Novel Whole Blood MicroRNAs Predicting Chronic Kidney Disease in South Africans with Hypertension and Diabetes Mellitus
Abstract
1. Introduction
2. Materials and Methods
2.1. Study Design and Procedures
2.2. MicroRNA Analysis
2.3. Statistical Analysis
3. Results
3.1. General Characteristics of the Study Population
3.2. Relative Expression Levels of Whole Blood miRNAs
3.3. Relationship between Whole Blood miRNAs, eGFR, and Prevalent CKD
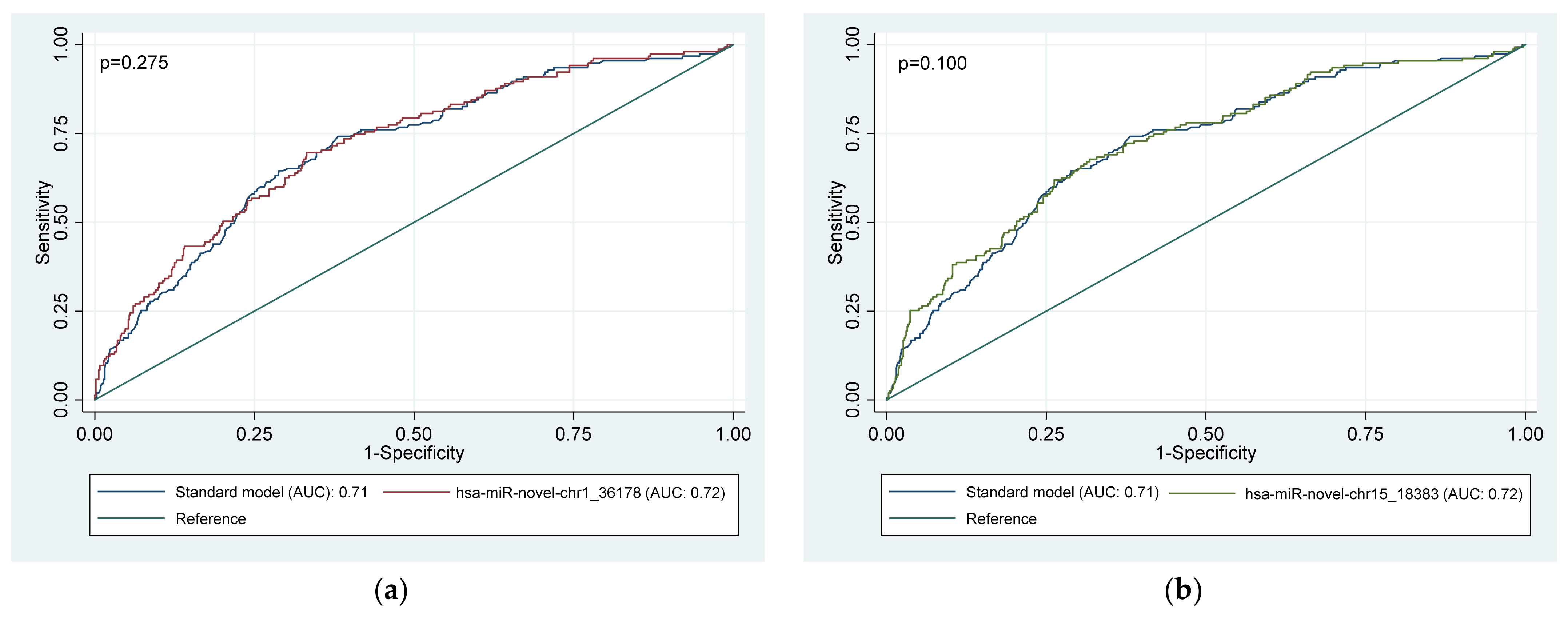
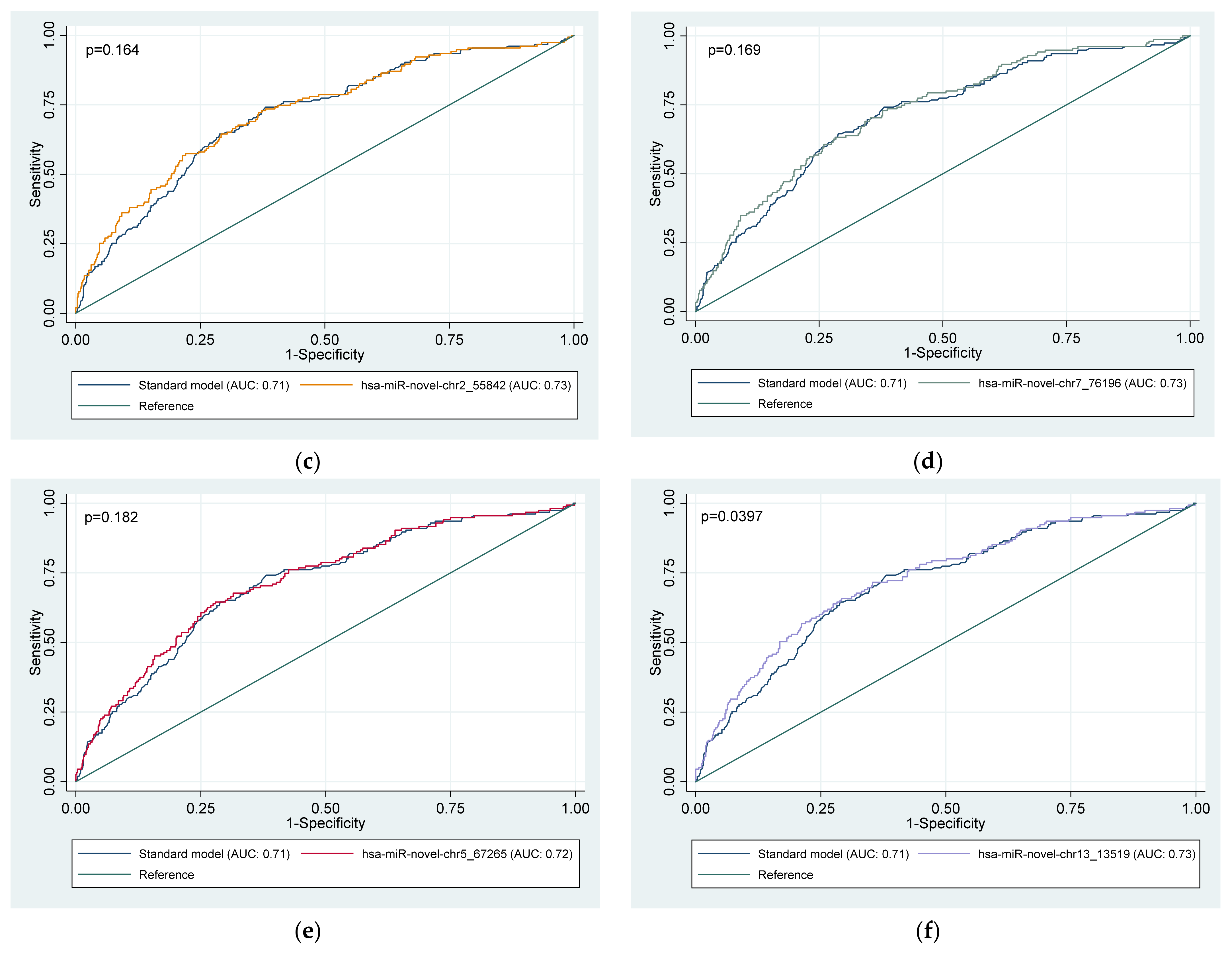
3.4. Diagnostic Value of Whole Blood miRNAs to Predict CKD
4. Discussion
5. Conclusions
Author Contributions
Funding
Institutional Review Board Statement
Informed Consent Statement
Data Availability Statement
Acknowledgments
Conflicts of Interest
References
- Bikbov, B.B.; Purcell, C.A.; Levey, A.S.; Smith, M.; Abdoli, A.; Abebe, M.; Adebayo, O.M.; Afarideh, M.; Agarwal, S.K.; Agudelo-Botero, M.; et al. Global, regional, and national burden of chronic kidney disease, 1990–2017: A systematic analysis for the Global Burden of Disease Study 2017. Lancet 2020, 395, 709–733. [Google Scholar] [CrossRef]
- Kaze, A.D.; Ilori, T.; Jaar, B.G.; Echouffo-Tcheugui, J.B. Burden of chronic kidney disease on the African continent: A systematic review and meta-analysis. BMC Nephrol. 2018, 19, 125. [Google Scholar] [CrossRef]
- George, J.A.; Brandenburg, J.T.; Fabian, J.; Crowther, N.J.; Agongo, G.; Alberts, M.; Ali, S.; Asiki, G.; Boua, P.R.; Gómez-Olivé, F.X.; et al. Kidney damage and associated risk factors in rural and urban sub-Saharan Africa (AWI-Gen): A cross-sectional population study. Lancet Glob. Health 2019, 7, 1632–1643. [Google Scholar] [CrossRef]
- Noubiap, J.J.N. Diabetic nephropathy in Africa: A systematic review. World J. Diabetes 2015, 6, 759. [Google Scholar] [CrossRef]
- Internation Diabetes Foundation. IDF Diabetes Atlas, 9th ed.; Internation Diabetes Foundation: Brussels, Belgium, 2019; Available online: https://diabetesatlas.org/en/ (accessed on 10 August 2021).
- Anderson, A.H.; Yang, W.; Townsend, R.R.; Pan, Q.; Chertow, G.M.; Kusek, J.W.; Charleston, J.; He, J.; Kallem, R.; Lash, J.P.; et al. Time-updated systolic blood pressure and the progression of chronic kidney disease: A cohort study. Ann. Intern. Med. 2015, 162, 258–265. [Google Scholar] [CrossRef]
- Mills, K.T.; Stefanescu, A.; He, J. The global epidemiology of hypertension. Nat. Rev. Nephrol. 2020, 16, 223–237. [Google Scholar] [CrossRef]
- Mills, K.T.; Bundy, J.D.; Kelly, T.N.; Reed, J.E.; Kearney, P.M.; Reynolds, K.; Chen, J.; He, J. Global disparities of hypertension prevalence and control. Circulation 2016, 134, 441–450. [Google Scholar] [CrossRef] [PubMed]
- Bosu, W.K.; Reilly, S.T.; Aheto, J.M.K.; Zucchelli, E. Hypertension in older adults in Africa: A systematic review and meta-analysis. PLoS ONE 2019, 14, e0214934. [Google Scholar] [CrossRef]
- US Renal Data System. USRDS 2013 Annual Data Report. In Atlas of Chronic Kidney Disease and End-Stage Renal Disease in the United States; National Institutes of Health, National Institute of Diabetes and Digestiveand Kidney Diseases: Bethesda, MD, USA, 2013; Volume 2. [Google Scholar]
- Yuan, H.L.; Wang, T.; Zhang, K.H. MicroRNAs as potential biomarkers for diagnosis, therapy and prognosis of gastric cancer. OncoTargets Ther. 2018, 11, 3891. [Google Scholar] [CrossRef]
- Danborg, P.B.; Simonsen, A.H.; Waldemar, G.; Heegaard, N.H.H. The potential of microRNAs as biofluid markers of neurodegenerative diseases—A systematic review. Biomarkers 2014, 19, 259–268. [Google Scholar] [CrossRef]
- Felekkis, K.; Papaneophytou, C. Challenges in using circulating micro-RNAs as biomarkers for cardiovascular diseases. Int. J. Mol. Sci. 2020, 21, 561. [Google Scholar] [CrossRef]
- Bhatt, K.; Mi, Q.S.; Dong, Z. MicroRNAs in kidneys: Biogenesis, regulation, and pathophysiological roles. Am. J. Physiol. Ren. Physiol. 2011, 300, 602–610. [Google Scholar] [CrossRef]
- Brodersen, P.; Voinnet, O. Revisiting the principles of microRNA target recognition and mode of action. Nat. Rev. Mol. Cell Biol. 2009, 10, 141–148. [Google Scholar] [CrossRef] [PubMed]
- Abdellatif, M. Differential expression of microRNAs in different disease states. Circ. Res. 2012, 110, 638–650. [Google Scholar] [CrossRef]
- Keller, S.; Ridinger, J.; Rupp, A.K.; Janssen, J.W.G.; Altevogt, P. Body fluid derived exosomes as a novel template for clinical diagnostics. J. Transl. Med. 2011, 9, 86. [Google Scholar] [CrossRef]
- Mitchell, P.S.; Parkin, R.K.; Kroh, E.M.; Fritz, B.R.; Wyman, S.K.; Pogosova-Agadjanyan, E.L.; Peterson, A.; Noteboom, J.; O’Briant, K.C.; Allen, A.; et al. Circulating microRNAs as stable blood-based markers for cancer detection. Proc. Natl. Acad. Sci. USA 2008, 105, 10513–10518. [Google Scholar] [CrossRef] [PubMed]
- Chandrasekaran, K.; Karolina, D.S.; Sepramaniam, S.; Armugam, A.; Wintour, E.M.; Bertram, J.F.; Jeyaseelan, K. Role of microRNAs in kidney homeostasis and disease. Kidney Int. 2012, 81, 617–627. [Google Scholar] [CrossRef] [PubMed]
- Marques, F.Z.; Campain, A.E.; Tomaszewski, M.; Zukowska-Szczechowska, E.; Yang, Y.H.J.; Charchar, F.J.; Morris, B.J. Gene expression profiling reveals renin mRNA overexpression in human hypertensive kidneys and a role for microRNAs. Hypertension 2011, 58, 1093–1098. [Google Scholar] [CrossRef]
- Kato, M.; Zhang, J.; Wang, M.; Lanting, L.; Yuan, H.; Rossi, J.J.; Natarajan, R. MicroRNA-192 in diabetic kidney glomeruli and its function in TGF-β-induced collagen expression via inhibition of E-box repressors. Proc. Natl. Acad. Sci. USA 2007, 104, 3432–3437. [Google Scholar] [CrossRef] [PubMed]
- Wang, G.; Kwan, B.C.H.; Lai, F.M.M.; Choi, P.C.L.; Chow, K.M.; Li, P.K.T.; Szeto, C.C. Intrarenal expression of miRNAs in patients with hypertensive nephrosclerosis. Am. J. Hypertens. 2010, 23, 78–84. [Google Scholar] [CrossRef] [PubMed]
- Wang, J.; Wang, G.; Liang, Y.; Zhou, X. Expression profiling and clinical significance of plasma microRNAs in diabetic nephropathy. J. Diabetes. Res. 2019. [Google Scholar] [CrossRef] [PubMed]
- Matshazi, D.M.; Weale, C.J.; Erasmus, R.T.; Kengne, A.P.; Davids, S.F.; Raghubeer, S.; Davison, G.M.; Matsha, T.E. Two novel microRNAs and their association with absolute blood pressure parameters in an urban South African community. Mol. Biol. Rep. 2021, 48, 2553–2560. [Google Scholar] [CrossRef] [PubMed]
- Matsha, T.E.; Kengne, A.P.; Hector, S.; Mbu, D.L.; Yako, Y.Y.; Erasmus, R.T. MicroRNA profiling and their pathways in South African individuals with prediabetes and newly diagnosed type 2 diabetes mellitus. Oncotarget 2018, 9, 30485–30498. [Google Scholar] [CrossRef] [PubMed][Green Version]
- Erasmus, R.T.; Soita, D.J.; Hassan, M.S.; Blanco-Blanco, E.; Vergotine, Z.; Kengne, A.P.; Matsha, T.E. High prevalence of diabetes mellitus and metabolic syndrome in a South African coloured population: Baseline data of a study in Bellville, Cape Town. S. Afr. Med. J. 2012, 102, 841–844. [Google Scholar] [CrossRef]
- Chalmers, J.O.H.N.; MacMahon, S.; Mancia, G.; Whitworth, J.; Beilin, L.; Hansson, L.; Neal, B.; Rodgers, A.; Mhurchu, N.; Clark, T. World Health Organization-International Society of Hypertension Guidelines for the management of hypertension. Guidelines sub-committee of the World Health Organization. Clin. Exp. Hypertens. 1999, 21, 1009–1060. [Google Scholar] [PubMed]
- Alberti, K.G.M.M.; Zimmet, P.Z. Definition, diagnosis and classification of diabetes mellitus and its complications. Part 1: Diagnosis and classification of diabetes mellitus. Provisional report of a WHO consultation. Diabet Med. 1998, 15, 539–553. [Google Scholar] [CrossRef]
- Levin, A.; Stevens, P.E.; Bilous, R.W.; Coresh, J.; De Francisco, A.L.; De Jong, P.E.; Griffith, K.E.; Hemmelgarn, B.R.; Iseki, K.; Lamb, E.J.; et al. Kidney Disease: Improving Global Outcomes (KDIGO) CKD Work Group. KDIGO 2012 clinical practice guideline for the evaluation and management of chronic kidney disease. Kidney Int. Suppl. 2013, 3, 1–150. [Google Scholar]
- Holness, J.L.; Bezuidenhout, K.; Davids, M.R.; Warwick, J.M. Validation of equations to estimate glomerular filtration rate in South Africans of mixed ancestry. S. Afr. Med. J. 2020, 110, 229–234. [Google Scholar] [CrossRef]
- Pirkle, J.L.; Flegal, K.M.; Bernert, J.T.; Brody, D.J.; Etzel, R.A.; Maurer, K.R. Exposure of the US population to environmental tobacco smoke: The Third National Health and Nutrition Examination Survey, 1988 to 1991. JAMA 1996, 275, 1233–1240. [Google Scholar] [CrossRef]
- Livak, K.J.; Schmittgen, T.D. Analysis of relative gene expression data using real-time quantitative PCR and the 2−ΔΔCT method. Methods 2001, 24, 402–408. [Google Scholar] [CrossRef]
- Kato, M.; Arce, L.; Wang, M.; Putta, S.; Lanting, L.; Natarajan, R. A microRNA circuit mediates transforming growth factor-β1 autoregulation in renal glomerular mesangial cells. Kidney Int. 2011, 80, 358–368. [Google Scholar] [CrossRef]
- Abdelsalam, M.; Wahab, A.M.; El Sayed, Z.M.; Motawea, M. MicroRNA-451 as an Early Predictor of Chronic Kidney Disease in Diabetic Nephropathy. Int. J. Nephrol. 2020, 2020, 8075376. [Google Scholar] [CrossRef]
- Liu, Y.; Usa, K.; Wang, F.; Liu, P.; Geurts, A.; Li, J.; Williams, A.M.; Regner, K.R.; Kong, Y.; Liu, H.; et al. MicroRNA-214-3p in the kidney contributes to the development of hypertension. J. Am. Soc. Nephrol. 2018, 29, 2518–2528. [Google Scholar] [CrossRef] [PubMed]
- Cheng, Y.; Wang, D.; Wang, F.; Liu, J.; Huang, B.; Baker, M.A.; Yin, J.; Wu, R.; Liu, X.; Regner, K.R.; et al. Endogenous miR-204 protects the kidney against chronic injury in hypertension and diabetes. Am. Soc. Nephrol. 2020, 31, 1539–1554. [Google Scholar] [CrossRef]
- Lu, Q.; Ma, Z.; Ding, Y.; Bedarida, T.; Chen, L.; Xie, Z.; Song, P.; Zou, M.H. Circulating miR-103a-3p contributes to angiotensin II-induced renal inflammation and fibrosis via a SNRK/NF-κB/p65 regulatory axis. Nat. Commun. 2019, 10, 2145. [Google Scholar] [CrossRef]
- Berillo, O.; Huo, K.G.; Fraulob-Aquino, J.C.; Richer, C.; Briet, M.; Boutouyrie, P.; Lipman, M.L.; Sinnett, D.; Paradis, P.; Schiffrin, E.L. Circulating let-7g-5p and miR-191-5p are independent predictors of chronic kidney disease in hypertensive patients. Am. J. Hypertens. 2020, 33, 505–513. [Google Scholar] [CrossRef]
- Yokoyama, Y.; Mise, N.; Suzuki, Y.; Tada-Oikawa, S.; Izuoka, K.; Zhang, L.; Zong, C.; Takai, A.; Yamada, Y.; Ichihara, S. MicroRNAs as potential mediators for cigarette smoking induced atherosclerosis. Int. J. Mol. Sci. 2018, 19, 1097. [Google Scholar] [CrossRef] [PubMed]
- Witwer, K.W. Circulating microRNA biomarker studies: Pitfalls and potential solutions. Clin. Chem. 2015, 61, 56–63. [Google Scholar] [CrossRef] [PubMed]
- Rodriguez-Rius, A.; Martinez-Perez, A.; López, S.; Sabater-Lleal, M.; Souto, J.C.; Soria, J.M. Expression of microRNAs in human platelet-poor plasma: Analysis of the factors affecting their expression and association with proximal genetic variants. Epigenetics 2020, 15, 1396–1406. [Google Scholar] [CrossRef]
- Sunderland, N.; Skroblin, P.; Barwari, T.; Huntley, R.P.; Lu, R.; Joshi, A.; Lovering, R.C.; Mayr, M. MicroRNA biomarkers and platelet reactivity: The clot thickens. Circ. Res. 2017, 120, 418–435. [Google Scholar] [CrossRef]
- Cochetti, G.; Cari, L.; Nocentini, G.; Maulà, V.; Suvieri, C.; Cagnani, R.; De Vermandois, J.A.R.; Mearini, E. Detection of urinary miRNAs for diagnosis of clear cell renal cell carcinoma. Sci. Rep. 2020, 10, 21290. [Google Scholar] [CrossRef] [PubMed]
- George, C.; Matsha, T.E.; Erasmus, R.T.; Kengne, A.P. Haematological profile of chronic kidney disease in a mixed-ancestry South African population: A cross-sectional study. BMJ Open 2018, 8, e025694. [Google Scholar] [CrossRef] [PubMed]
- Sun, L.; Yu, Y.; Niu, B.; Wang, D. Red Blood cells as potential repositories of microRNAs in the circulatory system. Front. Genet. 2020, 11, 442. [Google Scholar] [CrossRef]
- Keller, A.; Leidinger, P.; Bauer, A.; ElSharawy, A.; Haas, J.; Backes, C.; Wendschlag, A.; Giese, N.; Tjaden, C.; Ott, K.; et al. Toward the blood-borne miRNome of human diseases. Nat. Methods 2011, 8, 841–843. [Google Scholar] [CrossRef] [PubMed]
- Grasedieck, S.; Sorrentino, A.; Langer, C.; Buske, C.; Döhner, H.; Mertens, D.; Kuchenbauer, F. Circulating microRNAs in hematological diseases: Principles, challenges, and perspectives. Blood 2013, 121, 4977–4984. [Google Scholar] [CrossRef]
- Unger, T.; Borghi, C.; Charchar, F.; Khan, N.A.; Poulter, N.R.; Prabhakaran, D.; Ramirez, A.; Schlaich, M.; Stergiou, G.S.; Tomaszewski, M.; et al. 2020 International Society of Hypertension global hypertension practice guidelines. Hypertension 2020, 75, 1334–1357. [Google Scholar] [CrossRef]




| Variables | Total (n = 911) | Without CKD (n = 740) | CKD (n = 171) | p-Value |
|---|---|---|---|---|
| Age (years) | 56 (47–64) | 55 (47–62) | 63 (53–70) | <0.0001 |
| Gender (n, % male) | 203 (22.3) | 168 (22.7) | 35 (20.5) | 0.517 |
| Weight (kg) | 74.5 (61.9–87.5) | 74.5(61.5–87.6) | 74.7 (63.9–85.3) | 0.859 |
| Waist circumference (cm) | 95.3 (84.3–106.7) | 94.4 (83.4–106.8) | 98.5 (88.3–106.4) | 0.023 |
| Hip circumference (cm) | 104.5 (94.5–115.9) | 104.5 (94.0–116.0) | 104.8 (96.7–115.0) | 0.313 |
| Body mass index (kg/m2) | 29.7 (24.5–35.2) | 29.5 (24.2–35.1) | 30.5 (25.7–35.6) | 0.175 |
| Serum cotinine (ng/mL) | 10.0 (10.0–257.0) | 10.0 (10.0–263.0) | 10.0 (10.0–208.00) | 0.250 |
| Fasting plasma glucose (mmol/l) | 5.2 (4.7–6.2) | 5.2 (4.7–6.0) | 5.3 (4.8–7.8) | 0.003 |
| 2-h glucose (mmol/l) | 6.5 (5.3–8.3) | 6.4 (5.3–8.2) | 7.1 (5.8–8.8) | 0.005 |
| Fasting insulin (IU/l) | 7.4 (4.7–12.1) | 7.3 (4.6–11.9) | 7.5 (4.9–12.5) | 0.292 |
| 2-h insulin (IU/l) | 43.5 (23.2–78.0) | 41.8 (22.6–76.5) | 51.5 (30.3–90.7) | 0.035 |
| Glycated haemoglobin (%) | 5.9 (5.5–6.6) | 5.9 (5.5–6.4) | 6.2 (5.8–7.7) | <0.0001 |
| Systolic blood pressure (mmHg) | 147 (132–162) | 146 (132–161) | 149 (132–169) | 0.047 |
| Diastolic blood pressure (mmHg) | 91 (82–100) | 92 (82–99) | 90 (80–103) | 0.656 |
| Pulse pressure (mmHg) | 72 (64–81) | 72 (64–80) | 74 (64–84) | 0.079 |
| Body mass index categories (n, %) | 0.085 | |||
| Normal weight | 247 (27.4) | 212 (29.0) | 35 (20.6) | |
| Overweight | 216 (24.0) | 172 (23.5) | 44 (25.9) | |
| Obese | 438 (48.6) | 347 (47.5) | 91 (53.5) | |
| Diabetes mellitus (n, %) | 277 (30.4) | 200 (27.0) | 77 (45.0) | <0.0001 |
| Hypertension (n, %) | 878 (96.4) | 709 (95.8) | 169 (98.8) | 0.057 |
| Current smokers (n, %) | 395 (44.5) | 342 (47.7) | 53 (31.2) | <0.0001 |
| Current drinkers (n, %) | 222 (24.6) | 209 (28.5) | 13 (7.6) | <0.0001 |
| β | 95% CI | p-Value | |
|---|---|---|---|
| hsa-miR-novel-chr1_36178 | |||
| Model 1 | −0.52 | −1.71 to 0.67 | 0.395 |
| Model 2 | −0.45 | −1.45 to 0.55 | 0.381 |
| Model 3 | −0.52 | −1.52 to 0.49 | 0.311 |
| Model 4 | −0.49 | −1.49 to 0.52 | 0.343 |
| hsa-miR-novel-chr15_18383 | |||
| Model 1 | 1.46 | −1.84 to 4.76 | 0.386 |
| Model 2 | 0.36 | −2.42 to 3.14 | 0.802 |
| Model 3 | −0.10 | −2.87 to 2.68 | 0.942 |
| Model 4 | −0.05 | −2.83 to 2.74 | 0.973 |
| hsa-miR-novel-chr2_55842 | |||
| Model 1 | −5.51 | −8.01 to −3.02 | <0.0001 |
| Model 2 | −2.74 | −4.85 to −0.64 | 0.011 |
| Model 3 | −2.64 | −4.77 to −0.52 | 0.015 |
| Model 4 | −2.70 | −4.82 to −0.57 | 0.013 |
| hsa-miR-novel-chr7_76196 | |||
| Model 1 | −10.1 | −18.05 to −2.15 | 0.013 |
| Model 2 | −7.07 | −13.73 to −0.41 | 0.038 |
| Model 3 | −7.34 | −14.00 to −0.68 | 0.031 |
| Model 4 | −7.39 | −14.05 to −0.72 | 0.030 |
| hsa-miR-novel-chr5_67265 | |||
| Model 1 | −2.87 | −4.59 to −1.15 | 0.001 |
| Model 2 | −1.62 | −3.07 to −0.17 | 0.029 |
| Model 3 | −1.35 | −2.81 to 0.12 | 0.071 |
| Model 4 | −1.40 | −2.88 to 0.07 | 0.062 |
| hsa-miR-novel-chr13_13519 | |||
| Model 1 | −4.05 | −6.70 to −1.41 | 0.003 |
| Model 2 | −2.19 | −4.42 to 0.00 | 0.050 |
| Model 3 | −1.73 | −3.97 to 0.51 | 0.131 |
| Model 4 | −1.76 | −4.02 to 0.49 | 0.126 |
| OR | 95% CI | p-Value | |
|---|---|---|---|
| hsa-miR-novel-chr1_36178 | |||
| Model 1 | 1.20 | 1.09 to 1.32 | <0.0001 |
| Model 2 | 1.22 | 1.10 to 1.35 | <0.0001 |
| Model 3 | 1.23 | 1.10 to 1.38 | <0.0001 |
| Model 4 | 1.22 | 1.10 to 1.37 | <0.0001 |
| hsa-miR-novel-chr15_18383 | |||
| Model 1 | 1.33 | 1.02 to 1.74 | 0.038 |
| Model 2 | 1.39 | 1.06 to 1.83 | 0.019 |
| Model 3 | 1.46 | 1.11 to 1.93 | 0.007 |
| Model 4 | 1.44 | 1.09 to 1.89 | 0.009 |
| hsa-miR-novel-chr2_55842 | |||
| Model 1 | 1.70 | 1.40 to 2.07 | <0.0001 |
| Model 2 | 1.66 | 1.36 to 2.04 | <0.0001 |
| Model 3 | 1.65 | 1.34 to 2.04 | <0.0001 |
| Model 4 | 1.65 | 1.33 to 2.05 | <0.0001 |
| hsa-miR-novel-chr7_76196 | |||
| Model 1 | 4.40 | 2.37 to 8.19 | <0.0001 |
| Model 2 | 4.34 | 2.27 to 8.30 | <0.0001 |
| Model 3 | 4.64 | 2.37 to 9.08 | <0.0001 |
| Model 4 | 4.89 | 2.48 to 9.64 | <0.0001 |
| hsa-miR-novel-chr5_67265 | |||
| Model 1 | 1.20 | 1.05 to 1.37 | 0.007 |
| Model 2 | 1.17 | 1.02 to 1.33 | 0.027 |
| Model 3 | 1.38 | 1.19 to 1.61 | <0.0001 |
| Model 4 | 1.37 | 1.17 to 1.60 | <0.0001 |
| hsa-miR-novel-chr13_13519 | |||
| Model 1 | 1.96 | 1.56 to 2.46 | <0.0001 |
| Model 2 | 1.93 | 1.52 to 2.45 | <0.0001 |
| Model 3 | 1.83 | 1.44 to 2.32 | <0.0001 |
| Model 4 | 1.79 | 1.40 to 2.28 | <0.0001 |
Publisher’s Note: MDPI stays neutral with regard to jurisdictional claims in published maps and institutional affiliations. |
© 2021 by the authors. Licensee MDPI, Basel, Switzerland. This article is an open access article distributed under the terms and conditions of the Creative Commons Attribution (CC BY) license (https://creativecommons.org/licenses/by/4.0/).
Share and Cite
Motshwari, D.D.; George, C.; Matshazi, D.M.; Weale, C.J.; Davids, S.F.G.; Erasmus, R.T.; Kengne, A.P.; Matsha, T.E. Novel Whole Blood MicroRNAs Predicting Chronic Kidney Disease in South Africans with Hypertension and Diabetes Mellitus. Appl. Sci. 2021, 11, 7674. https://doi.org/10.3390/app11167674
Motshwari DD, George C, Matshazi DM, Weale CJ, Davids SFG, Erasmus RT, Kengne AP, Matsha TE. Novel Whole Blood MicroRNAs Predicting Chronic Kidney Disease in South Africans with Hypertension and Diabetes Mellitus. Applied Sciences. 2021; 11(16):7674. https://doi.org/10.3390/app11167674
Chicago/Turabian StyleMotshwari, Dipuo D., Cindy George, Don M. Matshazi, Cecil J. Weale, Saarah F. G. Davids, Rajiv T. Erasmus, Andre P. Kengne, and Tandi E. Matsha. 2021. "Novel Whole Blood MicroRNAs Predicting Chronic Kidney Disease in South Africans with Hypertension and Diabetes Mellitus" Applied Sciences 11, no. 16: 7674. https://doi.org/10.3390/app11167674
APA StyleMotshwari, D. D., George, C., Matshazi, D. M., Weale, C. J., Davids, S. F. G., Erasmus, R. T., Kengne, A. P., & Matsha, T. E. (2021). Novel Whole Blood MicroRNAs Predicting Chronic Kidney Disease in South Africans with Hypertension and Diabetes Mellitus. Applied Sciences, 11(16), 7674. https://doi.org/10.3390/app11167674

