Abstract
HSPs demonstrate a strong association with gamma-delta (γδ) T cells. Most of the studies regarding interactions between the parameters were conducted in the 1990s. Despite promising results, the concept of targeting γδ T cells by HSPs seems to be a forgotten direction due to potent non-peptidic phosphoantigens rather than HSPs have been found to be the essential stimulatory components for human γδ cells. Currently, with greater knowledge of lymphocyte diversity, and more accurate diagnostic methods, we decided to study the correlation once again in the neoplastic condition. Twenty-one children with newly diagnosed acute lymphoblastic leukaemia (ALL) were enrolled on the study. Serum HSP90 concentrations were evaluated by an enzyme-linked immunosorbent assay (ELISA), subsets of γδ T cells (CD3+ γδ, CD3+ γδ HLA/DR+, CD4+ γδ and CD8+ γδ) by flow cytometry. We have shown statistically relevant correlations between serum HSP90 and CD3+ HLA/DR+ γδ T cells in paediatric ALL at diagnosis (R = 0.53, p < 0.05), but not after induction chemotherapy. We also have demonstrated decreased levels of both serum HSP90 and CD3+ HLA/DR+ γδ T cells before treatment, which may indirectly indicate dose-dependent unknown interaction between the parameters. The results of our study may be a good introduction to research on the association between HSPs and CD3+ HLA/DR+ γδ T cells, which could be an interesting direction for the development of anti-cancer strategies, not just for childhood ALL.
1. Introduction
Heat-shock proteins (HSPs) have recently been extensively studied in the context of anticancer properties, especially their extracellular form. Serum HSPs have been found to elicit antitumour immunity by acting as tumour-specific antigens, and adjuvants that facilitate uptake, processing, and presentation [1,2].
According to many reports, HSPs demonstrate a strong association with gamma-delta (γδ) T cells by different mechanisms including direct recognition of specific epitopes in their free form or as peptide-HSPs complexes [3].
Human γδ T cells represent a small subset of CD3+ T lymphocytes (1–10%), however, these cells have been gaining the interest of scientists’ and clinicians’ as they demonstrate both innate and adaptive immune properties. Their primary functions include phagocytosis and the presentation of soluble antigens to alpha-beta (αβ) T cells, induction of dendritic cells (DC), maturation and the production of cytokines [4]. The key advantage of γδ T cells is their ability to identify antigens out of the context of the classical major histocompatibility complex (MHC) and the natural tropism of γδ T cells for the tumour microenvironment [5].
Numerous reports have confirmed the safety of using γδ T cells in adoptive immunotherapy [6]. Unfortunately, the efficacy of γδ T cell immunotherapy has been limited. This is hypothesized to be due to the ambiguous effects of specific γδ T cell subsets on cancer cells. Furthermore, energy or exhaustion of the effector γδ T cells has been observed after induction by ligands such as n-aminobisphosphonates or phosphorylated antigens [7]. The targeting of γδ T cells by HSPs seems to be a forgotten direction.
Most of the studies regarding interactions between γδ T cells and HSPs were conducted in the 1990s but, despite promising results, the concept was abandoned. Currently, with better technical capabilities, greater knowledge of lymphocyte diversity, and more accurate diagnostic methods we decided to study the correlation once again in the neoplastic condition.
Due to the limited reports concerning extracellular HSP90—one of the most investigated proteins of the HSP family and the correlation with the frequency of specific subunits of γδ T cells in cancers, we examined the relationship between these parameters in the peripheral blood of 21 paediatric patients with B-cell acute lymphoblastic leukaemia (ALL)—the most common cancer in children. In the past, the prognosis was distressingly poor with only a 31% chance of a five-year survival. New diagnostic and treatment modalities have contributed to a drastic improvement in patient outcomes [8,9]. However, despite the relatively satisfying results of conventional chemotherapy, leukaemia remains the leading cause of cancer-related death among children [10].
2. Materials and Methods
Twenty-one patients (10 male and 11 female) aged 1 to 18 years were enrolled in the study. The diagnosis of acute lymphoblastic B-cell leukaemia was verified in accordance with the therapeutic protocol (ALL IC BFM 2009). The most important clinical data concerning patients are summarized in Table 1. Blood samples were collected in two time points (before and after induction chemotherapy—on the 0 and 33rd day of therapy). Data regarding haematological parameters were obtained from the medical records. As a control, blood samples from twenty-two healthy children were collected once. This study was approved by the local Research Ethics Committee. All samples were obtained following written informed consent.
Table 1.
Patient characteristics.
Serum HSP90 concentrations were evaluated by an enzyme-linked immunosorbent assay (ELISA) (human serum HSP90 ELISA Kit, Cloud Clone Corp., Wuhan, China) according to the manufacturer’s instructions. The minimum detectable dose of HSP90 in serum—less than 1.22 ng/mL. Intra-assay coefficient variation < 10%, interassay coefficient variation < 12%. Serum samples were diluted to 1:2 by PBS.
Freshly obtained EDTA whole blood was stained using antibody cocktails: TCRγδ FITC (clone, IMMU510)/TCRαβ PE (clone, IP26A)/CD4 APC (clone, 13B8.2)/CD8 AF700 (clone, B9.11)/HLA-DR PC5 (clone, B8.12.2)/CD3 Krome Orange (clone, UCHT1). Samples were then lysed with an Immunoprep Reagent Kit and TQPrep Workstation (Beckman Coulter, IN, USA). Finally, fluorescence beads for absolute counting were used. For the sample readout, a Navios flow cytometer was used and the data were analysed with Kaluza software (all from Beckman Coulter, IN, USA). The data were interpreted according to the fluorescence minus one approach.
Statistical analysis was performed using IBM SPSS 25 and Statistica 13. The association between serum HSP90 and γδ T cells and in leukaemic patients was analysed by the correlation (R Spearman, Pearson). Wilcoxon test was used to indicate alterations in HSP90 serum level/level of subsets γδ T cells in the research group (before and after chemotherapy). U Mann--Whitney test to compare patients with the control group. A value of p < 0.05 indicated statistical significance.
3. Results
We demonstrated no correlations between serum HSP90 and CD3+ γδ T cells before and after induction chemotherapy (before R = 0.01, after treatment R = −0.41), CD4+ γδ T cells (before R = 0.21, after treatment R = −0.07) and CD8+ γδ (before R = 0.31, after treatment R = 0.09).
The same investigations also showed no statistically relevant differences among healthy controls (serum HSP90 and CD3+ γδ T cells R = 0.45; CD4+ γδ T cells R = 0.2; CD8+ γδ T cells R = 0.12).
Analysis showed a strong association between serum HSP90 and CD3+ HLA/DR+ γδ T cells in ALL patients before treatment (R = 0.53, p < 0.05) vs after induction protocol (R = 0.13); after removal of the outlier (23.85 ng/mL) the correlation between serum HSP90 and CD3+ HLA/DR+ γδ T cells remained still strong (R = 0.53, p < 0.05) (Figure 1). The same patient presented extremely high level of serum HSP90 after treatment (52.51 ng/mL) as well. The difference among the healthy controls was R = −0.2 (Table 2).
Figure 1.
Correlation of activated serum HSP90 and CD3 + γδ T cells among children with ALL at diagnosis.
Table 2.
The results of the correlation coefficient between serum HSP90 and γδ T cells in the research group and controls.
In our previous report, we demonstrated that patients before and on the 33rd day of therapy showed decreased serum HSP90 levels compared to healthy controls with a higher difference on the day of diagnosis than after 33rd day [11].
Interestingly, CD3+ HLA/DR+ γδ T cells were also decreased before chemotherapy relative to the moment after induction protocol.
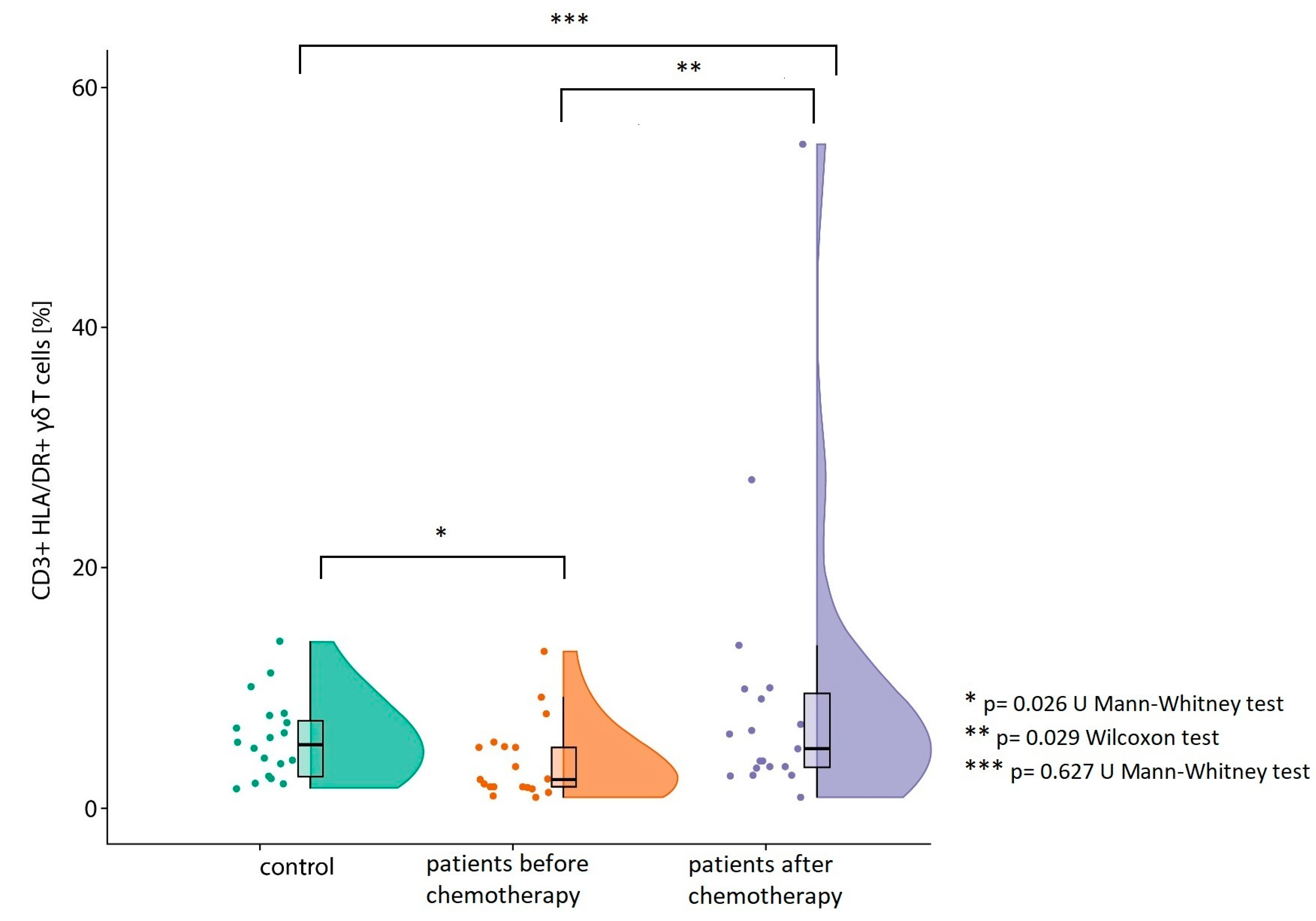
The median CD3+ HLA/DR+ γδ T cells on the day of the diagnosis was 2.36% (range 0.91–13.00%), and 4.96% (range 0.88–55.17%) on the 33rd day of therapy. Median CD3+ HLA/DR+ γδ T cells among the control group was 5.24% (range 1.6%-13.88%). We found statistical differences between CD3+ HLA/DR+ γδ T cells in ALL patients in two time points (p = 0.029, Wilcoxon signed-rank test). Children at disease presentation showed a decreased level of CD3+ HLA/DR+ γδ T cells compared to the healthy controls (p = 0.026, U Mann--Whitney test). However, there was no statistical significance between the level of the lymphocytes among patients on the 33rd day of therapy in comparison to the healthy children (p = 0.627, U Mann-Whitney test) (Figure 2).
Figure 2.
Decreased concentration of CD3 + HLA/DR+ γδ T cells among patients at disease presentation compared to the concentration of the lymphocytes after induction.
We found no statistical differences before and after chemotherapy (Wilcoxon signed-rank test) in the levels of CD3 + γδ T cells (p = 0.87), CD4 + γδ T cells (p = 0.57), and CD8 + γδ T cells (p = 0.39) (Table 3).
Table 3.
The results of statistical tests regarding the comparison of γδ T cells in two time points in the research group (Wilcoxon test) and between the research and study group (U Mann--Whitney test).
4. Discussion
Currently, HSPs are under intensive investigation. In clinical models heat shock proteins, alone or in a complex with tumour-derived peptides, have been shown to elicit an anti-tumour response in cancer patients. HSPs can act as common tumour-specific antigens as well as adjuvants that facilitate the uptake, processing and presentation of antigens. Due to their immunogenic properties, they are used in autologous tumour-derived HSP peptide-based vaccines [1].
γδ T cells represent a small subset of the T cells in peripheral blood. Despite this, they are considered to be good candidates for effective antitumor therapy [4]. γδ T cells can recognize a wide variety of structurally different ligands including phosphoantigens, aminobisphosphonates, alkylamines and several self-proteins such as HSPs, that can be detected without a presentation by other cells or molecules [12].
Activated (CD3+ HLA/DR+) γδ T cells secrete cytokines, which influence the tumour microenvironment and involve IFN-γ inhibiting tumour growth, blocking angiogenesis and macrophage stimulation [4].
In the 90s the correlation between HSPs and γδ T cells was extensively studied following the report demonstrating that murine γδ T cells could be stimulated with HSP65 from mycobacterial extracts, which results in the induction of cytotoxic immune response against affected host cells. It has been reported that a similar mechanism can also take part in the elimination of cancer cells [13,14]. Laad et al. showed that Vγ9Vδ2 T cells recognize HSPs on oral tumour cells and Thomas et al. on oesophageal tumour targets [15,16]. Increased cytotoxicity of γδ T lymphocytes has been demonstrated relative to cell lines expressing HSPs [17].
Despite years of research, the specific mechanisms of interaction remain enigmatic, while the targeting of γδ T cells by HSPs seems to be a forgotten direction because potent non-peptidic phosphoantigens rather than HSPs have been found to be the essential stimulatory components of mycobacterial extracts for human Vγ9Vδ2 [18].
The most popular trend in cancer immunotherapy based on γδ T cells is focused on the stimulation of cells by the systemic administration of phosphoantigens, nitrogen-containing bisphosphonates (N-bis) or synthetic phosphoagonist bromohydrin pyrophosphate (BrH-PP). Despite the proven safety of γδ T cells immunotherapy, its clinical benefit remains an issue. This could be the effect of γδ T cell anergy, decreased number of peripheral blood γδ T cells after the infusion of stimulants or the dual nature of γδ T cells, because it has been reported they could also promote cancer progression through inhibiting antitumour responses and enhancing cancer angiogenesis [7].
In this report we have shown statistically relevant correlations between serum HSP90 and CD3+ HLA/DR+ γδ T cells in paediatric ALL at diagnosis (R = 0.53, p < 0.05) (Figure 1), but not after chemotherapy (R = 0.13). Our team have demonstrated, that the correlation of serum HSP90 with γδ T cells may depend on lymphocytes immunophenotype rather than chains.
We also have noticed that serum HSP90 and CD3+ HLA/DR+ γδ T cells are both decreased before chemotherapy relative to the moment after induction protocol (Figure 2), which indirectly indicate unknown dose-dependent interaction between the parameters in cancer conditions.
The results of our study may be a good introduction to research on the activation of γδ T cells by HSPs which could be an interesting direction for the development of adjuvant anti-cancer strategies, not just for childhood ALL [19].
5. Conclusions
Summing up the correlations between serum HSP90 and activated CD3+ γδ T cells provide a promising suggestion that these cells may enhance the effect of conventional chemotherapy by supporting the immune system. Further studies, including in-vitro experiments, are needed to determine the clinical importance of our findings.
Author Contributions
D.P.-G., M.Z., M.G.-P., F.C., M.N. and P.T. contributed to the concept development and study design. D.P.-G. obtained approvals and collected patient samples and wrote the manuscript. J.S. and M.N. performed statistical analyses and prepared figures. M.G.-P., M.Z. and J.S. performed laboratory analyses. D.P.-G. and M.N. coordinated the study. All authors critically reviewed the manuscript. All authors have read and agreed to the published version of the manuscript.
Funding
The study was supported by a grant for young researchers (MN 01-0262/08/152) from the Medical University of Gdańsk, Poland.
Institutional Review Board Statement
The study was conducted according to the guidelines of the Declaration of Helsinki, and approved by the Independent Bioethics Committee for Scientific Research at Medical University of Gdańsk (NKBBN/251/2016, decision issued on 28 June 2016).
Informed Consent Statement
Informed consent was obtained from all subjects involved in the study.
Data Availability Statement
The statistical analysis (as Excel and Statistica files) used to support the findings of this study are available from the corresponding author upon request.
Acknowledgments
M.G.-P. acknowledges the support of ST46 funding from the Medical University of Gdańsk (Gdańsk, Poland) and the Polish Ministry of Health and Higher Education. Our team would like to thank GetResponse Cares Foundation for research equipment.
Conflicts of Interest
The authors declare that there is no conflict of interest regarding the publication of this paper.
Abbreviations
| γδ T cells | gamma-delta T cells |
| αβ T cells | alpha-beta T cells |
| ALL | acute lymphoblastic leukaemia |
| ALL IC BFM 2009 | acute lymphoblastic leukaemia intercontinental Berlin-Frankfurt-Munchen |
| BM | bone marrow |
| BrH-PP | phosphoagonist bromohydrin pyrophosphate |
| CD | cluster differentiation antigen |
| DC | dendritic cells |
| EDTA | ethylenediaminetetraacetic acid |
| ELISA | enzyme-linked immunosorbent assay |
| HR | high risk (group) |
| HSPs | heat shock proteins |
| IR | intermediate-risk (group) |
| M | bone marrow status (% blasts in bone marrow) |
| MHC | major histocompatibility complex |
| MRD | minimal residual disease |
| N-bis | nitrogen-containing bisphosphonates |
| SR | standard risk (group) |
| WBC | white blood cells |
References
- Shevtsov, M.; Multhoff, G. Heat Shock Protein–Peptide and HSP-Based Immunotherapies for the Treatment of Cancer. Front. Immunol. 2016, 7, 171. [Google Scholar] [CrossRef]
- Calderwood, S.K.; Gong, J.; Murshid, A. Extracellular HSPs: The complicated roles of extracellular HSPs in immunity. Front. Immunol. 2016, 7, 159. [Google Scholar] [CrossRef] [PubMed]
- Cao, W.; He, W. The recognition pattern of gammadelta T cells. Front. Biosci. 2005, 10, 2676–2700. [Google Scholar] [CrossRef] [PubMed][Green Version]
- Wu, Y.L.; Ding, Y.P.; Tanaka, Y.; Shen, L.W.; Wei, C.H.; Minato, N.; Zhang, W. γδ T cells and their potential for immunotherapy. Int. J. Biol. Sci. 2014, 10, 119–135. [Google Scholar] [CrossRef] [PubMed]
- Morandi, F.; Yazdanifar, M.; Cocco, C.; Bertaina, A.; Airoldi, I. Engineering the Bridge between Innate and Adaptive Immunity for Cancer Immunotherapy: Focus on γδ T and NK Cells. Cells 2020, 9, 1757. [Google Scholar] [CrossRef]
- Buccheri, S.; Guggino, G.; Caccamo, N.; Li Donni, P.; Dieli, F. Efficacy and safety of gammadeltaT cell-based tumor immunotherapy: A meta-analysis. J. Biol. Regul. Homeost. Agents 2014, 28, 81–90. [Google Scholar] [PubMed]
- Zhao, Y.; Niu, C.; Cui, J. Gamma-delta (gammadelta) T cells: Friend or foe in cancer development? J. Transl. Med. 2018, 16, 3. [Google Scholar] [CrossRef] [PubMed]
- Hunger, S.P.; Lu, X.; Devidas, M.; Camitta, B.M.; Gaynon, P.S.; Winick, N.J.; Reaman, G.H.; Carrollet, W.L. Improved survival for children and adolescents with acute lymphoblastic leukemia between 1990 and 2005: A report from the children’s oncology group. J. Clin. Oncol. 2012, 30, 1663–1669. [Google Scholar] [CrossRef] [PubMed]
- Hunger, S.P.; Mullighan, C.G. Acute lymphoblastic leukemia in children. N. Engl. J. Med. 2015, 373, 1541–1552. [Google Scholar] [CrossRef] [PubMed]
- Kato, M.; Manabe, A. Treatment and biology of pediatric acute lymphoblastic leukemia. Pediatrics Int. 2018, 60, 4–12. [Google Scholar] [CrossRef] [PubMed]
- Pawlik-Gwozdecka, D.; Górska-Ponikowska, M.; Adamkiewicz-Drożyńska, E.; Niedźwiecki, M. Serum heat shock protein 90 as a future predictive biomarker in childhood acute lymphoblastic leukemia. Centr. Eur. J. Immunol. 2021, 46, 63–67. [Google Scholar] [CrossRef] [PubMed]
- Deseke, M.; Prinz, I. Ligand recognition by the γδ TCR and discrimination between homeostasis and stress conditions. Cell Mol. Immunol. 2020, 17, 914–924. [Google Scholar] [CrossRef] [PubMed]
- Kabelitz, D.; Bender, A.; Schondelmaier, S.; Schoel, B.; Kaufmann, S.H. A large fraction of human peripheral blood gamma/delta + T cells is activated by Mycobacterium tuberculosis but not by its 65-kD heat shock protein. J. Exp. Med. 1990, 171, 667–679. [Google Scholar] [CrossRef]
- Hirsh, M.I.; Junger, W.G. Roles of heat shock proteins and gamma delta T cells in inflammation. Am. J. Respir. Cell Mol. Biol. 2008, 39, 509–513. [Google Scholar] [CrossRef]
- Laad, A.D.; Thomas, M.L.; Fakih, A.R.; Chiplunkar, S.V. Human gamma delta T cells recognize heat shock protein-60 on oral tumor cells. Int. J. Cancer 1999, 80, 709–714. [Google Scholar] [CrossRef]
- Thomas, M.L.; Samant, U.C.; Deshpande, R.K.; Chiplunkar, S.V. Gammadelta T cells lyse autologous and allogenic oesophageal tumours: Involvement of heat-shock proteins in the tumour cell lysis. Cancer Immunol. Immunother. 2000, 48, 653–659. [Google Scholar] [CrossRef]
- Zhang, H.; Hu, H.; Jiang, X.; He, H.; Cui, L.; He, W. Membrane HSP70: The molecule triggering gammadelta T cells in the early stage of tumorigenesis. Immunol. Invest. 2005, 34, 453–468. [Google Scholar] [CrossRef]
- Champagne, E. γδ T cell receptor ligands and modes of antigen recognition. Arch. Immunol. Ther. Exp. 2011, 59, 117–137. [Google Scholar] [CrossRef] [PubMed]
- Rane, S.S.; Dearman, R.J.; Kimber, I.; Uddin, S.; Bishop, S.; Shah, M.; Podmore, A.; Pluen, A.; Derrick, J.P. Impact of a Heat Shock Protein Impurity on the Immunogenicity of Biotherapeutic Monoclonal Antibodies. Pharm. Res. 2019, 36, 51. [Google Scholar] [CrossRef]
Publisher’s Note: MDPI stays neutral with regard to jurisdictional claims in published maps and institutional affiliations. |
© 2021 by the authors. Licensee MDPI, Basel, Switzerland. This article is an open access article distributed under the terms and conditions of the Creative Commons Attribution (CC BY) license (https://creativecommons.org/licenses/by/4.0/).

