Variations of Accelerometer and Metabolic Power Global Positioning System Variables across a Soccer Season: A Within-Group Study for Starters and Non-Starters
Abstract
:1. Introduction
2. Materials and Methods
2.1. Experimental Approach to the Problem
2.2. Participants
2.3. External Monitoring Measures—Microelectromechanical System
2.4. How to Collect Information
2.5. Statistical Analysis
3. Results
4. Discussion
5. Conclusions
Author Contributions
Funding
Institutional Review Board Statement
Informed Consent Statement
Data Availability Statement
Conflicts of Interest
References
- Impellizzeri, F.M.; Marcora, S.M.; Coutts, A.J. Internal and External Training Load: 15 Years On. Int. J. Sports Physiol. Perform. 2019, 14, 270–273. [Google Scholar] [CrossRef]
- Malone, J.J.; Lovell, R.; Varley, M.C.; Coutts, A.J. Unpacking the Black Box: Applications and Considerations for Using GPS Devices in Sport. Int. J. Sports Physiol. Perform. 2017, 12. [Google Scholar] [CrossRef] [Green Version]
- Rago, V.; Brito, J.; Figueiredo, P.; Costa, J.; Barreira, D.; Krustrup, P.; Rebelo, A. Methods to collect and interpret external training load using microtechnology incorporating GPS in professional football: A systematic review. Res. Sports Med. 2020, 28, 437–458. [Google Scholar] [CrossRef]
- Cummins, C.; Orr, R.; O’Connor, H.; West, C. Global positioning systems (GPS) and microtechnology sensors in team sports: A systematic review. Sports Med. 2013, 43, 1025–1042. [Google Scholar] [CrossRef] [PubMed]
- Faude, O.; Koch, T.; Meyer, T. Straight Sprinting is the most Frequent Action in Goal Situations in Professional Football. J. Sports Sci. 2012, 30, 625–631. [Google Scholar] [CrossRef]
- Leduc, C.; Lacome, M.; Buchheit, M. The use of standardised runs (and associated data analysis) to monitor neuromuscular status in team sports players: A call to action. Sport Perform. Sci. Rep. 2020, 1, 1–5. [Google Scholar]
- Harper, D.J.; Carling, C.; Kiely, J. High-Intensity Acceleration and Deceleration Demands in Elite Team Sports Competitive Match Play: A Systematic Review and Meta-Analysis of Observational Studies. Sports Med. 2019, 49, 1923–1947. [Google Scholar] [CrossRef] [PubMed] [Green Version]
- Hader, K.; Mendez-Villanueva, A.; Palazzi, D.; Ahmaidi, S.; Buchheit, M. Metabolic power requirement of change of direction speed in young soccer players: Not all is what it seems. PLoS ONE 2016, 11, e0149839. [Google Scholar] [CrossRef] [PubMed]
- Dalen, T.; Ingebrigtsen, J.; Ettema, G.; Hjelde, G.H.; Wisløf, U. Player load, acceleration, and deceleration during forty-five competitive matches of elite soccer. J. Strength Cond. Res. 2016, 30, 351–359. [Google Scholar] [CrossRef]
- Verheul, J.; Nedergaard, N.J.; Pogson, M.; Lisboa, P.; Gregson, W.; Vanrenterghem, J.; Robinson, M.A. Biomechanical loading during running: Can a two mass-spring-damper model be used to evaluate ground reaction forces for high-intensity tasks? Sports Biomech. 2019. [Google Scholar] [CrossRef] [PubMed]
- Harper, D.J.; Kiely, J. Damaging nature of decelerations: Do we adequately prepare players? BMJ Open Sport Exerc. Med. 2018, 4, e000379. [Google Scholar] [CrossRef] [Green Version]
- Di Prampero, P.E. Sprint running: A new energetic approach. J. Exp. Biol. 2005, 208, 2809–2816. [Google Scholar] [CrossRef] [Green Version]
- Osgnach, C.; Poser, S.; Bernardini, R.; Rinaldo, R.; di Prampero, P.E. Energy Cost and Metabolic Power in Elite Soccer: A New Match Analysis Approach. Med. Sci. Sports Exerc. 2010, 42, 170–178. [Google Scholar] [CrossRef] [PubMed]
- Oliveira, R.; Brito, J.; Martins, A.; Mendes, B.; Marinho, D.A.; Ferraz, R.; Marques, M.C. In-Season Internal and External Training Load Quantification of an Elite European Soccer Team. PLoS ONE 2019, 14, e0209393. [Google Scholar] [CrossRef] [PubMed] [Green Version]
- Oliveira, R.; Brito, J.P.; Martins, A.; Mendes, B.; Calvete, F.; Carriço, S.; Ferraz, R.; Marques, M.C. In-season training load quantification of one-, two-and three-game week schedules in a top European professional soccer team. Physiol. Behav. 2019, 201, 146–156. [Google Scholar] [CrossRef] [PubMed]
- Nobari, H.; Praça, G.M.; Clemente, F.M.; Pérez-Gómez, J.; Carlos-Vivas, J.; Ahmadi, M. Comparisons of new body load and metabolic power average workload indices between starters and non starters: A full-season study in professional soccer players. Proc. Inst. Mech. Eng. Part P J. Sports Eng. Technol. 2021. [Google Scholar] [CrossRef]
- Nobari, H.; Oliveira, R.; Clemente, F.M.; Adsuar, J.C.; Pérez-Gómez, J.; Carlos-Vivas, J.; Brito, J.P. Comparisons of accelerometer variables training monotony and strain of starters and non starters: A full-season study in professional soccer players. Int. J. Environ. Res. Public Health 2020, 17, 6547. [Google Scholar] [CrossRef] [PubMed]
- Anderson, L.; Orme, P.; Di Michele, R.; Close, G.L.; Milsom, J.; Morgans, R.; Drust, B.; Morton, J. Quantification of Seasonal-Long Physical Load in Soccer Players with Different Starting Status from the English Premier League: Implications for Maintaining Squad Physical Fitness. Int. J. Sports Physiol. Perform. 2016, 11, 1038–1046. [Google Scholar] [CrossRef] [Green Version]
- Clemente, F.M.; Clark, C.; Castillo, D.; Sarmento, H.; Nikolaidis, P.T.; Rosemann, T.; Knechtle, B. Variations of Training Load, Monotony, and Strain and Dose-Response Relationships with Maximal Aerobic Speed, Maximal Oxygen Uptake, and Isokinetic Strength in Professional Soccer Players. PLoS ONE 2019, 14, e0225522. [Google Scholar] [CrossRef] [Green Version]
- Nobari, H.; Castillo, D.; Clemente, F.M.; Carlos-Vivas, J.; Pérez-Gómez, J. Acute, chronic and acute/chronic ratio between starters and non-starters professional soccer players across a competitive season. Proc. Inst. Mech. Eng. Part P J. Sports Eng. Technol. 2021. [Google Scholar] [CrossRef]
- Nobari, H.; Chen, Y.-S.; Clemente, F.M.; Kargarfard, M.; Carlos-Vivas, J.; Pérez-Gómez, J. Comparisons of accelerometer variables acute, chronic and acute/chronic workload ratio between starters and non-starters: A full-season study in professional soccer players. Sci. Sports 2021, No.SCISPO-D-20-00286 in press. [Google Scholar]
- William, J.; Tessaro, E. Validity and reliability of a 15 Hz GPS device for court-based sports movements. Sport Perform. Sci. Rep. 2018, 29, 1–4. [Google Scholar]
- Kelly, S.J.; Murphy, A.J.; Watsford, M.L.; Austin, D.; Rennie, M. Reliability and validity of sports accelerometers during static and dynamic testing. Int. J. Sports Physiol. Perform. 2015, 10, 106–111. [Google Scholar] [CrossRef]
- Delaney, J.A.; Cummins, C.J.; Thornton, H.R.; Duthie, G.M. Importance, Reliability, and Usefulness of Acceleration Measures in Team Sports. J. Strength Cond. Res. 2018, 32, 3485–3493. [Google Scholar] [CrossRef] [Green Version]
- Hopkins, W.; Marshall, S.; Batterham, A.; Hanin, J. Progressive statistics for studies in sports medicine and exercise science. Med. Sci. Sports Exerc. 2009, 41, 3. [Google Scholar] [CrossRef] [PubMed] [Green Version]
- Rampinini, E.; Alberti, G.; Fiorenza, M.; Riggio, M.; Sassi, R.; Borges, T.O.; Coutts, A.J. Accuracy of GPS devices for measuring high-intensity running in field-based team sports. Int. J. Sports Med. 2015, 36, 49–53. [Google Scholar] [CrossRef] [PubMed] [Green Version]
- Buchheit, M.; Manouvrier, C.; Cassirame, J.; Morin, J.B. Monitioring locomotor load in soccer: Is metabolic power, powerful? Int. J. Sports Med. 2015, 36, 1149–1155. [Google Scholar] [PubMed] [Green Version]
- Moreira, A.; Bilsborough, J.C.; Sullivan, C.J.; Ciancosi, M.; Aoki, M.S.; Coutts, A.J. The Training Periodization of Professional Australian Football Players During an Entire AFL Season. Int. J. Sports Physiol. Perform. 2015, 10, 566–571. [Google Scholar] [CrossRef]
- Malone, J.; Di Michele, R.; Morgans, R.; Burgess, D.; Morton, J.; Drust, B. Seasonal Training-Load Quantification in Elite English Premier League Soccer Players. Int. J. Sports Physiol. Perform. 2015, 10, 489–497. [Google Scholar] [CrossRef] [Green Version]
- Clemente, F.M.; Silva, R.; Castillo, D.; Arcos, A.L.; Mendes, B.; Afonso, J. Weekly Load Variations of Distance-Based Variables in Professional Soccer Players: A Full-Season Study. Int. J. Environ. Res. Public Health 2020, 17, 3300. [Google Scholar] [CrossRef]
- Clemente, F.M.; Silva, R.; Ramirez-Campillo, R.; Afonso, J.; Mendes, B.; Chen, Y.S. Accelerometry-based variables in professional soccer players: Comparisons between periods of the season and playing positions. Biol. Sport 2020, 37, 389–403. [Google Scholar] [CrossRef]
- Arcos, A.L.; Mendez-Villanueva, A.; Martínez-Santos, R. In-Season Training Periodization of Professional Soccer Players. Biol. Sport 2017, 34, 149–155. [Google Scholar] [CrossRef] [PubMed]
- Meckel, Y.; Doron, O.; Eliakim, E.; Eliakim, A. Seasonal Variations in Physical Fitness and Performance Indices of Elite Soccer Players. Sports 2018, 6, 14. [Google Scholar] [CrossRef] [Green Version]
- Dragijsky, M.; Maly, T.; Zahalka, F.; Kunzmann, E.; Hank, M. Seasonal Variation of Agility, Speed and Endurance Performance in Young Elite Soccer Players. Sports 2017, 5, 12. [Google Scholar] [CrossRef] [PubMed] [Green Version]
- Fessi, M.S.; Zarrouk, N.; Filetti, C.; Rebai, H.; Elloumi, M.; Moalla, W. Physical and anthropometric changes during pre-and in-season in professional soccer players. J. Sports Med. Phys. Fitness 2016, 56, 1163–1170. [Google Scholar]
- Carling, C.; Espié, V.; Le Gall, F.; Bloomfield, J.; Jullien, H. Work-rate of substitutes in elite soccer: A preliminary study. J. Sci. Med. Sport 2010, 13, 253–255. [Google Scholar] [CrossRef] [PubMed]
- Oliveira, R.; Brito, J.P.; Loureiro, N.; Padinha, V.; Ferreira, B.; Mendes, B. Does the distribution of the weekly training load account for the match results of elite professional soccer players? Physiol. Behav. 2020, 225, 113118. [Google Scholar] [CrossRef]
- Oliveira, R.; Brito, J.M.; Loureiro, N.; Padinha, V.; Ferreira, B.; Mendes, B. Effects of match location, match result and the quality of opposition in training load on a two-matches week in a top-class elite European soccer team. Cuad. Psicol. Dep. 2021, 21, 183–197. [Google Scholar]




| Years | 2018 | 2019 | ||||||||||||||||||||||||||||||||||||||||||||||
|---|---|---|---|---|---|---|---|---|---|---|---|---|---|---|---|---|---|---|---|---|---|---|---|---|---|---|---|---|---|---|---|---|---|---|---|---|---|---|---|---|---|---|---|---|---|---|---|---|
| Months | June | July | Aug | Sep | Oct | Nov | Des | Jan | Feb | Mar | Apr | May | June | |||||||||||||||||||||||||||||||||||
| Weeks | 1 | 2 | 3 | 4 | 5 | 6 | 7 | 8 | 9 | 10 | 11 | 12 | 13 | 14 | 15 | 16 | 17 | 18 | 19 | 20 | 21 | 22 | 23 | 24 | 25 | 26 | 27 | 28 | 29 | 30 | 31 | 32 | 33 | 34 | 35 | 36 | 37 | 38 | 39 | 40 | 41 | 42 | 43 | 44 | 45 | 46 | 47 | 48 |
| Phase | Pre-season | Early-season | Mid-season | End-season | ||||||||||||||||||||||||||||||||||||||||||||
| Ma (n) | - | - | - | - | 1 | 1 | 1 | 1 | 1 | 2 | 1 | - | 2 | 1 | 1 | 1 | 1 | 1 | 1 | 1 | 1 | - | 2 | 1 | - | 2 | - | 1 | 1 | 1 | 1 | 1 | 2 | 1 | 1 | 1 | 1 | 1 | 1 | 1 | 1 | 1 | 1 | 1 | - | 1 | 1 | 1 |
| TS (n) | 6 | 7 | 6 | 5 | 3 | 6 | 5 | 5 | 4 | 4 | 4 | 4 | 5 | 5 | 4 | 4 | 4 | 5 | 5 | 4 | 5 | 4 | 2 | 4 | 6 | 4 | 5 | 3 | 3 | 4 | 2 | 5 | 3 | 3 | 3 | 4 | 4 | 3 | 5 | 3 | 3 | 4 | 5 | 3 | 5 | 3 | 4 | 3 |
| TT (avg) | 407.9 | 564.2 | 373.3 | 340.2 | 198.1 | 478.0 | 326.0 | 403.6 | 306.6 | 345.9 | 236.4 | 379.7 | 442.4 | 367.0 | 291.1 | 304.8 | 296.0 | 383.5 | 347.0 | 256.7 | 352.9 | 262.0 | 220.0 | 337.4 | 337.7 | 256.8 | 358.8 | 266.2 | 159.3 | 267.4 | 189.1 | 357.1 | 233.3 | 327.7 | 284.1 | 309.3 | 327.0 | 222.7 | 328.7 | 268.3 | 212.7 | 296.7 | 439.9 | 209.6 | 332.4 | 115.9 | 268.5 | 222.5 |
| TT (sd) | 101.3 | 206.5 | 59.1 | 82.4 | 29.4 | 87.5 | 103.3 | 119.2 | 85.3 | 86.3 | 66.9 | 18.6 | 33.1 | 51.6 | 35.9 | 42.0 | 36.4 | 61.2 | 73.5 | 116.0 | 82.8 | 61.6 | 68.6 | 55.4 | 117.0 | 110.3 | 73.1 | 67.1 | 41.2 | 80.6 | 32.5 | 98.1 | 80.6 | 77.4 | 48.3 | 128.9 | 94.4 | 105.1 | 65.1 | 80.6 | 47.4 | 85.7 | 77.4 | 70.3 | 63.5 | 64.5 | 91.6 | 79.3 |
| Variable | Period | Mean (SD) | COMPARATIVE | Group | P | Hedge’s g (95% CI) |
|---|---|---|---|---|---|---|
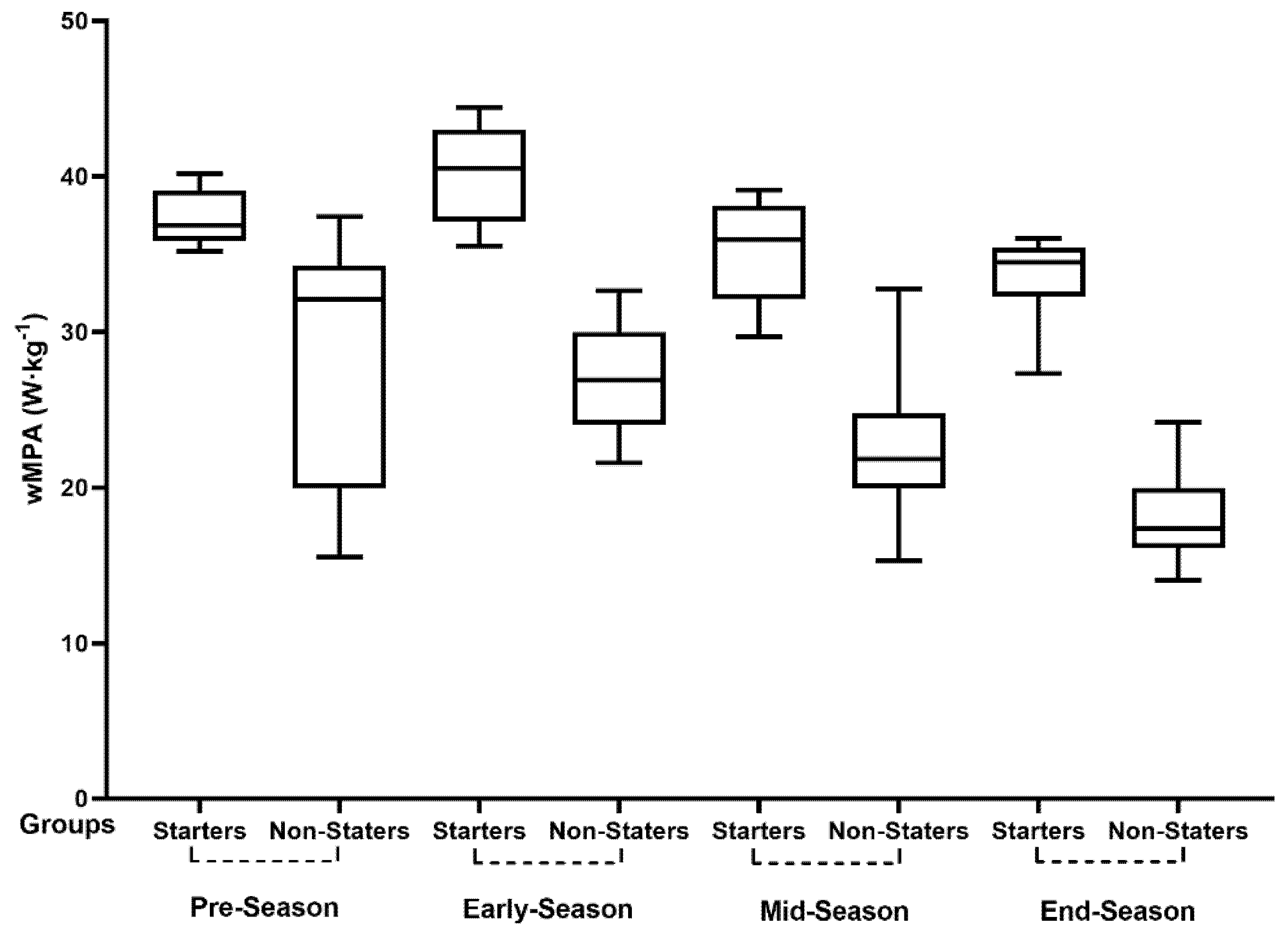
| wMPA (W·kg−1) | Pre-season | Starters: 37.25 ± 1.74 Non-starters: 28.80 ± 7.33 | PreS vs. EarS | Starters | 0.194 | −1.05 [−1.98 to −0.11] |
| Non-starters | 0.704 | 0.32 [−0.52 to 1.16] | ||||
| PreS vs. MidS | Starters | >0.999 | 0.72 [−0.18 to 1.62] | |||
| Early-season | Starters: 40.10 ± 3.24 Non-starters: 26.87 ± 3.88 | Non-starters | 0.001 * | 0.98 [0.10 to 1.86] | ||
| PreS vs. EndS | Starters | 0.072 | 1.53 [0.53 to 2.52] | |||
| Non-starters | <0.001 * | 1.79 [0.80 to 2.78] | ||||
| Mid-season | Starters: 35.28 ± 3.27 Non-starters: 22.62 ± 4.46 | EarS vs. MidS | Starters | <0.001 * | 1.42 [0.44 to 2.40] | |
| Non-starters | 0.001 * | 0.98 [0.09 to 1.86] | ||||
| EarS vs. EndS | Starters | <0.001 * | 2.07 [0.99 to 3.16] | |||
| End-season | Starters: 33.49 ± 2.85 Non-starters: 18.28 ± 3.16 | Non-starters | <0.001 * | 2.34 [1.25 to 3.42] | ||
| MidS vs. EndS | Starters | 0.112 | 0.56 [−0.33 to 1.45] | |||
| Non-starters | <0.001 * | 1.08 [0.19 to 1.98] |
| Variables | Period | Mean (SD) | COMPARATIVE | Groups | P | Hedge’s g (95% CI) |
|---|---|---|---|---|---|---|
| wAcZ1 (m·s2) | Pre-season | Starters: 349.24 ± 16.50 Non-starters: 269.95 ± 81.06 | PreS vs. EarS | Starters | >0.999 | 0.22 [−0.66 to 1.10] |
| Non-starters | >0.999 | 0.22 [−0.62 to 1.06] | ||||
| PreS vs. MidS | Starters | 0.238 | 1.74 [0.71 to 2.77] | |||
| Early-season | Starters: 344.01 ± 27.81 Non-starters: 255.88 ± 32.87 | Non-starters | 0.028 * | 0.77 [−0.10 to 1.64] | ||
| PreS vs. EndS | Starters | 0.164 | 1.74 [0.71 to 2.76] | |||
| Non-starters | 0.001 * | 1.15 [0.25 to 2.05] | ||||
| Mid-season | Starters: 313.02 ± 22.86 Non-starters: 219.78 ± 35.90 | EarS vs. MidS | Starters | 0.040 * | 1.17 [0.22 to 2.11] | |
| Non-starters | 0.009 * | 1.01 [0.12 to 1.90] | ||||
| EarS vs. EndS | Starters | 0.005 * | 1.21 [0.26 to 2.17] | |||
| End-season | Starters: 310.19 ± 25.61 Non-starters: 197.84 ± 26.98 | Non-starters | <0.001 * | 1.86 [0.86 to 2.86] | ||
| MidS vs. EndS | Starters | >0.999 | 0.11 [−0.77 to 0.99] | |||
| Non-starters | 0.023 * | 0.66 [−0.99 to 1.52] | ||||
| wDcZ1 (m·s2) | Pre-season | Starters: 167.42 ± 14.68 Non-starters: 130.69 ± 41.02 | PreS vs. EarS | Starters | >0.999 | −0.08 [−0.96 to 0.79] |
| Non-starters | >0.999 | 0.01 [−0.83 to 0.85] | ||||
| PreS vs. MidS | Starters | 0.273 | 1.32 [0.35 to 2.29] | |||
| Early-season | Starters: 168.69 ± 14.67 Non-starters: 130.33 ± 21.33 | Non-starters | 0.020 * | 0.83 [−0.04 to 1.71] | ||
| PreS vs. EndS | Starters | 0.446 | 1.08 [0.14 to 2.02] | |||
| Non-starters | 0.003 * | 1.01 [0.12 to 1.90] | ||||
| Mid-season | Starters: 149.14 ± 11.63 Non-starters: 103.38 ± 17.23 | EarS vs. MidS | Starters | 0.035 * | 1.41 [0.43 to 2.39] | |
| Non-starters | 0.001 * | 1.34 [0.41 to 2.26] | ||||
| EarS vs. EndS | Starters | 0.074 | 1.18 [0.23 to 2.13] | |||
| End-season | Starters: 152.58 ± 11.36 Non-starters: 98.75 ± 12.76 | Non-starters | <0.001 * | 1.73 [0.75 to 2.71] | ||
| MidS vs. EndS | Starters | >0.999 | −0.29 [−1.17 to 0.59] | |||
| Non-starters | >0.999 | 0.29 [−0.55 to 1.13] |
| Variables | Period | Mean (SD) | COMPARATIVE | Groups | P | Hedge’s g (95% CI) |
|---|---|---|---|---|---|---|
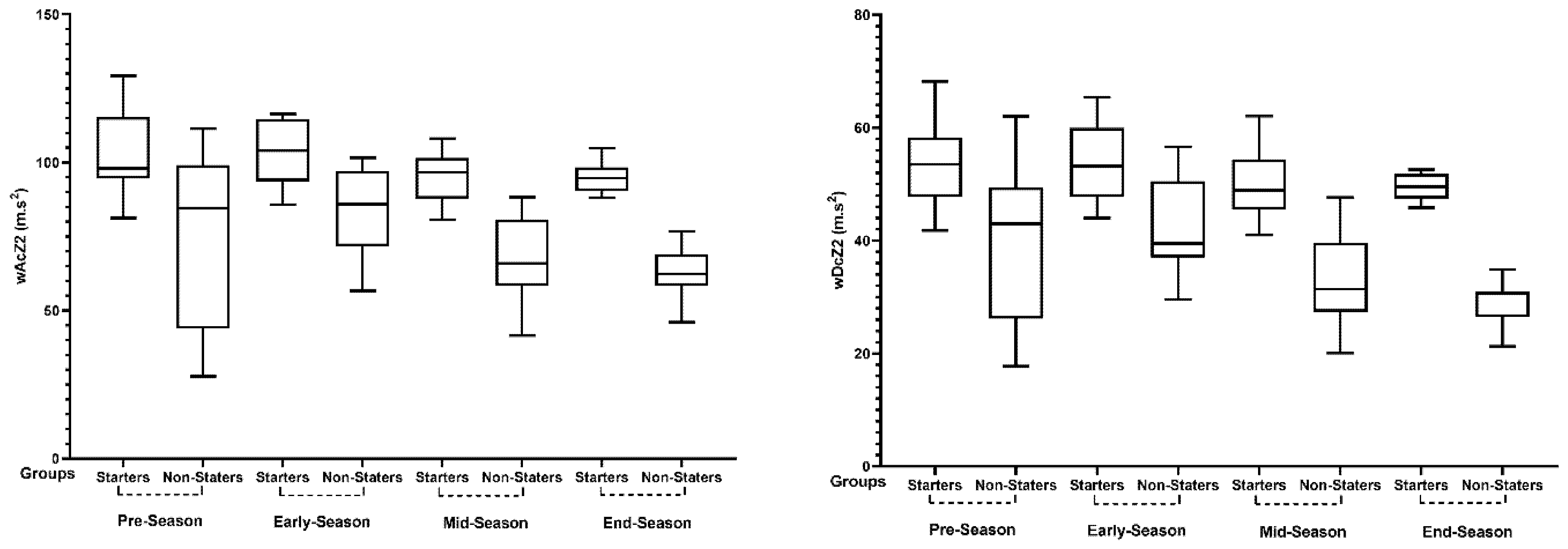
| wAcZ2 (m·s2) | Pre-season | Starters: 103.58 ± 14.21 Non-starters: 76.98 ± 27.63 | PreS vs. EarS | Starters | >0.999 | 0.04 [−0.83 to 0.92] |
| Non-starters | >0.999 | −0.28 [−1.12 to 0.56] | ||||
| PreS vs. MidS | Starters | 0.951 | 0.69 [−0.21 to 1.59] | |||
| Early-season | Starters: 103.00 ± 11.48 Non-starters: 83.46 ± 15.36 | Non-starters | 0.916 | 0.36 [−0.48 to 1.20] | ||
| PreS vs. EndS | Starters | >0.999 | 0.80 [−0.11 to 1.71] | |||
| Non-starters | 0.198 | 0.66 [−0.22 to 1.52] | ||||
| Mid-season | Starters: 95.08 ± 8.78 Non-starters: 68.75 ± 14.08 | EarS vs. MidS | Starters | 0.383 | 0.74 [−0.16 to 1.65] | |
| Non-starters | 0.007 * | 0.96 [0.08 to 1.84] | ||||
| EarS vs. EndS | Starters | 0.298 | 0.89 [−0.03 to 1.81] | |||
| End-season | Starters: 94.67 ± 5.28 Non-starters: 62.93 ± 8.44 | Non-starters | <0.001 * | 1.59 [0.63 to 2.55] | ||
| MidS vs. EndS | Starters | >0.999 | 0.05 [−0.82 to 0.93] | |||
| Non-starters | 0.147 | 0.48 [−0.37 to 1.33] | ||||
| wDccZ2 (m·s2) | Pre-season | Starters: 53.48 ± 7.75 Non-starters: 38.89 ± 13.66 | PreS vs. EarS | Starters | >0.999 | 0.04 [−0.83 to 0.92] |
| Non-starters | >0.999 | −0.08 [−0.95 to 0.80] | ||||
| PreS vs. MidS | Starters | >0.999 | −0.31 [−1.15 to 0.53] | |||
| Early-season | Starters: 54.08 ± 7.30 Non-starters: 42.66 ± 9.36 | Non-starters | 0.859 | 0.50 [−0.39 to 1.39] | ||
| PreS vs. EndS | Starters | 0.991 | 0.42 [−0.43 to 1.26] | |||
| Non-starters | 0.009 * | 0.67 [−0.23 to 1.57] | ||||
| Mid-season | Starters: 49.86 ± 6.17 Non-starters: 34.02 ± 8.14 | EarS vs. MidS | Starters | >0.999 | 0.94 [0.06 to 1.82] | |
| Non-starters | 0.046 * | 0.60 [0.30 to 1.49] | ||||
| EarS vs. EndS | Starters | 0.332 | 0.95 [0.07 to 1.83] | |||
| End-season | Starters: 49.47 ± 2.28 Non-starters: 29.03 ± 4.27 | Non-starters | <0.001 * | 0.82 [−0.10 to 1.73] | ||
| MidS vs. EndS | Starters | >0.999 | 1.80 [0.81 to 2.79] | |||
| Non-starters | 0.073 | 0.08 [−0.80 to 0.96] |
| Variables | Period | Mean (SD) | COMPARATIVE | Group | P | Hedge’s g (95% CI) |
|---|---|---|---|---|---|---|
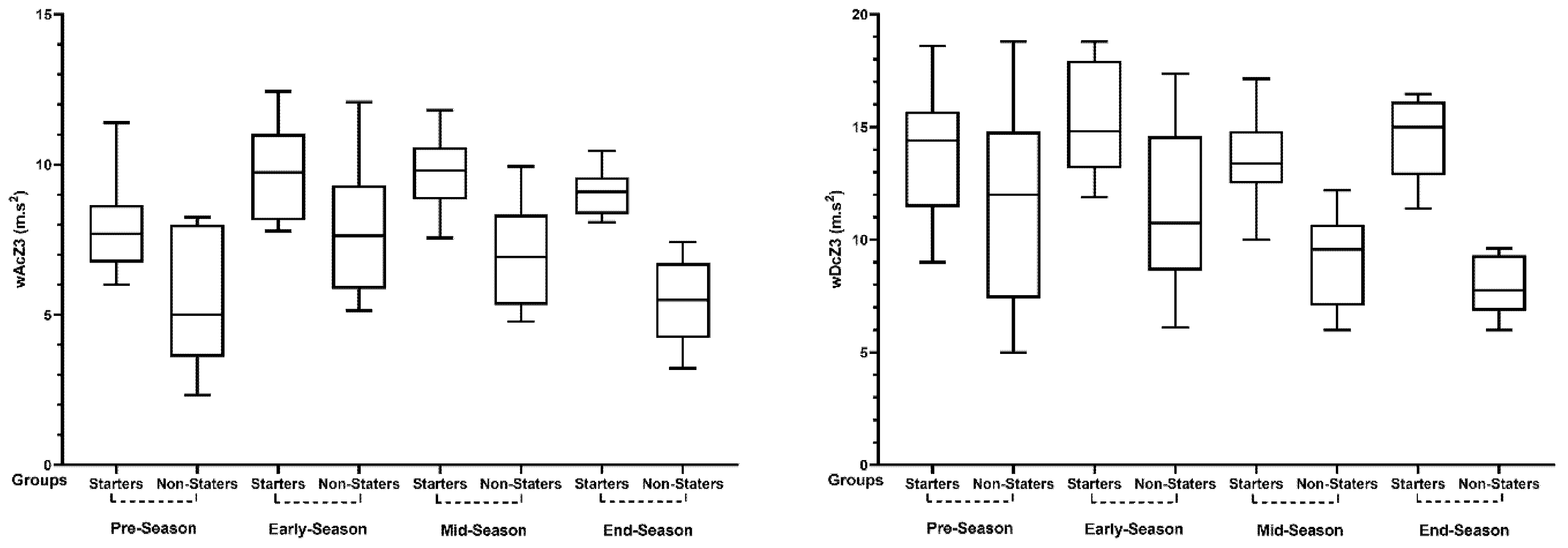
| wAcZ3 (m·s2) | Pre-season | Starters: 7.98 ± 1.65 Non-starters: 5.58 ± 2.19 | PreS vs. EarS | Starters | 0.132 | −1.07 [ −2.01 to −0.14] |
| Non-starters | 0.017 * | −1.08 [−1.97 to −0.18] | ||||
| PreS vs. MidS | Starters | 0.030 * | −1.16 [−2.11 to −0.21] | |||
| Early-season | Starters: 9.78 ± 1.57 Non-starters: 7.93 ± 2.00 | Non-starters | 0.062 | −0.76 [−1.62 to 0.11] | ||
| PreS vs. EndS | Starters | 0.501 | −0.80 [−1.71 to 0.11] | |||
| Non-starters | <0.999 | 0.11 [−0.72 to 0.95] | ||||
| Mid-season | Starters: 9.76 ± 1.27 Non-starters: 7.11 ± 1.63 | EarS vs. MidS | Starters | <0.999 | 0.01 [−0.86 to 0.89] | |
| Non-starters | <0.999 | 0.44 [−0.41 to 1.28] | ||||
| EarS vs. EndS | Starters | <0.999 | 0.56 [−0.34 to 1.45] | |||
| End-season | Starters: 9.06 ± 0.80 Non-starters: 5.37 ± 1.31 | Non-starters | 0.002 * | 1.46 [0.52 to 2.40] | ||
| MidS vs. EndS | Starters | 0.951 | 0.64 [−0.26 to 1.53] | |||
| Non-starters | 0.007 * | 1.13 [0.23 to 2.03] | ||||
| wDcZ3 (m·s2) | Pre-season | Starters: 13.76 ± 2.86 Non-starters: 11.32 ± 4.35 | PreS vs. EarS | Starters | <0.999 | −0.53 [−1.42 to 0.36] |
| Non-starters | <0.999 | −0.05 [−0.89 to 0.78] | ||||
| PreS vs. MidS | Starters | <0.999 | 0.09 [−0.78 to 0.97] | |||
| Early-season | Starters: 15.23 ± 2.43 Non-starters: 11.54 ± 3.49 | Non-starters | 0.418 | 0.64 [−0.22 to 1.50] | ||
| PreS vs. EndS | Starters | <0.999 | −0.33 [−1.21 to 0.55] | |||
| Non-starters | 0.050 * | 1.03 [0.14 to 1.92] | ||||
| Mid-season | Starters: 13.52 ± 2.02Non-starters: 9.06 ± 2.02 | EarS vs. MidS | Starters | 0.716 | 0.73 [−0.17 to 1.67] | |
| Non-starters | 0.136 | 0.84 [−0.04 to 1.71] | ||||
| EarS vs. EndS | Starters | <0.999 | 0.29 [−0.59 to 1.17] | |||
| End-season | Starters: 14.59 ± 1.78 Non-starters: 7.88 ± 1.30 | Non-starters | 0.001 * | 1.34 [0.41 to 2.26] | ||
| MidS vs. EndS | Starters | 0.519 | −0.54 [−1.43 to 0.36] | |||
| Non-starters | 0.293 | 0.67 [−0.19 to 1.53] |
Publisher’s Note: MDPI stays neutral with regard to jurisdictional claims in published maps and institutional affiliations. |
© 2021 by the authors. Licensee MDPI, Basel, Switzerland. This article is an open access article distributed under the terms and conditions of the Creative Commons Attribution (CC BY) license (https://creativecommons.org/licenses/by/4.0/).
Share and Cite
Nobari, H.; Oliveira, R.; Siahkouhian, M.; Pérez-Gómez, J.; Cazan, F.; Ardigò, L.P. Variations of Accelerometer and Metabolic Power Global Positioning System Variables across a Soccer Season: A Within-Group Study for Starters and Non-Starters. Appl. Sci. 2021, 11, 6747. https://doi.org/10.3390/app11156747
Nobari H, Oliveira R, Siahkouhian M, Pérez-Gómez J, Cazan F, Ardigò LP. Variations of Accelerometer and Metabolic Power Global Positioning System Variables across a Soccer Season: A Within-Group Study for Starters and Non-Starters. Applied Sciences. 2021; 11(15):6747. https://doi.org/10.3390/app11156747
Chicago/Turabian StyleNobari, Hadi, Rafael Oliveira, Marefat Siahkouhian, Jorge Pérez-Gómez, Florin Cazan, and Luca Paolo Ardigò. 2021. "Variations of Accelerometer and Metabolic Power Global Positioning System Variables across a Soccer Season: A Within-Group Study for Starters and Non-Starters" Applied Sciences 11, no. 15: 6747. https://doi.org/10.3390/app11156747
APA StyleNobari, H., Oliveira, R., Siahkouhian, M., Pérez-Gómez, J., Cazan, F., & Ardigò, L. P. (2021). Variations of Accelerometer and Metabolic Power Global Positioning System Variables across a Soccer Season: A Within-Group Study for Starters and Non-Starters. Applied Sciences, 11(15), 6747. https://doi.org/10.3390/app11156747

