectite dehydration reactions could be included into the chemical thermodynamics database of geochemical models. A database comprising chemical thermodynamic equilibrium and nonequilibrium kinetic reactions of dehydration was established. It was combined with the chemical thermodynamic data of mineral formation or nuclide adsorption reactions in the bentonite. These complete chemical thermodynamic databases were incorporated into the coupling model of the geochemical and reactive chemical transport. Even the thermal, pressure, and stress fields were coupled with the reactive chemical transport model [64]. Further, the test data of the underground laboratory from multiple years (such as the status of the field FEBEX test after 18 years: heterogeneous bentonite barrier [65]) or those of other montmorillonite materials as the buffer (such as the alkylammonium-modified montmorillonite [66]) were employed. Thus, a comprehensive safety assessment of the radioactive waste disposal site could be effectively conducted.

6.3. Smectite Dehydration and Rehydration within Bentonite

Table 7 shows the buffer volume and compression caused by dehydration and rehydration herein. The radial compression value of bentonite was 2.485 cm in the 0 W state. The compression may be because the smectite dehydration induces temporary overpressure within the buffer material. Then, the excess pore pressure may dissipate into the backfill/or fracture and cause bentonite consolidation and compression. However, smectite rehydration occurs because of the low buffer temperatures. Swelling pressure during rehydration may cause volume expansion recovery of the smectite. The recovery of the smectite volume depends on the balance between the swelling pressure of the smectite and the confining stress exerted by the surrounding host rock on the EBS. A literature review indicated that the horizontal confining stress from the surrounding host rock is approximately 11.43–16.55 MPa [51] and the bentonite dry density is 1533–1692 kg/m3 (density at water saturation 1983–2086 kg/m3), yielding a swelling pressure of 4.5–16 MPa [67]. Therefore, further investigation of the smectite swelling pressure and the confining stress of the surrounding host rock could provide further insights into bentonite consolidation and compression as well as smectite volume expansion.
Pusch [6] indicated that soil mechanics adopt a special basic stress principle: the so-called effective pressure concept proposed by Terzaghi’s theory of consolidation. It denotes that the effective or particle pressure is the difference between the total stress and pressure in the pore water. For most soils, the changes in shear strength and volume only depend on the effective stress. However, this is incorrect for highly plastic clay mainly because describing the transfer of grain pressure at the particle contact is difficult. Moreover, unless the pressure reaches several hundred MPa, no real contact occurs between the minerals [6].
Terzaghi’s theory of consolidation and expansion has obvious physical significance for soils containing nonexpansive clay mineral particles, such as illite and kaolinite. Therefore, the total pressure of the water-saturated clay of nonexpansive clay mineral particle type increases, which is similar to the generation of pore pressure. However, if drainage is allowed, the pressure is subsequently transferred to the particle network for compressing and densifying the particle network. The same process occurs in smectite-rich clay, causing the distance between some layer sheets and interlayer spacings to decrease, consequently increasing the repulsive force between the interlayers. Unloading has the opposite effect; that is, the water in the interlayer space and on the surface of the laminated lamellar crystal substrate is absorbed by an extremely strong hydration potential, causing expansion [6].
Furthermore, Pusch [6] indicated that all changes in the microstructure composition are related to the shear-induced slip within and at the contact of adjacent lamellae stacks. This sliding occurs under constant volume conditions or simultaneously with consolidation in all soils. The accumulated time-dependent strain is called creep. The creep phenomenon of smectite clay is stronger than that of nonexpandable clay, but it possesses the same random distribution sliding characteristics, which occur when the energy barrier is overcome; stochastic mechanics are used to explain these creep phenomena. The reliable theoretical formulas of creep and creep rate as functions of stress and clay density should be derived. The concept that all materials shear through the initiation of the potential barriers on the microstructure scale is used. The potential barrier is represented by a variety of bonds and forms a type of spectrum. Therefore, the energy spectrum is not a material constant and changes with strain and time. The microstructure changes caused by strain are considered to be the reason for the Newtonian rheology of smectite clay undergoing large strain in one or two directions. The thermodynamic concept provides a theoretical basis for creep modeling. Compared with the commonly used empirical formula, the thermodynamic concept deduces the analytical formula of the macro creep under constant volume, which can be used in geotechnical engineering practices [6]. Thus, this conceptual method can provide future research and development directions of bentonite compression, expansion, stress, and strain evolution triggered by thermal and shear effects.

6.4. Transformation of Smectite into Illite in Bentonite

Huang et al. [68] systematically investigated the kinetics for the conversion of a Na-saturated montmorillonite to a mixed-layer smectite/illite as a function of KCl concentration from 0.1 to 3 mol/L over a temperature range of 25 to 325 °C at 500 bar in cold seal pressure vessels using gold capsules. The smectite illitization rate can be described by a simple empirical rate equation for a Na-rich solution as follows:
d S s m d t = A exp E a R T C 1 S s m 2
C 1 = [ K + ] [ K + ] 2 × [ Na + ] 2.3
where Ssm is the fraction of smectite layers in the I/Ssm, t is the time in seconds, A is the frequency factor of 8.08 × 10−4 sec−1, Ea is the activation energy of 28 kcal/mole, R denotes the gas constant of 1.987 cal/deg-mole, T represents the temperature in Kelvin. [K+] and [Na+] are the concentrations of potassium and sodium ions in the pore water of granite in the potential radioactive waste disposal site of Taiwan, which are 9.22 × 10−5 mol/L and 1.53 × 10−3 mol/L, respectively.
Figure 16 shows the ratio of smectite in the illitization process. Within 10,000 years, less than 0.05% of smectite is transformed to illite. This is because high temperatures do not remain within the buffer material for extended periods.
Pusch [6] stated that the long-term function of the buffer zone mainly involves the stability of smectite-rich clay, which is determined by the reaction controlled by thermodynamics. This denotes that the occurrence of mineral transformation relies on the stability conditions of the interacting minerals and the pore water under the main temperature and temperature gradient conditions. Moreover, the processes affecting the expected importance of the buffer zone must be determined, such as the evolution of the buffer clay in partial and fully saturated water in contact with canisters exposed to high temperatures and groundwater for long durations. Pusch [6] presented the analysis results and stated that about 100% of the original smectite transforms to illite at 100 °C. Furthermore, the typical buffer temperature history of SKB spent fuel canisters is (a) 100–150 °C in the first 100 years, (b) an average temperature of 50–100 °C after 500 years, and (c) less than 50 °C in the next 1000 years, converting 15% of the initial smectite into illite in 1500 years. Pusch [6] also indicated that the activation energy is uncertain, and the acquisition of potassium is difficult to define and deduce. For the activation energy of about 20 kcal/mol, the model denotes that the buffer undergoes significant degradation by conversion to illite within 100 years. This would be disastrous, and smectite clays like montmorillonite would be discontinued as buffer material. Finally, they proposed that [6] the real meaning of activation energy and whether the theoretical conversion model is correct should be determined. Although some studies have attempted this, not many examples exist, mainly from the natural environment, that exhibit temperatures and temperature gradients similar to those in the repository from the smectite clay sediment environment [6].
Herein, when the decay heat is controlled below 100 °C, only about 0.05% of the initial montmorillonite content is converted to illite in 10,000 years. The maximum temperature at point A at the junction of the canister and buffer material was about 91.3 °C, which occurred in the sixth year (Figure 12). Thus, controlling the decay heat effect temperature below 100 °C in the buffer material is a very important EBS design condition.

7. Conclusions

This study adopted the kinetic dehydration of interlayer water and the hydration state of the interlayer to calculate the amount of water expelled from smectite clay minerals caused by higher temperatures of waste decay heat. The temperature peak of about 91.3 °C occurred at the junction of the canister and buffer material in the sixth year. After approximately 20,000 years, the thermal caused by the release of the canister had dispersed and the temperature had reduced close to geothermal background level. The modified porosity of bentonite due to the temperature evolution in buffer zone between 0 and 0.01 m near the canister was 0.321 (1–2 years), 0.435 (3–10 years), and 0.321 (11–20,000 years). In the 0.01–0.35-m buffer zone, the porosity is equal to 0.321 (1–20,000 years) with a hydrous state of 1 W. We demonstrated radionuclides transport through the buffer material under the change of bentonite porosity caused by decay heat. I-129, Ni-59, Sr-90 and Cs137 were selected to observe how the porosity evolution influences radionuclides with and without retardation. We also found that the concentration of radionuclides released from the buffer material was higher than that using the unmodified porosity value of 0.435. It occurs after 1, 1671, 63, and 172 years for the I-129, Ni-59, Sr-90, and Cs137 radionuclides, respectively. The results showed that the safety assessment and safety case analysis of radionuclide migration using unmodified porosity may underestimate the radionuclide concentration released by EBS. Therefore, the porosity correction model proposed in this study proves to be an effective approach to the real situation of radionuclide release concentration.
Smectite clay could cause volume shrinkage because of interlayer water loss in smectite and lead to bentonite buffer compression. Further investigation of the swelling pressure of smectite and the confining stress of the surrounding host rock could provide further insights into the computation of bentonite consolidation and compression as well as smectite volume expansion. Less than 0.05% of smectite is transformed to illite in 10,000 years. A decay heat temperature of below 100 °C within the buffer material is a very significant design condition for the EBS of radioactive waste disposal. The results may be used in advanced research on the evolution of bentonite degradation for performance assessments and safety analyses of the final disposal of HLW.

Author Contributions

Conceptualization, C.-W.L.; Data curation, S.-Y.L.; Formal analysis, S.-Y.L.; Funding acquisition, W.-S.L.; Investigation, S.-Y.L. and W.-S.L.; Methodology, W.-S.L.; Project administration, W.-S.L.; Resources, G.-F.L.; Software, C.F.; Supervision, G.-F.L. and C.-W.L.; Validation, S.-Y.L.; Visualization, C.F.; Writing—original draft, S.-Y.L. and W.-S.L.; Writing—review & editing, W.-S.L. All authors have read and agreed to the published version of the manuscript.

Funding

This research was funded by Ministry of Science and Technology, Republic of China (Taiwan), grant number No. MOST 107-NU -E-002-001 -NU and 109-2623-E-002-003 -NU.

Institutional Review Board Statement

The study did not involve humans or animals.

Informed Consent Statement

The study did not involve humans.

Data Availability Statement

The data used to support the findings of this study are included within the article.

Acknowledgments

The authors are grateful to the Ministry of Science and Technology, Republic of China (Taiwan), for the financial support provided for this research under contract No. MOST 107-NU -E-002-001 -NU and 109-2623-E-002-003 -NU.

Conflicts of Interest

The authors declare no conflict of interest.

References

  1. IAEA. Geological Disposal of Radioactive Waste: Safety Requirements; Report No. WS-R-4; International Atomic Energy Agency (IAEA): Vienna, Austria, 2006; p. 49. [Google Scholar]
  2. Witherspoon, P.A. Geological Problems in Radioactive Waste Isolation—Second Worldwide Review; Report No. LBNL-38915; Earth Sciences Division, Ernest Orlando Lawrence Berkeley National Laboratory: Berkeley, CA, USA, 1996; p. 270. [Google Scholar]
  3. Witherspoon, P.A.; Bodvarsson, G.S. Geological Challenges in Radioactive Waste Isolation—Third Worldwide Review; Report No. LBNL-49767; Earth Sciences Division, Ernest Orlando Lawrence Berkeley National Laboratory: Berkeley, CA, USA, 2002; p. 335. [Google Scholar]
  4. Witherspoon, P.A.; Bodvarsson, G.S. Geological Challenges in Radioactive Waste Isolation: Fourth Worldwide Review; Report No. LBNL-59808; Earth Sciences Division, Ernest Orlando Lawrence Berkeley National Laboratory: Berkeley, CA, USA, 2006; p. 283. [Google Scholar]
  5. Maßmann, J. Modeling of Excavation Induced Coupled Hydraulic-Mechanical Processes in Claystone. Ph.D. Thesis, Report No. 77/2009. Institut für Strömungsmechanik und Umweltphysik im Bauwesen, Leibniz Universität Hannover, Hannover, Germany, 23 March 2009. [Google Scholar]
  6. Pusch, R. Geological Storage of Highly Radioactive Waste; Springer: Berlin/Heidelberg, Germany, 2008; pp. 13–379. [Google Scholar]
  7. Pusch, R.; Svemar, C. Cluster Repository Project (CROP)—Comparison of Repository Concepts and Recommendations for Design and Construction of Future Safe Repositories; IPR-04-55, European Commission Contract FIR1-CT-2000-20023; Svensk Kärnbränslehantering AB: Stockholm, Sweden, 2004; p. 323. [Google Scholar]
  8. Juvankoski, M. Buffer Design 2012, Report No. POSIVA 2012-14; POSIVA OY: Eurajoki, Finland, 2013; p. 243. [Google Scholar]
  9. Wersin, P.; Johnson, L.H.; McKinley, I.G. Performance of the bentonite barrier at temperatures beyond 100 °C: A critical review. Phys. Chem. Earth 2007, 32, 780–788. [Google Scholar] [CrossRef]
  10. Park, S.; Yoon, S.; Kwon, S.; Lee, M.-S.; Kim, G.-Y. Temperature effect on the thermal and hydraulic conductivity of Korean bentonite buffer material. Prog. Nucl. Energy 2021, 137, 103759. [Google Scholar] [CrossRef]
  11. Ye, W.; Wan, M.; Chen, B.; Chen, Y.; Cui, Y.; Wang, J. Temperature effects on the unsaturated permeability of the densely compacted GMZ01 bentonite under confined conditions. Eng. Geol. 2011, 126, 1–7. [Google Scholar] [CrossRef] [Green Version]
  12. Zheng, L.; Rutqvist, J.; Birkholzer, J.T.; Liu, H.-H. On the impact of temperatures up to 200 °C in clay repositories with bentonite engineer barrier systems: A study with coupled thermal, hydrological, chemical, and mechanical modelling. Eng. Geol. 2015, 197, 278–295. [Google Scholar] [CrossRef] [Green Version]
  13. Sun, H.; Mašín, D.; Najser, J.; Scaringi, G. Water retention of a bentonite for deep geological radioactive waste repositories: High-temperature experiments and thermodynamic modeling. Eng. Geol. 2020, 269, 105549. [Google Scholar] [CrossRef]
  14. Dagher, E.E.; Nguyen, T.S.; Infante Sedano, J.A. Development of a mathematical model for gas migration (two-phase flow) in natural and engineered barriers for radioactive waste disposal. In Multiple Roles of Clays in Radioactive Waste Confinement; Special Publications; Norris, S., Neeft, E., Van Geet, M., Eds.; Geological Society: London, UK, 2018. [Google Scholar]
  15. Nash, P.J.; Swift, B.T.; Goodfield, M.; Rodwell, W.R. Modelling Gas Migration in Compacted Bentonite: A Report Produced for the GAMBIT Club; POSIVA OY: Helsinki, Finland, 1998; p. 81. [Google Scholar]
  16. Hoch, R.; Clie, K.A.; Swift, B.T.; Rodwell, W.R. Modelling Gas Migration in Compacted Bentonite: GAMBIT Club Phase 3 Final Report; POSIVA OY: Helsinki, Finland, 2004; p. 144. [Google Scholar]
  17. Guo, G.; Fall, M. Advances in modelling of hydro-mechanical processes in gas migration within saturated bentonite: A state-of-art review. Eng. Geol. 2021, 287, 106123. [Google Scholar] [CrossRef]
  18. Ballarini, E.; Graupner, B.; Bauer, S. Thermal–hydraulic–mechanical behavior of bentonite and sand-bentonite materials as seal for a nuclear waste repository: Numerical simulation of column experiments. Appl. Clay Sci. 2017, 135, 289–299. [Google Scholar] [CrossRef]
  19. Pusch, R. Required Physical and Mechanical Properties of Buffer Masses; Report No. KBS-TR-33; Svensk Kärnbränslehantering AB: Stockholm, Sweden, 1977; p. 12. [Google Scholar]
  20. Villar, M.V.; Gomez-Espina, R.; Lloret, A. Experimental investigation into temperature effect on hydro-mechanical behaviours of bentonite. J. Rock Mech. Geotech. Eng. 2010, 2, 71–78. [Google Scholar]
  21. Bian, X.; Cui, Y.J.; Li, X.Z. Voids effect on the swelling behavior of compacted bentonite. Géotechnique 2018, 69, 593–605. [Google Scholar] [CrossRef]
  22. Matusewicz, M.; Olin, M. Comparison of microstructural features of three compacted and water-saturated swelling clays: MX-80 bentonite and Na- and Ca-purified bentonite. Clay Miner. 2019, 54, 75–81. [Google Scholar] [CrossRef] [Green Version]
  23. Lloret, A.; Villar, M.V.; Sanchez, M.; Gens, A.; Pintado, X.; Alonso, E.E. Mechanical behaviour of heavily compacted bentonite under high suction changes. Géotechnique 2003, 53, 27–40. [Google Scholar] [CrossRef]
  24. Villar, M.V.; Lloret, A. Influence of dry density and water content on the swelling of a compacted bentonite. Appl. Clay Sci. 2008, 39, 38–49. [Google Scholar] [CrossRef]
  25. Sivakumar, V.; Tan, W.C.; Murray, E.J.; McKinley, J.D. Wetting, drying and compression characteristics of compacted clay. Géotechnique 2006, 56, 57–62. [Google Scholar] [CrossRef]
  26. Arcos, D.; Grandia, F.; Domènech, C.; Fernández, A.M.; Villar, M.V.; Muurinen, A.; Carlsson, T.; Sellin, P.; Hernán, P. Long-term geochemical evolution of the near field repository: Insights from reactive transport modelling and experimental evidences. J. Contam. Hydrol. 2008, 102, 196–209. [Google Scholar] [CrossRef]
  27. Itälä, A.; Olin, M. Chemical Evolution of Bentonite Buffer in a Final Repository of Spent Nuclear Fuel during the Thermal Phase. Nucl. Technol. 2011, 174, 342–352. [Google Scholar] [CrossRef]
  28. Filipská, P.; Zeman, J.; Všianský, D.; Honty, M.; Škoda, R. Key processes of long-term bentonite-water interaction at 90 °C: Mineralogical and chemical transformations. Appl. Clay Sci. 2017, 150, 234–243. [Google Scholar] [CrossRef]
  29. Volckaert, G.; Bernier, F.; Alonso, E.; Gens, A.; Samper, J.; Villar, M.V.; Martín, P.L.; Cuevas, J.; Campos, R.; Thomas, H.R.; et al. Thermal-Hydraulic-Mechanical and Geochemical Behaviour of the Clay Barrier in Radioactive Waste Repositories (Model Development and Validation); EUR 16744; European Commission: Luxembourg, 1996; p. 722. [Google Scholar]
  30. Wu, Q.; Wang, J. A thermo-hydro-mechanical coupling analysis for the contaminant transport in a bentonite barrier with variable saturation. Water 2020, 12, 3114. [Google Scholar] [CrossRef]
  31. Narkuniene, A.; Poskas, P.; Justinavicius, D. The Modeling of Laboratory Experiments with COMSOL Multiphysics Using Simplified Hydromechanical Model. Minerals 2021, 11, 754. [Google Scholar] [CrossRef]
  32. Hökmark, H.; Lönnqvist, M.; Kristensson, O.; Sundberg, J.; Hellström, G. Strategy for Thermal Dimensioning of the Final Repository for Spent Nuclear Fuel; Technical Report R-09-04; SvenskKärn-Bränslehantering AB (SKB): Stockholm, Sweden, 2009; p. 154. [Google Scholar]
  33. Taipower. Final Disposal Project for Spent Nuclear Fuel in Taiwan; 108 Annual Results Report, Report No. SNFD-AR2019-V2; Taipower Company: Taipei, Taiwan, 2020; p. 498. (In Chinese) [Google Scholar]
  34. COMSOL. Introduction to COMSOL Multiphysics: Version 5.6; COMSOL: Burlington, MA, USA, 2020; p. 218. [Google Scholar]
  35. Bradbury, M.H.; Baeyens, B. Physico-Chemical Characterisation Data and Sorption Measurements of Cs, Ni, Eu, Th, U, Cl, I and Se on MX-80 Bentonite; Technical Report 09-08; Nagra (Nationale Genossenschaft für die Lagerung Radioaktiver Abfälle): Wettingen, Switzerland, 2011; p. 42. [Google Scholar]
  36. Pusch, R. The Microstructure of MX-80 Clay with Respect to Its Bulk Physical Properties under Different Environmental Conditions; Technical Report TR-01-08; SvenskKärnbränslehantering AB: Stockholm, Sweden, 2001; p. 111. [Google Scholar]
  37. Colten-Bradley, V.A. Role of Pressure in Smectite Dehydration—Effects on Geopressure and Smectite-to-Illite Transformation. AAPG Bull. 1987, 71, 1414–1427. [Google Scholar] [CrossRef]
  38. Ransom, B.; Helgeson, H.C. Compositional end members and thermodynamic components of illite and dioctahedral aluminous smectite solid solutions. Clays Clay Miner. 1993, 41, 537–550. [Google Scholar] [CrossRef]
  39. Ransom, B.; Helgeson, H.C. A chemical and thermodynamic model of aluminous dioctahedral 2:1 layer clay minerals in diagenetic processes: Regular solution representation of interlayer dehydration in smectite. Am. J. Sci. 1994, 294, 449–484. [Google Scholar] [CrossRef]
  40. Liu, C.-W.; Lin, W.-S. A Smectite Dehydration Model in a Shallow Sedimentary Basin: Model Development. Clays Clay Miner. 2005, 53, 55–70. [Google Scholar] [CrossRef]
  41. Ferrage, E.; Kirk, C.A.; Cressey, G.; Cuadros, J. Dehydration of Ca-montmorillonite at the crystal scale. Part 2. Mechanisms and kinetics. Am. Miner. 2007, 92, 1007–1017. [Google Scholar] [CrossRef]
  42. Hawkins, R.K.; Egelstaff, P.A. Interfacial water structure in montmorillonite from neutron diffraction experiments. Clays Clay Miner. 1980, 28, 19–28. [Google Scholar] [CrossRef]
  43. Brown, K.M.; Ransom, B. Porosity corrections for smectite-rich sediments: Impact on studies of compaction, fluid generation. Geology 1996, 24, 843–846. [Google Scholar] [CrossRef]
  44. Fitts, T.G.; Brown, K.M. Stress-induced smectite dehydration: Ramifications for patterns of freshening and fluid expulsion in the N. Barbados accretionary wedge. Earth Planet. Sci. Lett. 1999, 172, 179–197. [Google Scholar] [CrossRef]
  45. Kolditz, O.; Shao, H.; Wang, W.; Bauer, S. Thermo-Hydro-Mechanical-Chemical Processes in Fractured Porous Media: Modelling and Benchmarking Closed-Form Solutions; Springer: Berlin/Heidelberg, Germany, 2012; p. 391. [Google Scholar]
  46. SKB. Radionuclide Transport Report for the Safety Assessment SR-Site; Report No. SKB TR-10-50; Svensk Kärnbränslehantering AB (SKB): Stockholm, Sweden, 2010; p. 325. [Google Scholar]
  47. Selroos, J.-O.; Follin, S. SR-Site Groundwater Flow Modelling Methodology, Setup and Results; Report No. SKB R-09-22; Svensk Kärnbränslehantering AB: Stockholm, Sweden, 2010; p. 125. [Google Scholar]
  48. Chen, T.; Sedighi, M.; Jivkov, A.; Seetharam, S. A model for hydraulic conductivity of compacted bentonite—Inclusion of microstructure effects under confined wetting. Géotechnique 2020, 1–14. [Google Scholar] [CrossRef] [Green Version]
  49. Villar, M.V. Thermo-Hydro-Mechanical Characterisation of a Bentonite from Cabo de Gata. A study Applied to the Use of Bentonite as Sealing Material in High Level Radioactive Waste Repositories; Enresa Publicación Técnica 04/2002; Empresa Nacional de Residuos Radiactivos, SA (ENRESA): Madrid, Spain, 2002; p. 258. [Google Scholar]
  50. SKB. Data Report for the Safety Assessment SR-Site; Report No. SKB TR-10-52; Svensk Kärnbränslehantering AB (SKB): Stockholm, Sweden, 2010; p. 462. [Google Scholar]
  51. Taipower. The Spent Nuclear Fuel Final Disposal Program—Potential Host Rock Characterization and Evaluation Stage: The Technical Feasibility Assessment Report on Spent Nuclear Fuel Final Disposal, Main Report; Taiwan Power Company (Taipower): Taipei, Taiwan, 2017; p. 648. [Google Scholar]
  52. Villar, M.V. Thermo-Hydro-Mechanical Characteristics and Processes in the Clay Barrier of a High Level Radioactive Waste Repository. State of the Art Report; Report No. Informes Tecnicos Ciemat 1044; Centro de Investigaciones Energéticas, Medioambientales y Tecnológicas (CIEMAT): Madrid, Spain, 2004; p. 75. [Google Scholar]
  53. Pusch, R. The buffer and Backfill Handbook, Part 2: Materials and Techniques; Report No. SKB TR-02-12; Svensk Kärnbränslehantering AB: Stockholm, Sweden, 2001; p. 198. [Google Scholar]
  54. Pusch, R. Highly compacted sodium bentonite for isolating rock-deposited radioactive waste products. Nucl. Technol. 1979, 45, 153–157. [Google Scholar] [CrossRef]
  55. Pusch, R. Is Montmorillonite-Rich Clay of MX-80 Type the Ideal Buffer for Isolation of HLW; Report No. SKB TR-99-33; Svensk Kärnbränslehantering AB: Stockholm, Sweden, 1999; p. 67. [Google Scholar]
  56. Nazir, M.; Kawamoto, K.; Sakaki, T. Properties of granulated bentonite mixtures for radioactive waste disposal: A review. Int. J. Geomate 2021, 20, 132–145. [Google Scholar] [CrossRef]
  57. Yoon, S.; Cho, W.; Lee, C.; Kim, G.-Y. Thermal conductivity of korean compacted bentonite buffer materials for a nuclear waste repository. Energies 2018, 11, 2269. [Google Scholar] [CrossRef] [Green Version]
  58. Villar, M.V.; Iglesias, R.J.; García-Siñeriz, J.L.; Lloret, A.; Huertas, F. Physical evolution of a bentonite buffer during 18 years of heating and hydration. Eng. Geol. 2019, 264, 105408. [Google Scholar] [CrossRef]
  59. Fukatsu, Y.; Yotsuji, K.; Ohkubo, T.; Tachi, Y. Diffusion of tritiated water, 137Cs+, and 125I in compacted Ca-montmorillonite: Experimental and modeling approaches. Appl. Clay Sci. 2021, 211, 106176. [Google Scholar] [CrossRef]
  60. Holmboe, M.; Wold, S.; Jonsson, M. Porosity investigation of compacted bentonite using XRD profile modeling. J. Contam. Hydrol. 2012, 128, 19–32. [Google Scholar] [CrossRef] [PubMed]
  61. Li, Z.; Su, G.; Zheng, Q.; Nguyen, T.S. A dual-porosity model for the study of chemical effects on the swelling behaviour of MX-80 bentonite. Acta Geotech. 2019, 15, 635–653. [Google Scholar] [CrossRef] [Green Version]
  62. Villar, M.V.; Gómez-Espina, R.; Campos, R.; Barrios, I.; Gutiérrez, L. Porosity changes due to hydration of compacted bentonite. In Unsaturated Soils: Research and Applications; Mancuso, C., Jommi, C., D’Onza, F., Eds.; Springer: Berlin/Heidelberg, Germany, 2012; Volume 1, pp. 137–144. [Google Scholar]
  63. Appelo, C.A.J. A Review of Porosity and Diffusion in Bentonite; Posiva Working Report 2013-29; POSIVA OY: Eurajoki, Finland, 2013; p. 33. [Google Scholar]
  64. Liang, S.-Y.; Lin, W.-S.; Chen, C.-P.; Liu, C.-W.; Fan, C. A review of geochemical modeling for the performance assessment of radioactive waste disposal in a subsurface system. Appl. Sci. 2021, 11, 5879. [Google Scholar] [CrossRef]
  65. Villar, M.V.; Iglesias, R.J.; García-Siñeriz, J.L. State of the in situ FEBEX test (GTS, Switzerland) after 18 years: A heterogeneous bentonite barrier. Environ. Geotech. 2020, 7, 147–159. [Google Scholar] [CrossRef]
  66. Madejová, J.; Jankovič, Ľ.; Slaný, M.; Hronský, V. Conformation heterogeneity of alkylammonium surfactants self-assembled on montmorillonite: Effect of head-group structure and temperature. Appl. Surf. Sci. 2020, 503, 144125. [Google Scholar] [CrossRef]
  67. Akesson, M.; Kristensson, O.; Börgesson, L. THM Modelling of Buffer, Backfill and Other System Components—Critical Processes and Scenarios; Report No. SKB TR-10-11; Svensk Kärnbränslehantering AB: Stockholm, Sweden, 2010; p. 368. [Google Scholar]
  68. Huang, W.L.; Longo, J.M.; Pevear, D.R. An experimentally derived kinetic model for smectite-to-illite conversion and its use as a geothermometer. Clays Clay Miner. 1993, 41, 162–177. [Google Scholar] [CrossRef]
Figure 1. Schematic illustration for EBS design: (A) front view; (B) side view. (The EBS is located at a depth of about 500 m below the ground surface. Minus sign denotes below the ground surface).
Figure 1. Schematic illustration for EBS design: (A) front view; (B) side view. (The EBS is located at a depth of about 500 m below the ground surface. Minus sign denotes below the ground surface).
Applsci 11 07933 g001
Figure 2. Initial temperature of the reference case in Taiwan.
Figure 2. Initial temperature of the reference case in Taiwan.
Applsci 11 07933 g002
Figure 3. Finite element mesh for EBS and host rock.
Figure 3. Finite element mesh for EBS and host rock.
Applsci 11 07933 g003
Figure 4. Schematic for the structure of the smectite mineral and two layers of water molecules in the interlayer spacing. Here, T and O denote the silicon tetrahedral sheet and alumina octahedral sheet, respectively. Cation denotes the cation ion sorption on the interlayer.
Figure 4. Schematic for the structure of the smectite mineral and two layers of water molecules in the interlayer spacing. Here, T and O denote the silicon tetrahedral sheet and alumina octahedral sheet, respectively. Cation denotes the cation ion sorption on the interlayer.
Applsci 11 07933 g004
Figure 5. Comparison between COMSOL 1D transport model and analytical solution in the case of the transient-conservative tracer.
Figure 5. Comparison between COMSOL 1D transport model and analytical solution in the case of the transient-conservative tracer.
Applsci 11 07933 g005
Figure 6. Comparison between COMSOL 1D transport model and analytical solution in the case of the transient decay tracer.
Figure 6. Comparison between COMSOL 1D transport model and analytical solution in the case of the transient decay tracer.
Applsci 11 07933 g006
Figure 7. Comparison between COMSOL 1D transport model and analytical solution in the case of the transient-adsorbing tracer.
Figure 7. Comparison between COMSOL 1D transport model and analytical solution in the case of the transient-adsorbing tracer.
Applsci 11 07933 g007
Figure 8. Schematic illustration for the Q1 transport path of radionuclide.
Figure 8. Schematic illustration for the Q1 transport path of radionuclide.
Applsci 11 07933 g008
Figure 9. Canister power as a function of time.
Figure 9. Canister power as a function of time.
Applsci 11 07933 g009
Figure 10. Temperature profile at six years for the simulation region.
Figure 10. Temperature profile at six years for the simulation region.
Applsci 11 07933 g010
Figure 11. Points for temperature calculation within the buffer, each gap of points is 5 cm.
Figure 11. Points for temperature calculation within the buffer, each gap of points is 5 cm.
Applsci 11 07933 g011
Figure 12. Temperature and modified porosity distribution at points A–H.
Figure 12. Temperature and modified porosity distribution at points A–H.
Applsci 11 07933 g012
Figure 13. Average temperature evolution and the modified porosity as a function of time within the buffer material.
Figure 13. Average temperature evolution and the modified porosity as a function of time within the buffer material.
Applsci 11 07933 g013
Figure 14. Schematic illustration of modified porosity setting in radionuclide transport model: (A) the temperature in relation to distance for the simulation from 1 year to 11 years; (B) schematic diagram of the buffer zone divided into two areas; (C) transient modified porosity distribution in buffer materials.
Figure 14. Schematic illustration of modified porosity setting in radionuclide transport model: (A) the temperature in relation to distance for the simulation from 1 year to 11 years; (B) schematic diagram of the buffer zone divided into two areas; (C) transient modified porosity distribution in buffer materials.
Applsci 11 07933 g014aApplsci 11 07933 g014b
Figure 15. Concentration breakthrough curves as a function of time for radionuclides with and without porosity correction: (A) I-129; (B) Ni-59; (C) Sr-90; (D) Cs-137.
Figure 15. Concentration breakthrough curves as a function of time for radionuclides with and without porosity correction: (A) I-129; (B) Ni-59; (C) Sr-90; (D) Cs-137.
Applsci 11 07933 g015
Figure 16. Average smectite fraction as a function of time on illitization process.
Figure 16. Average smectite fraction as a function of time on illitization process.
Applsci 11 07933 g016
Table 1. Parameters of time and coefficient (ai) used in power computation for heat decay.
Table 1. Parameters of time and coefficient (ai) used in power computation for heat decay.
t [Years]aiit [Years]ai
1200.060147520000.025407
2500.70502465000−0.009227
3200−0.054753720,0000.023877
45000.249767
Table 2. Parameters for heat transport simulation.
Table 2. Parameters for heat transport simulation.
ParameterUnitsDescriptionBuffer [32]Backfill [32]Host Rock [33]
ρg/cm3Density2.782.502.75
CpJkg−1K−1Heat capacity800780812
kWm−1K−1Thermal conductivity1.10.72.3
Table 3. Value of the rate constant (k) and parameter (m) for 2W–1W and 1W–0W transitions.
Table 3. Value of the rate constant (k) and parameter (m) for 2W–1W and 1W–0W transitions.
Dehydration StageT (°C)mk
2W–1W350.8466.45 × 10−3
1W–0W900.7331.55 × 10−3
Table 4. Parameter values for simulation in transient advection and dispersion.
Table 4. Parameter values for simulation in transient advection and dispersion.
ParameterValue [45]Units
Velocity10−4m/s
Dispersion coefficient10−4m2/s
Porosity0.4-
Decay constant5 × 10−51/s
Distribution coefficient6.8 × 10−4mol/kg
Liquid density1000kg/m3
Solid gran density2000kg/m3
Table 5. Parameter values of radionuclides for simulation in transient diffusion.
Table 5. Parameter values of radionuclides for simulation in transient diffusion.
ParameterValue of I-129Value of Ni-59Value of Sr-90Value of Cs-137UnitsSource
Diffusion coefficient3.2184 × 10−103.2184 × 10−103.2184 × 10−103.2184 × 10−10m2/s[50]
Porosity0.4350.4350.4350.435-[50]
Decay constant4.415 × 10−86.8628 × 10−60.0240760.0229771/yr[46]
Half-life1.57 × 1071.01 × 10528.7930.17yr[46]
Distribution coefficient-3 × 10−14.5 × 10−39.3 × 10−2m3/kg[50]
Liquid density1000100010001000kg/m3-
Solid density2000200020002000kg/m3[50]
IRF2.9 × 10−21.2 × 10−22.5 × 10−32.9 × 10−2-[46]
Degradation rate10−710−710−710−7yr−1[46]
Solubility limit-3 × 10−13.7-mol/m3[46]
Nuclide inventory3.926396.9411.5mol/canister[51]
Table 6. Dehydration times for 2W–1W and 1W–0W transitions.
Table 6. Dehydration times for 2W–1W and 1W–0W transitions.
Dehydration StageT (°C)Dehydration Time (sec)
2W−1W353661
1W−0W9024,799
Table 7. Variations with time of the buffer volume and compression amount.
Table 7. Variations with time of the buffer volume and compression amount.
Time (Years)Hydrous StateϕαΔϕBuffer Volume (cm3)Radial Compression (cm)
02W0.177-6,301,465-
1–21W0.3210.1445,394,0542.427
3–100W0.4350.2585,373,5292.485
11–20,0001W0.321−0.114 *5,394,0542.427
* Minus sign denotes buffer swelling recovery.
Publisher’s Note: MDPI stays neutral with regard to jurisdictional claims in published maps and institutional affiliations.

Share and Cite

MDPI and ACS Style

Liang, S.-Y.; Lin, W.-S.; Lin, G.-F.; Liu, C.-W.; Fan, C. The Effect of Porosity Change in Bentonite Caused by Decay Heat on Radionuclide Transport through Buffer Material. Appl. Sci. 2021, 11, 7933. https://doi.org/10.3390/app11177933

AMA Style

Liang S-Y, Lin W-S, Lin G-F, Liu C-W, Fan C. The Effect of Porosity Change in Bentonite Caused by Decay Heat on Radionuclide Transport through Buffer Material. Applied Sciences. 2021; 11(17):7933. https://doi.org/10.3390/app11177933

Chicago/Turabian Style

Liang, Suu-Yan, Wen-Sheng Lin, Gwo-Fong Lin, Chen-Wuing Liu, and Chihhao Fan. 2021. "The Effect of Porosity Change in Bentonite Caused by Decay Heat on Radionuclide Transport through Buffer Material" Applied Sciences 11, no. 17: 7933. https://doi.org/10.3390/app11177933

APA Style

Liang, S.-Y., Lin, W.-S., Lin, G.-F., Liu, C.-W., & Fan, C. (2021). The Effect of Porosity Change in Bentonite Caused by Decay Heat on Radionuclide Transport through Buffer Material. Applied Sciences, 11(17), 7933. https://doi.org/10.3390/app11177933

Note that from the first issue of 2016, this journal uses article numbers instead of page numbers. See further details here.

Article Metrics

Back to TopTop