Next Article in Journal
The Effect of Ageing on Chemical and Strength Characteristics of Nanoclay-Modified Bitumen and Asphalt Mixture
Next Article in Special Issue
Advanced Trajectory Control for Piezoelectric Actuators Based on Robust Control Combined with Artificial Neural Networks
Previous Article in Journal
Influential Factors and Evaluation Methods of the Performance of Grouted Semi-Flexible Pavement (GSP)—A Review
Previous Article in Special Issue
Omnidirectional Robotic Platform for Surveillance of Particle Accelerator Environments with Limited Space Areas
 
 
Font Type:
Arial Georgia Verdana
Font Size:
Aa Aa Aa
Line Spacing:
Column Width:
Background:
Article

Experimental Verification of Real-Time Flow-Rate Estimations in a Tilting-Ladle-Type Automatic Pouring Machine

1
Course of Mechanical Engineering, Integrated Graduate School of Medicine, Engineering and Agricultural Sciences, University of Yamanashi, Takeda 4-3-11, Kofu 400-8511, Japan
2
Faculty of Engineering, Graduate Faculty of Interdisciplinary Research, University of Yamanashi, Takeda 4-3-11, Kofu 400-8511, Japan
*
Author to whom correspondence should be addressed.
Appl. Sci. 2021, 11(15), 6701; https://doi.org/10.3390/app11156701
Submission received: 11 June 2021 / Revised: 13 July 2021 / Accepted: 14 July 2021 / Published: 21 July 2021
(This article belongs to the Special Issue Modelling and Control of Mechatronic and Robotic Systems, Volume II)

Abstract

:
This paper discusses a real-time flow-rate estimation method for a tilting-ladle-type automatic pouring machine used in the casting industry. In most pouring machines, molten metal is poured into a mold by tilting the ladle. Precise pouring is required to improve productivity and ensure a safe pouring process. To achieve precise pouring, it is important to control the flow rate of the liquid outflow from the ladle. However, due to the high temperature of molten metal, directly measuring the flow rate to devise flow-rate feedback control is difficult. To solve this problem, specific flow-rate estimation methods have been developed. In the previous study by present authors, a simplified flow-rate estimation method was proposed, in which Kalman filters were decentralized to motor systems and the pouring process for implementing into the industrial controller of an automatic pouring machine used a complicatedly shaped ladle. The effectiveness of this flow rate estimation was verified in the experiment with the ideal condition. In the present study, the appropriateness of the real-time flow-rate estimation by decentralization of Kalman filters is verified by comparing it with two other types of existing real-time flow-rate estimations, i.e., time derivatives of the weight of the outflow liquid measured by the load cell and the liquid volume in the ladle measured by a visible camera. We especially confirmed the estimation errors of the candidate real-time flow-rate estimations in the experiments with the uncertainty of the model parameters. These flow-rate estimation methods were applied to a laboratory-type automatic pouring machine to verify their performance.

1. Introduction

Pouring processes in the casting industry can be dangerous to workers because they perform the task of handling molten metal with extremely high temperatures. Accordingly, the need for automation of the pouring process has promoted improvements in the work environment in this context [1,2,3,4]. A tilting-ladle-type automatic pouring machine, where molten metal is poured into the mold by tilting the ladle automatically, is employed as one such automated pouring process. It can be installed relatively easily as part of the pouring process because it essentially employs the same pouring method as a manual handling of this task [5]. As a control system for the tilting-ladle-type automatic pouring machine, the teaching-and-playback control approach has been practically applied [6,7,8]. The pouring process requires the precision pouring of molten metal into the pouring basin of the mold to improve productivity and user safety. However, doing so can be difficult because the pouring flow rate is indirectly changed by tilting the ladle [9,10,11]. Furthermore, the molten metal can spill from the mold due to the falling trajectory of the outflow liquid varying in accordance with the flow rate changes.
To solve these problems, control technologies have been developed to improve pouring precision. The sloshing suppression controls of the liquid in the ladle were developed for suppressing the liquid vibration while the liquid is poured into the mold [12,13]. For keeping the pouring mouth of the ladle in a fixed position, a forward-and-backward and an up-and-down motions of the ladle were controlled synchronously to the ladle tilting [12]. Moreover, the sloshing caused in the ladle’s back-tilting-motion was suppressed by the input shaping approach in which the input command is shaped for generating the anti-phase sloshing in [12,13]. The sloshing caused in the pouring motion was modeled simply by a pendulum model in [14,15]. In addition, the sloshing was suppressed by combining the partial inverse dynamics approach and PID controller. The parameters of PID controller was designed using the metaheuristic search algorithm. The sloshing in the liquid container handled by a robotic manipulator was modeled by a spherical pendulum model in [16,17]. For suppressing the sloshing, the reference trajectories with the container’s position and orientation were shaped by an exponential filter, the parameters of which were designed using the spherical pendulum. The sloshing caused in the ladle’s forward-tilting-motion was suppressed by making the angular velocity in the ladle’s tilting motion smaller [18]. The control system for the liquid height in the pouring basin was constructed using the audio vibration sensing and the deep neural network [19]. The neural network in the pouring robot system was trained with a real-world pouring dataset with multi-modal sensing data, which contains more than 3000 recordings of audio, force feedback, video, and trajectory data of the human hand that performs the pouring task. The pouring skill of human was emulated by the robot with the haptic device using the parametric hidden Markov model [20]. In this approach, the human tele-operated the robot using a haptic device, and data from the demonstrations were statistically encoded by a parametric hidden Markov model. The Gaussian mixture regression was used at the reproduction in the robotic playback motion. The angular velocity of ladle tilting was optimized using the optimization approach with a Computational Fluid Dynamics (CFD) simulator for suppressing the casting defects [21]. The flow-rate feedforward control, based on the mathematical model of the pouring process, was developed in [22]. The falling position control of the liquid outflow from the ladle was developed to achieve precise pouring of the liquid into a steady position inside the pouring basin of the mold [23]. Additionally, a control method for positioning the ladle as low as possible while pouring the liquid was proposed in [24]. In these falling position control approaches, the ladle is moved in vertical and horizontal directions. However, the liquid can still spill from the pouring basin of the mold due to the splashing inside the ladle, which is caused by the movement of the ladle [25]. Therefore, the optimal positioning of the ladle which minimizes the amount of spilled liquid from the pouring basin of the mold was developed in [25,26]. In these studies, a control system was constructed using the flow-rate feedforward control. Pouring precision can be degraded by disturbances that emerge from variable pouring conditions. To suppress the influence of such disturbances, flow-rate feedback control has to be established. However, it can be difficult to directly measure the flow rate of poured molten metal because sensors e.g., the flow meter, can be damaged by the high temperature of the molten metal. Therefore, to measure the pouring flow rate, the real-time flow-rate estimation approach using the Kalman filter (KF), specifically an extended Kalman filter (EKF), was developed in [27,28]. However, this approach can only be applied to smooth shaped ladles, e.g., a fan-shaped ladle, due to the requirements of the Jacobian matrix used in the EKF. Nonetheless, ladles with complicated shapes for which it is difficult to derive a Jacobian matrix, have been used in practical settings. Thus, flow-rate estimation with an unscented Kalman filter (UKF), which does not require a Jacobian matrix, was proposed in [29]. Moreover, the flow-rate estimation method was integrated with the flow-rate feedback control system in [30]. However, it is difficult to implement and perform a real-time computation using an industrial controller, which has low computational power. To apply a real-time flow-rate estimation to an automatic pouring machine with a complicatedly shaped ladle, and implement the flow-rate estimation method in an industrial controller, the simplified flow-rate estimation method in which the steady-state KFs (SSKFs) and the EKF are decentralized to the motor systems and the pouring process, respectively, was proposed in our previous study [31]. The decentralization of Kalman filters (DKFs) were integrated with the flow-rate feedback control system in [32]. As a remaining issue, the appropriateness of the flow rate estimation method via DKFs as a real-time pouring flow-rate measurement in the automatic pouring machine must be verified. In [31], the effectiveness of the flow rate estimation by the DKFs was verified in the experiment with the ideal condition as the pouring process model in the DKFs is identified with the experimental pouring. However, some uncertainties in the model parameters identification with practical pouring can arise. It is especially difficult to identify the tilting angle of the ladle at the start of the liquid outflow, which can be influenced by the surface tension and density of the liquid in the ladle [32]. Moreover, in order to verify the effectiveness of the flow rate estimation, the true flow rate of the liquid outflow from the ladle in the experiment should be measured. It is, however, difficult to obtain the true flow rate of the liquid outflow.
Therefore, in the current study, we verified the appropriateness of the flow-rate estimation method using DKFs by comparing it with two other existing real-time flow-rate estimations. We confirmed the noise levels and the estimation errors of the candidate real-time flow-rate estimations in the experiments with/without the error between the ideal and the actual tilting angle at the start of the liquid outflow. As evaluation of the estimation error, the estimated flow rates were compared with the simulated flow rate which represents faithfully the experimental pouring with the model of pouring process. In one of the compared methods, the flow rate was estimated by differentiating the weight of the outflow liquid measured by the load cell with respect to time [33]. In this approach, a low-pass filter was applied for reducing the noise of the measured data. In addition, the angular velocity of ladle tilting motion was controlled by the fuzzy rules referring to the filtered data. In the second estimation method, the flow rate was estimated using a visible camera [34,35,36]. In the approaches [35,36], the liquid height in the target container was measured by the stereo camera or RGB-D camera for estimating the pouring state. The flow line of the inflow liquid in the clear target container was measured by the visible camera [37]. Therefore, in the case of the pouring situation using the clear ladle, the visible camera is able to estimate the flow rate of the outflow liquid by measuring the liquid volume in the ladle in real time. In the casting industry, since the ladle generally consists of gypsum and metal, detecting the liquid volume in the ladle using a visible camera is difficult. In this study, we used water as the target liquid and a clear acrylic container as a ladle. As such, we were able to discern the liquid volume in the ladle from the projected liquid area, as captured by the visible camera. This flow-rate estimation method cannot, however, be applied to practical pouring processes using molten metal. Nonetheless, we applied this flow-rate estimation method for verifying the appropriateness of the flow-rate estimation method by DKFs. Most practical automatic pouring machines have a rotary encoder for measuring the tilting angle of the ladle and a load cell for measuring the weight of the outflow liquid from the ladle. DKFs in which the flow rate can be estimated indirectly using the rotary encoder and the load cell are useful for the control of automatic pouring machine in practical use.
The remainder of this paper is structured as follows. The tilting-ladle-type automatic pouring machine used in this study is introduced in Section 2. The mathematical model for the pouring motion is derived in Section 3, and compensation for the measured weight by the load cell is presented in Section 4. The flow-rate estimation method by DKFs is described in detail in Section 5. The additional two flow-rate estimation methods are discussed in Section 6. In Section 7, the appropriateness of the flow-rate estimation by DKFs is verified experimentally by comparing the process with two other flow-rate estimations. Concluding remarks are presented in the final section.

2. Automatic Pouring Machine

The tilting-ladle-type pouring machine used in this study is presented in Figure 1. In the pouring machine, the ladle could be transferred according to two dimensions (the y- and z-axes) and could also be rotated (in the Θ direction). Each direction had a direct current (DC) servomotor to drive in the velocity control mode. In the y- and z-axes, the driving force of each motor was amplified by a ball-and-screw mechanism. The transfer distance and the tilting angle of the ladle could be measured by the rotary encoders installed in the motors. These motor drivers for driving the servomotors communicated with the controller through a controller area network bus.
The center of the ladle’s rotation shaft was placed near the center of gravity to avoid the increase in the capacity of the motor for rotating the ladle. This mechanism has been used with the recent practical automatic pouring machines. While rotating the ladle around the center of gravity, the tip of the ladle’s pouring mouth moved in a circular trajectory. By moving the tip of the pouring mouth, it became difficult to precisely pour the molten metal into the mold. Therefore, the position of the tip of the pouring mouth had to be invariably controlled while pouring; this was achieved using synchronous control of the y- and z-axes during rotational motion around the ladle’s Θ -direction [38]. The weight of the outflow liquid could then be measured by the load cell equipped to the base of the pouring machine. In the load cell system, four sensing terminals were located on the four corners of the base of the pouring machine. The maximum measuring error of this load cell is 0.05 kg. The weight rate of the outflow liquid cannot be measured by the load cell. The amplifier of the load cell communicates with the controller by a serial communication method. The load cell data can be obtained with the sampling interval 0.02 s using the serial communication. The splash of the liquid in the ladle can be caused by varying the liquid shape in the pouring motion with tilting the ladle. For suppressing the splash, the input shaping approaches were proposed in [12,13]. However, it is difficult to suppress the splash in the different conditions from the parameters’ setting. The splash can be suppressed by making the variation of the liquid shape smaller. We applied the splash suppression approach by limiting the angular velocity of the ladle tilting [18]. In the preliminary experiments, the amplitude of the angular velocity has been limited within 12 deg/s for suppressing the splash in the expected pouring motion using this automatic pouring machine.
In this study, the target liquid was water, and a clear acrylic ladle was used to visualize its inside; the side area of liquid in the ladle was captured by a visible camera while pouring the liquid. The camera was located 1.5 m from the ladle in the lateral direction for capturing the whole area of the ladle. In the camera system, the images with 512 × 480 pixels were captured with the frame rate 30 fps. The processing time for obtaining the side area of the liquid in the ladle from the captured image is 0.06 s.

3. Mathematical Models of Pouring Motion

The pouring motion is represented by the block diagram in Figure 2. In the motorized pouring motion, the input command was applied to the motor for tilting the ladle. The liquid was poured from the tilted ladle, and the weight of outflow liquid was measured by the load cell.

3.1. Motor Model for the Tilting Ladle

In Figure 2, motor model P t for tilting the ladle is simplified as a first-order lag system and an integrator, which can be given as follows:
d ω ( t ) d t = 1 T m t ω ( t ) + K m t T m t u t ( t ) ,
d θ ( t ) d t = ω ( t ) ,
where ω deg/s is the angular velocity of the tilting ladle, u t is the input command applied to the motor, θ deg is the angle of the tilting ladle, T m t s is the time constant, and K m t deg/s is the gain constant. The time constant and the gain constant can be identified by a step response method. In this method, three step input commands were given as u t = 2, 4, and 6. The time and the gain constants were obtained from the response for each step input command. We determined these constants by averaging the obtained constants. In this study, identification experiments obtained T m t = 0.022 s and K m t = 0.980 deg/s.

3.2. The Pouring Process Model

The pouring process model P f in Figure 2 represents the volume balance of the topmost liquid volume in the ladle, which can be shown as the input–output relation from angular velocity ω to flow rate q m 3 /s of the outflow liquid. The cross section of the pouring process at tilting angle θ is presented in Figure 3, where the volume balance of the topmost liquid volume in the ladle can be given as follows:
d V r ( t ) d t = q ( t ) V s ( θ ( t ) ) θ ω ( t ) , ( V r 0 , θ θ s ) ,
where V r m 3 is the liquid volume over the pouring mouth, V s m 3 is the liquid volume under the pouring mouth, and θ s deg is the angle of the ladle at the start of the liquid outflow. Accordingly, volume V r m 3 can be approximated as follows:
V r ( t ) A ( θ ( t ) ) h ( t ) , ( h ( t ) 0 ) ,
where A m 2 is the upper surface of the liquid in the ladle, and h m is the height of the liquid over the pouring mouth. As presented in Figure 3, surface A is changed by tilting angle θ deg of the ladle.
Using Bernoulli’s principle, flow rate q at liquid height h is given as follows:
q ( t ) = c 0 h ( t ) L f ( h a ) 2 g h b d h b , ( 0 < c 1 , h a = h ( t ) h b ) ,
where L f m is the width of the pouring mouth at height h a m from the bottom edge of the pouring mouth (see Figure 4a), h b m is the depth at the pouring mouth from the surface of the liquid in the ladle, g m/s 2 is the acceleration of gravity, and c is the flow-rate coefficient. Figure 4a and Equation (5) show the relation between the flow rate and the liquid height in the pouring mouth with the generalization of cross-sectional shape. In more detail, since the geometry of the pouring mouth is represented on the basis of the bottom edge of the pouring mouth, the width L f is defined by the function of the height h a . On the one hand, the flow velocity 2 g h b depends on the depth h b from the surface of the liquid. In design of the flow-rate control, the relation in Equation (5) can be implemented by the interpolation method [22] or the look-up table [39]. Accordingly, the flow rate q ( t ) can be calculated by giving the liquid height h ( t ) to the implementation of Equation (5) each sampling time. In the case that the cross-sectional shape of the pouring mouth is rectangle as shown in Figure 4b, the flow rate q shown in Equation (5) can be simplified as follows:
q ( t ) = 2 3 c L f 2 g h ( t ) 3 , ( 0 < c 1 ) .
In this study, since the ladle with the rectangular pouring mouth was used in the experiment, Equation (6) was applied as the relation between the flow rate and the liquid height on the pouring mouth. The flow-rate coefficient c can be identified by fitting the simulation result to the experimental result of the weight of the outflow liquid measured by the load cell. In this study, we obtained c = 0.75 .
From Equations (3), (4) and (6), the dynamics of liquid height over the pouring mouth in the pouring process were derived as follows:
d h ( t ) d t = q ( h ( t ) ) A ( θ ( t ) ) 1 A ( θ ( t ) ) V s ( θ ( t ) ) θ ( t ) + A ( θ ( t ) ) θ ( t ) h ( t ) ω ( t ) , ( h 0 , θ θ s ) .
The actual weight W kg of the outflow liquid can be represented as:
d W ( t ) d t = ρ q ( t ) ,
where ρ kg/m 3 is the density of the liquid. In this study, since we used water as a target liquid, ρ = 1.0 × 10 3 kg/m 3 was applied.

3.3. Load Cell Model

The dynamics of the load cell can be simplified as a first-order lag system. Therefore, the load-cell model P L can be given as follows:
d W L ( t ) d t = 1 T L W L ( t ) + 1 T L W ( t ) M g a z ( t ) ,
where W L kg is the weight of the outflow liquid measured by the load cell, and T L s is the time constant of the load cell. The time constant can be identified by fitting the simulation and experimental results of the liquid pouring. In this study, the identification experiments obtained T L = 0.16 s. Furthermore, a z m/s 2 was the acceleration for transferring the ladle on the z-axis, and M kg was the gross weight of the ladle, the liquid in the ladle, and the actuator for transferring the ladle on the z-axis. We assumed that the weight variation of the liquid in the ladle while pouring had been sufficiently smaller than the gross weight M. Accordingly, the gross weight M was given as a constant parameter that could be obtained before pouring. Thus, the gross weight in this study is given as M = 14.93 kg.

3.4. Motor Model for Transferring the Ladle on the y- and z-Axes

The motor models P y and P z are given as follows:
d v i ( t ) d t = 1 T m i v i ( t ) + K m i T m i u i ( t ) , ( i = y , z ) ,
d x i ( t ) d t = v i ( t ) , ( i = y , z ) ,
where v i m/s is the velocity of the ladle, and x i [m] is the position of the ladle. T m i s is the time constant, and K m i m/s is the gain constant. Index i in Equations (10) and (11) refers to the direction for transferring the ladle; y and z refer to the direction on the y- and z-axes, respectively. The time constants and the gain constants can be identified by the step response method with the same procedure of the Θ -axis. In this study, T m i = 0.05 s and K m i = 0.997 m/s were obtained as the same parameters on each axis by the identification experiments. Acceleration a z m/s 2 on the z-axis can be represented as follows:
a z ( t ) = d v z ( t ) d t .

3.5. Synchronous Control for Transferring and Rotating the Ladle

Since the rotation shaft of the ladle is placed near the center of gravity, the tip of the pouring mouth in the ladle moved in a circular trajectory, making it difficult to precisely pour the liquid into the mold (see Figure 5a). To rotate the ladle around the tip of the pouring mouth, the ladle is transferred synchronously on the y- and z-axes while tilting it (see Figure 5b). The synchronous controller can be described as follows:
r y = L a cos θ a L a cos ( θ a θ ) ,
r z = L a sin θ a L a sin ( θ a θ ) ,
where L a m is the length from the tip of the pouring mouth in the ladle to the rotation center of the ladle; θ a is the angle between the line segment with length L a and a horizontal line; and r y m and r z m are the reference trajectories on the y- and z-axes for rotating the ladle around the tip of the pouring mouth. These reference trajectories were applied to the position feedback controllers on each axis.

4. Compensation of Measured Weight by Load Cell

In an automatic pouring machine, as presented in Figure 1, the load cell for measuring the weight of the liquid in the ladle was equipped at the bottom of the automatic pouring machine. Consequently, the weight measured by the load cell was influenced by the movement of the ladle on the z-axis (see Equation (9)) due to the synchronous control noted in the previous section.
To obtain only the weight of liquid outflow from the ladle, the influence of the movement on the z-axis was subtracted from the measured weight as follows:
W L c ( t ) = W L ( t ) W L z ( t ) ,
where W L c kg is the compensated weight, and W L z ( t ) is the weight transformed from acceleration a z m/s 2 of the ladle’s movement on the z-axis and can be estimated as follows:
d W L z ( t ) d t = 1 T L W L z ( t ) + 1 T L M g a z ( t ) .
The acceleration can be estimated by the SSKF, which is derived in the following section.
Figure 6a presents the results of the measured weight by the load cell. The sampling interval of the load cell data are 0.02 s. The black and magenta solid lines indicate the weights before and after compensation, respectively. The dashed line indicates the weight of the outflow liquid in the simulation using the pouring flow-rate model with weight compensation. The vibration of 4.5 Hz has appeared in the measured weight. It is caused by the resonant vibration of the automatic pouring machine excited by the pouring motion. In the design of flow-rate estimation, the vibration can be regarded as the process noise of the load cell. Figure 6b presents the angular velocity of the motor for tilting the ladle. Figure 6c,d present the acceleration of movement of the ladle on the z-axis and the transformed weight, respectively. As presented in Figure 6, the influence of movement on the z-axis was reduced to within the compensated weight.

5. Flow Rate Estimation by Decentralization of Kalman Filters

5.1. The Design of Flow Rate Estimation

In the first flow-rate estimation method [28], the EKF was applied to the pouring motion using the input command for tilting the ladle to the measured weight of the outflow liquid. This estimation method is applicable only where the ladle has a smooth shape (e.g., fanned), since a complicated shape does not satisfy the twice differentiability concerning the tilting angle. The Jacobian matrix in the EKF requires this twice differentiable of the model parameters obtained from the ladle shape. To avoid the twice differentiability of the model parameters concerning the tilting angle and simply construct the flow-rate estimation system in an automatic pouring machine with complicatedly shaped ladle, the SSKFs and EKF were decentralized to the motor systems and the pouring process, respectively, in [31]. The motor system and the pouring process are sequentially connected as shown in Figure 2. The angular velocity is added as the input in the pouring process. In addition, the angle of the ladle can be detected by the rotary encoder. Therefore, in the case that the angular velocity of the ladle tilted by the motor system on the Θ -axis and the acceleration of the ladle transferred by the motor system on the z-axis can be estimated precisely by the SSKFs, and the pouring flow rate can also be estimated precisely by the EKF with only the pouring process model [31]. A block diagram of flow-rate estimation by DKFs is presented in Figure 7.
In this approach, a discrete-time SSKF was applied for estimating the angular velocity of the motor for tilting the ladle. The discrete-time state equation of the motor system can be given as follows:
ω n + 1 θ n + 1 = 1 T s T m t 0 T s 1 ω n θ n + T s K m t T m t 0 u t n ,
y n = 0 1 ω n θ n ,
where T s s represents the sampling interval and is given as 0.020 s in this study. The angular velocity estimated by the discrete-time SSKF with the model of the motor system in Equation (18) is applied to the estimation of the pouring flow rate described later.
Similarly, a discrete-time SSKF was applied to estimate acceleration for transferring the ladle on the z-axis and is represented as follows:
v z n + 1 x z n + 1 = 1 T s T m z 0 T s 1 v z n x z n + T s K m z T m z 0 u z n ,
y z n = 0 1 v z n x z n .
The acceleration on the z-axis was estimated as:
a z n = 1 T m z v z n + K m z T m z u z n .
We designed an EKF for estimating the pouring flow rate. The discrete-time state equation of the pouring process can be represented as follows:
x n + 1 = f ( x n , u n ) ,
y n = η ( x n ) ,
where
x = h W W L T ,
u = ω ^ a ^ z T ,
f ( x , u ) = 1 T s A ( θ ) A ( θ ) θ ω ^ h T s q ( h ) A ( θ ) T s A ( θ ) V s ( θ ) θ ω ^ W + T s ρ q ( h ) ( 1 T s T L W L ) + T s T L ( W M g a ^ z ) ,
η ( x ) = W L .
The input vector u consists of the angular velocity ω ^ on the Θ -axis and the acceleration a ^ z on the z-axis estimated by the SSKFs. Then, the Jacobian matrices used for updating the Kalman gain in the EKF can be given as:
f ( x ) x = A f = α 11 0 0 α 21 α 22 0 0 α 32 α 33 ,
η ( x ) x = C f = 0 0 1 ,
where
α 11 = 1 T s A ( θ ) q ( h ) h + A ( θ ) θ ω ^ , α 21 = T s ρ q ( h ) h , α 22 = 1 , α 32 = T s T L , α 33 = 1 T s T L .
The derivative of the pouring flow rate q to the liquid height h can be derived from Equation (5) as follows:
q ( h ) h = c L f ( h ) 2 g h .
Based on the Jacobian matrices in Equations (28) and (29), it was confirmed that twice differentiability of the model parameters according to the ladle shape was not required. Therefore, this estimation method could be applied to a complicatedly shaped ladle.
Following this, the pouring flow rate q ^ m 3 /s could be estimated by substituting the estimated liquid height on the pouring mouth as follows:
q ^ ( h ^ ( t ) ) = c 0 h ^ ( t ) L f ( h a ) 2 g h b d h b .
In the EKF, the time-update equations can be represented as follows:
  • Predict
    x ^ n = f ( x ^ n 1 ) , P n = A f n 1 P n A f n 1 T + Q f ,
  • Update
    G n = P n C f n T ( C f n P n C f n T + R f ) 1 , x ^ n = x ^ n + G n { y n η ( x ^ n ) } , P n = ( I G n C f n T ) P n ,
where x ^ is a priori state estimate, x ^ is a posteriori state estimate, and Q f and R f represent covariance matrices of the system noise and the observation noise, respectively. Furthermore, G n is the Kalman gain, and P and P are a priori error covariance and a posteriori error covariance, respectively.

5.2. Simulations

Flow-rate estimation by DKFs was performed in the simulation for the tilting-ladle-type automatic pouring machine. The ladle used in this study is presented in Figure 8.
The model parameters of the ladle were obtained from the three-dimensional data of the ladle. In Figure 9, the horizontal area A ( θ ) m 2 on the pouring mouth and volume V s ( θ ) m 3 under the pouring mouth (presented in Figure 3) are indicated in (a) and (b), respectively. Figure 9c,d are the derivatives of (a) and (b) for the tilting angle, respectively.
The derivatives A ( θ ) / θ and V s ( θ ) / θ can be derived as follows:
A ( θ ) θ = A ( θ ( k + 1 ) ) A ( θ ( k ) ) Δ θ , V s ( θ ) θ = V s ( θ ( k + 1 ) ) V s ( θ ( k ) ) Δ θ ,
where Δ θ is the sampling interval of the tilting angle, and k is the sampling number, which has the relation of θ ( k ) = k Δ θ . In this study, we used Δ θ = 1.0 deg. The volume V s ( θ ) is decreased with increasing the tilting angle θ . The horizontal area A ( θ ) is increased with increasing the tilting angle until reaching the bottom of the ladle, θ 40 deg. In the tilting angle over 40 deg, it is decreased with increasing the tilting angle. In particular, it is decreased as the quadratic curve by increasing the area of the channel to the pouring mouth.
To estimate the angular velocity of the motor for tilting the ladle, the covariance of process noise Q t and the covariance of observation noise R t were assumed as follows:
Q t = diag ( 1.0 × 10 3   deg 2 / s 2 , 1.0 × 10 7   deg 2 ) ,
R t = 1.84 × 10 7   deg 2 .
To estimate the acceleration of the movement of the ladle on the z-axis, the covariance of process noise Q z and covariance of the observation noise R z were assumed as follows:
Q z = diag ( 1.0 × 10 8   m 2 , 1.0 × 10 4   m 2 / s 2 ) ,
R z = 5.0 × 10 6   m 2 .
Similarly, to estimate the state of the pouring process, the covariance of the process noise Q f and the covariance of the observation noise R f were assumed as follows:
Q f = diag ( 25   m 2 , 1.0   kg 2 , 1.0   kg 2 ) × 10 11 ,
R f = 5.0 × 10 4   kg 2 .
In the simulations, the feedforward flow-rate control [22] was constructed to realize the desired flow rate, The reference flow rate applied to the flow rate control is presented in Figure 10.
The simulation results obtained without any disturbances are presented in Figure 11, where (a) indicates the input command applied to the motor for tilting the ladle, and (b) and (c) indicate the angular velocity and the tilting angle of the ladle, respectively.
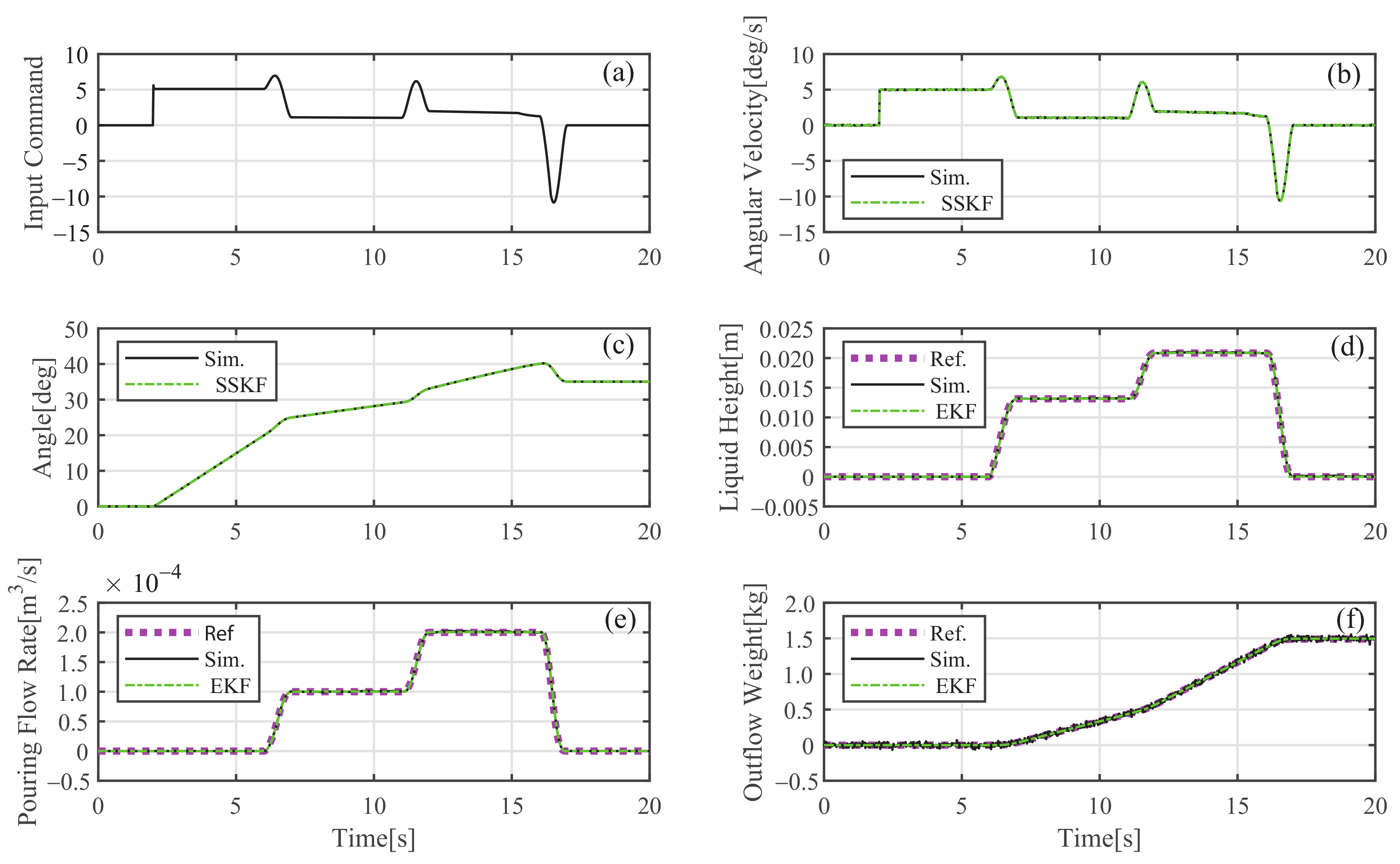
The black solid lines are the results simulated using the motor model, and the chained lines are the results estimated using the SSKF. Furthermore, (d–f) indicate the liquid height, the pouring flow rate, and the outflow weight, respectively. The dotted magenta lines are the reference values, and the black solid lines are the results simulated using the pouring process model. The chained green lines are the results estimated using the EKF. In Figure 11b, the amplitude of angular velocity of the ladle is within 12 deg/s. Therefore, the splash of the liquid in the ladle could be suppressed into the level that has no influence on the pouring motion. As presented in Figure 11e, the flow rate could be precisely estimated by the flow-rate estimation using the DKFs.
The following disturbance simulations were performed. In the practical pouring process, the volume of molten metal in the ladle was uncertain due to temperature changes in the metal. Therefore, an error between the ideal liquid volume, designed in the control system, and the actual liquid volume occurred (see Figure 12).
The error between the ideal and actual tilting angles at the start of the liquid outflow increased alongside an increase in the error between the ideal and actual liquid volumes. In the disturbance simulations, the ideal tilting angle θ s at the start of the liquid outflow was given as 20 deg, and the error between the ideal and actual tilting angles at the start of the liquid outflow was +3 deg. The simulation results are presented in Figure 13, where the graphs are illustrated similar to Figure 11.
As presented in Figure 13e, the error between the reference and the simulated flow rates was the result of disturbance. However, the estimated flow rate converged rapidly to the simulated flow rate. In addition, the error between the reference and the simulated outflow weights was increased by the disturbance as shown in Figure 13f. However, the estimated outflow weight tracked precisely to the simulated outflow weight. DKFs can estimate robustly the outflow weight, even if the disturbances are occurred in the pouring motion.

6. Other Flow-Rate Estimation Methods for Comparison

To verify the appropriateness of the flow-rate estimation by DKFs, we constructed two additional types of flow-rate estimation.

6.1. Flow-Rate Estimation by Differentiating Load Cell Data

Flow rate was estimated by differentiating the weight of the outflow liquid measured by the load cell. However, because the load cell data included a significant level of noise, it was processed by a low-pass filter. This flow-rate estimation method could be described as follows:
d W l f d t = ω l f W l f + ω l f W L ,
q l f = ω l f ρ W l f + ω l f ρ W L ,
where W l f is the weight of the outflow liquid processed by the low-pass filter, ω l f is the cut-off frequency of the low-pass filter, ρ kg/m 3 is the liquid density, and q l f m 3 /s is the estimated flow rate. In this study, the cut-off frequency is given as ω l f = 1.5 rad/s for noise reduction. In the experimental implementation, the method described in Equations (39) and (40) could be represented by the discrete time equations as follows:
W l f n + 1 = ( 1 ω l f T s ) W l f n + ω l f T s W L n ,
q l f n = ω l f ρ W l f n + ω l f ρ W L n ,
where T s s is the sampling interval. In this study, it is given as T s = 0.020 s.

6.2. Flow-Rate Estimation Using a Visible Camera

To estimate the flow rate by attaching different sensor to the load cell, we conducted the flow-rate estimation using a visible camera. In this approach, the side area of liquid in the ladle was measured using a visible camera. As presented in Figure 14, the shaded parts refer to the measurement areas, and it was assumed that these areas were on the same plane for simplifying measurement.
Figure 15 presented the parameters of the ladle for obtaining the liquid volume in the ladle. In Figure 15, D 1 m and D 2 m denote the depth of the liquid in the ladle, and A 1 m 2 and A 2 m 2 are the side areas of the liquid in the ladle.
To estimate the pouring flow rate, the volume V c m 3 of the liquid in the ladle was calculated as follows:
V c ( θ ) = V 1 ( θ ) + V 2 ( θ ) ,
where V 1 m 3 and V 2 m 3 are the volumes of the liquid in the front and rear parts of the ladle, respectively, as follows:
V 1 ( θ ) = A 1 ( θ ) D 1 , V 2 ( θ ) = A 2 ( θ ) D 2 .
The side areas A 1 m 2 and A 2 m 2 are varied with the tilting angle θ deg of the ladle. The depths D 1 m and D 2 m are constant without regard to the tilting angle of the ladle.
Then, the pouring flow rate q c m 3 /s could be estimated by differentiating volume V c with respect to time and can be denoted as follows:
q c = d V c ( θ ( t ) ) d t .
In the experimental implementation, the differential form described in Equation (44) could be represented by the backward difference as follows:
q c n = V c n ( θ n ) V c n 1 ( θ n 1 ) T c ,
where T c s is the sampling interval of the visible camera and is given as 0.06 s in this study.
This approach is difficult to apply in the practical pouring process in the casting industry because the ladle generally consists of gypsum and metal, which means that the liquid volume in the ladle cannot be measured by the visible camera. However, our purpose in this study is to verify the appropriateness of the flow-rate estimation method by DKFs, which is able to be applied in the practical automatic pouring machine. Therefore, in this study, since we used water as the target liquid and a clear acrylic container as a ladle, we could apply this flow-rate estimation approach using the visible camera to the automatic pouring machine.

7. Experimental Verifications

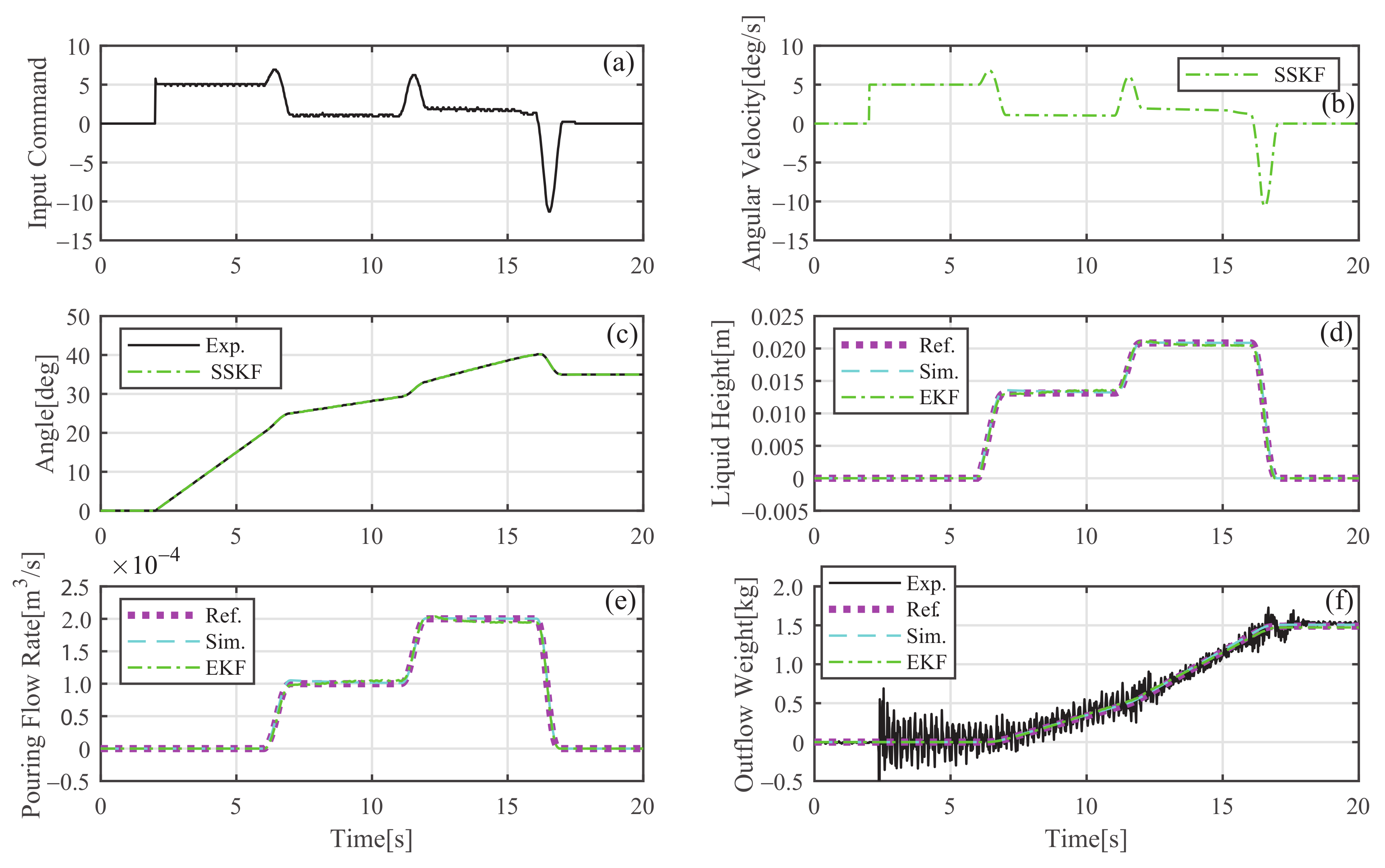
The flow-rate estimation method by DKFs was applied to the laboratory-type automatic pouring machine (see Figure 16), and the appropriateness of this flow-rate estimation approach was verified via the pouring experiments described in the current section.
The conditions of the experiments were the same as for the simulations noted in Section 5.2.
The flow-rate feedforward controller was also applied to control the flow rate based on the reference pattern (see Figure 10). In the first experiment, the flow-rate estimation was performed using an ideal condition, with no error between the ideal and the actual tilting angle at the start of the liquid outflow. The experimental results are presented in Figure 17, where (a) is the input command applied to the motor for tilting the ladle; (b) and (c) indicate the ladle’s angular velocity and angle, respectively; and (d) and (e) indicate the liquid height in the pouring mouth of the ladle and the pouring flow rate, respectively. In Figure 17d,e, the dotted magenta lines indicate the reference patterns, and the dashed cyan lines indicate the simulation results obtained from the pouring process model by applying the results of (b) and (c). The chained green lines show the estimated results gained by using the EKF in the flow-rate estimation via DKFs. Figure 17f presents the weight of the outflow liquid. The black solid line is the weight measured by the load cell, and the remaining lines are shown in the same manner as (d) and (e). The state variables in the pouring motion were estimated in real time, as presented in Figure 17. To verify the appropriateness of the flow-rate estimation by DKFs, we applied the two other types of flow-rate estimation methods described in Section 6. Moreover, to verify the validity of the system parameters in DKFs, we also applied DKFs with the different covariance of process noise Q f to Equation (37). The covariance of the process noise was given as follows:
Q f = diag ( 250   m 2 , 1.0   kg 2 , 1.0   kg 2 ) × 10 11 .
The process noise in the liquid height on the pouring mouth was increased as compared with Equation (37). In Figure 18a–d, the black solid lines are the simulation result obtained from the pouring process model, and these results were the same as the dashed line in Figure 17e. The solid green lines in Figure 18a–d indicate the results of flow-rate estimations using the EKF with the covariance of the process noise in Equation (37) that in Equation (46), the derivative of the load cell data, and the visible camera, respectively. As presented in Figure 18a,b, the estimated results were similar to the simulated result. The result in Figure 18c shows that the flow rate exhibited a higher level of noise compared with the result estimated by the EKF. Additionally, the response was delayed by the low-pass filter applied for noise reduction. The flow rate of the outflow liquid from the ladle does not have a negative value (i.e., q 0 m 3 /s). However, it was confirmed that the flow rate during the back-tilting motion of the ladle from 16 s to 17 s indicates the negative value as shown in Figure 18c. This response was caused by the fact that the load cell data was influenced by the movement of the ladle on the z-axis as shown in Figure 6.
The noise in the flow rate estimated by the visible camera (as presented in Figure 18d) was smaller than that estimated by differentiating the load cell data (see Figure 18c). Hence, we confirmed that the flow rate could be estimated roughly using the visible camera.
The real-time flow-rate estimation is required to process within 0.02 s for realizing the high-precision real-time flow rate control [32]. The processing times in the flow-rate estimations using DKFs and the derivative of the load cell data were within 0.02 s. The processing time in the flow-rate estimation using the visible camera was 0.06 s by taking the time for the frame rate of the camera and the image processing.
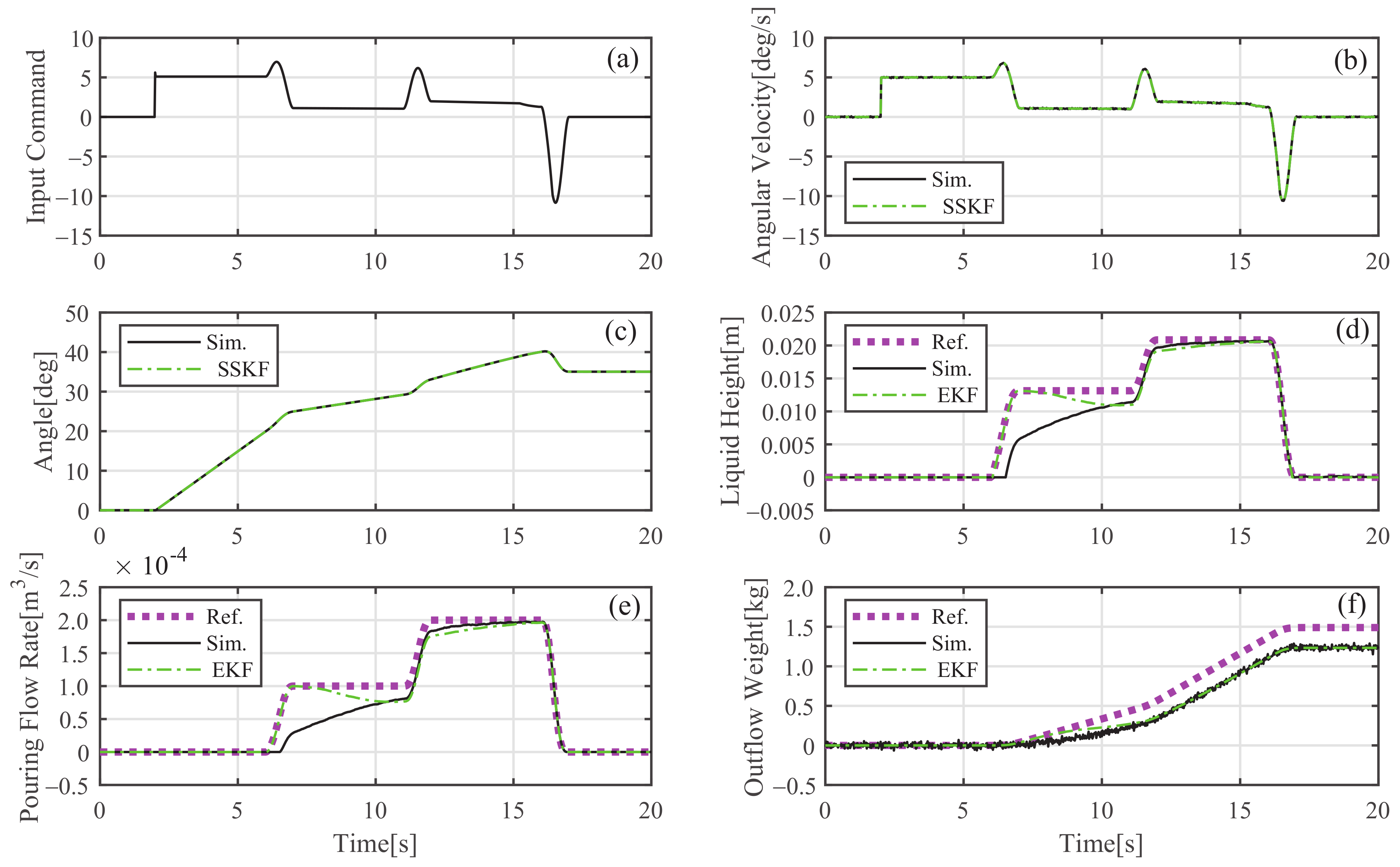
Figure 19 presents the experimental results for the pouring conditions alongside the tilting angle error at the start of the liquid outflow which was +3 deg. Figure 20 presents the estimated results of the flow rate for comparing the three types of flow-rate estimation, as discussed in previous sections.
These figures are shown in the same manner as in Figure 17 and Figure 18. In Figure 20d, the trends of flow-rate estimation by the visible camera are similar to the simulation result. On the other hand, errors between the DKFs estimation results and the simulation result occurred at the start of pouring (see Figure 20a,b). However, these errors can be potentially reduced by updating the KF process. As shown in Figure 20a, the flow-rate after 11 s can be estimated precisely by DKFs with the covariance of the process noise in Equation (37). Moreover, the estimation result of the flow rate by DKFs with the covariance of the process noise in Equation (46) can track the simulation result faster than that in Equation (37). As presented in Figure 20, the noise in the flow rate estimated by DKFs was the smallest in the estimation methods performed in this study.
We compared quantitatively the accuracies of each flow-rate estimation. Since the simulation results of the flow rate were generated by the pouring process model with the experimental conditions, we consider that the simulation results of the flow rate represented the actual flow rate in the experiments faithfully. The accuracies of the flow rate estimations were evaluated by the integral absolute error (IAE) of the estimated and the simulated flow rates as follows:
I A E = i = 0 N | q e s t i q s i m i | Δ T ,
where i is the sampling number and N is the total number of the sampling in the estimation. Δ T is the sampling interval of the flow rate estimations. q e s t and q s i m are the estimated and the simulated flow rates shown in Figure 18 and Figure 20. Table 1 presents the results of IAE. In Table 1, the IAEs in the ideal condition with no error between the ideal and the actual tilting angles at the start of the liquid outflow and the condition with +3 deg error between the ideal and the actual tilting angle at the start of the liquid outflow were shown. Furthermore, we also compared quantitatively the amounts of noises in the estimated flow rates. The amounts of the noises were evaluated by the total variation (TV) [40] of the estimated flow rates as follows:
T V = i = 1 N | q e s t i + 1 q e s t i | ,
Table 2 presents the results of TV. This table is shown in the same manner as in Table 1. However, TV as shown in Equation (48) includes not only the amounts of the noises but also the variation of the set-point changes in the flow rate. The set points in the flow rate are changed monotonically as shown in Figure 10. Therefore, we used the modified TV (mTV) [41] for eliminating the variation of the set-point changes from TV as
m T V = i = 1 N | q e s t i + 1 q e s t i | | 2 q s i m m + q s i m N q s i m 0 | ,
where q s i m m is the extreme point of the set-point changes which has the shape of one pulse. q s i m N and q s i m 0 are the final and initial values of the set-points in the flow rate, respectively. These parameters were obtained from the simulation result of the flow rate which does not have the noises. In this study, q s i m m = 2.0 × 10 4 and q s i m 0 = q s i m N = 0.0 were given. Table 3 presents the results of mTV. As seen from the comparison with TV and mTV, the evaluation values by mTVs are smaller than those by TVs because mTVs can suppress the influence of the set-points changes. Therefore, we can compare clearly the amounts of the noises by mTVs.
In the evaluations by IAEs to the condition with +3 deg error between the ideal and the actual tilting angle at the start of the liquid outflow, IAE of DKFs with the covariance of process noise in Equation (46) was slightly smaller than that in Equation (37). Thus, the estimation accuracy of the flow rate by DKFs can be improved by increasing the covariance of process noise in the liquid height on the pouring mouth. However, the amount of noise in the estimated flow rate was increased by increasing the covariance of process noise in the liquid height on the pouring mouth as shown in the evaluation by mTVs. In the application of DKFs in the flow-rate control, the covariance of process noise in the liquid height on the pouring mouth should be increased while evaluating the noise in the estimated flow rate.
Both the IAE and the TV of DKFs were the smallest in the estimation methods performed in this study because the noise in the estimated flow rate by DKFs could be suppressed. However, IAE of DKFs was increased with increasing the error between the ideal and the actual tilting angle at the start of the liquid outflow. Therefore, we consider the present flow-rate estimation by DKFs to be appropriate for estimating the flow rate in a pouring motion with small disturbances.

8. Conclusions

In this study, we verified the appropriateness of a real-time flow-rate estimation method using the DKFs in a tilting-ladle-type automatic pouring machine. The design of this flow-rate estimation method was described in detail. This method was implemented using a laboratory-type automatic pouring machine and experimentally compared with two other flow-rate estimation methods. In the estimation using the derivative of load cell data, we were unable to recognize the flow rate due to large amounts of noise. In the estimation using a visible camera, we were barely able to recognize the flow rate. The noise in the flow rate estimated by DKFs was smallest among the approaches performed in this study. However, it was confirmed that the estimated precision of this method may be degraded by disturbances, such as uncertainty about model parameters. Although the estimated precision can be improved with increasing the covariance of process noise in the liquid height on the pouring mouth in DKFs, the amount of noise in the estimated flow rate also is increased. Accordingly, we consider flow-rate estimation by DKFs to be appropriate for estimating flow rate in a pouring motion with small disturbances. In the practical applications, it might be difficult to maintain the pouring condition with small disturbances because of varying temperature of the molten metal in the ladle and attaching the slag to the ladle. Therefore, we plan to integrate the online model parameters identification to the flow rate estimation system.
In this study, the sampling interval in the load cell data acquisition was limited to 0.02 s by the specification of the load cell amplifier with the serial communication. The noise in the load cell data might be reduced by the amplifier with a fast sampling rate and the higher order filter. In future work, we will reconstruct the sensing system in the automatic pouring machine for improving the accuracy of the flow rate estimation. Furthermore, we will try to develop the high-precision and robust state estimation system of the automatic pouring machine using the sensor fusion approach such as the integration of the load cell and visible camera.

Author Contributions

Conceptualization, Y.N.; Methodology, Y.N. and Y.S.; Software, Y.N. and Y.S.; Validation, Y.S.; Formal analysis, Y.S.; Investigation, Y.S.; Resources, Y.N.; Data curation, Y.S.; Writing—original draft preparation, Y.S.; Writing—review and editing, Y.N.; Visualization, Y.S.; Supervision, Y.N.; Project administration, Y.N.; Funding acquisition, Y.N. Both authors have read and agreed to the published version of the manuscript.

Funding

This research was funded by JSPS KAKENHI Grant No. JP25420181.

Institutional Review Board Statement

Not applicable.

Informed Consent Statement

Not applicable.

Conflicts of Interest

The authors declare no conflict of interest.

Abbreviations

The following abbreviations are used in this manuscript:
CFDComputational Fluid Dynamics
SSKFSteady State Kalman Filter
EKFExtended Kalman Filter
DKFsDecentralization of Kalman Filters
DCDirect Current
IAEIntegral Absolute Error
TVTotal Variation
mTVModified Total Variation

References

  1. Lindsay, W. Automatic pouring and metal distribution system. Foundry Trade J. 1983, 10, 151–176. [Google Scholar]
  2. Terashima, K. Recent automatic pouring and transfer systems in foundries. Mater. Process Technol. 1998, 39, 1–8. (In Japanese) [Google Scholar]
  3. Neumann, E.; Trauzeddel, D. Pouring systems for ferrous applications. Foundry Trade J. 2002, 176, 23–24. [Google Scholar]
  4. Tiwari, P.; Kothawale, R.; Tadav, P. Semi automatic pouring system. Int. Res. J. Eng. Technol. 2017, 4, 2834–2837. [Google Scholar]
  5. Li, L.; Wang, C.; Wu, H. Research on kinematics and pouring law of a mobile heavy load pouring robot. Math. Probl. Eng. 2018, 2018, 1–13. [Google Scholar] [CrossRef]
  6. Watanabe, J.; Yoshida, K. Automatic pouring equipment for casting-Mel pore system. Ind. Heat. 1992, 29, 19–27. (In Japanese) [Google Scholar]
  7. Birkhold, M.; Friedrich, C.; Lechler, A. Automation of the casting process using a model-based NC architecture. IFAC-PapersOnLine 2015, 48, 195–200. [Google Scholar] [CrossRef]
  8. Yajima, T.; Noda, Y. Teaching-and-playback approach based on pouring flow rate in tilting-ladle-type pouring machine. In Proceedings of the 73rd World Foundry Congress, Cracow, Poland, 23–27 September 2018; pp. 137–138. [Google Scholar]
  9. Voss, T. Optimization and control of modern ladle pouring process. In Proceedings of the 73rd World Foundry Congress, Cracow, Poland, 23–27 September 2018; pp. 497–498. [Google Scholar]
  10. Yano, K.; Terashima, K. Supervisory control of automatic pouring machine. Control Eng. Pract. 2010, 18, 230–241. [Google Scholar] [CrossRef]
  11. Iwamoto, K.; Tokunaga, H.; Okane, T. Training support for pouring task in casting process using stereoscopic video see-through display. In Proceedings of the 2014 1st International Conference on Information Technology, Computer and Electrical Engineering, Semarang, Indonesia, 7–8 November 2014; pp. 497–498. [Google Scholar]
  12. Terashima, K.; Yano, K.; Sugimoto, Y.; Watanabe, M. Position control of ladle tip and sloshing suppression during tilting motion in automatic pouring machine. In Proceedings of the IFAC Symposium on Automation in Mining, Mineral and Metal Processing, Tokyo, Japan, 4–6 September 2001; pp. 229–234. [Google Scholar]
  13. Ito, A.; Tasaki, R.; Suzuki, M.; Terashima, K. Analysis and control of pouring ladle with weir for sloshing an volume-moving vibration in pouring cut-off process. J. Autom. Technol. 2017, 11, 645–656. [Google Scholar] [CrossRef]
  14. Tzamtzi, P.M.; Koumboulis, N.F. Sloshing control in tilting phases of the pouring process. Int. Sch. Sci. Res. Innov. 2007, 10, 3035–3042. [Google Scholar]
  15. Tzamtzi, P.M.; Koumboulis, N.F.; Skarpetis, G.M. On the Modelling and controller design for the outpouring phase of the pouring process. WSEAS Trans. Syst. Control 2009, 4, 11–20. [Google Scholar]
  16. Moriello, L.; Biagiotti, L.; Melchiorri, C.; Paoli, A. Control of liquid handling robotic systems: A feed-forward approach to suppress sloshing. In Proceedings of the 2017 IEEE International Conference on Robotics and Automation, Singapore, 29 May–3 June 2017. [Google Scholar] [CrossRef] [Green Version]
  17. Moriello, L.; Biagiotti, L.; Melchiorri, C.; Paoli, A. Manipulating liquids with robots: A sloshing-free solution. Control Eng. Pract. 2018, 78, 129–141. [Google Scholar] [CrossRef] [Green Version]
  18. Fukushima, R.; Noda, Y.; Terashima, K. Falling position and anti-sloshing control of liquid using automatic pouring robot. In Proceedings of the International PhD Foundry Conference, Brno, Czech Republic, 1–3 June 2009; pp. 1–10. [Google Scholar]
  19. Liang, H.; Li, S.; Ma, X.; Hendrich, N.; Gerkmann, T.; Zhang, J. Making sense of audio vibration for liquid height estimation in robotic pouring. In Proceedings of the 2019 IEEE/RSJ International Conference on Intelligent Robots and Systems, Macau, China, 3–8 November 2019. [Google Scholar] [CrossRef] [Green Version]
  20. Rozo, L.; Jimenez, P.; Torras, C. Force-based robot learning of pouring skills using parametric hidden Markov models. In Proceedings of the 9th International Workshop on Robot Motion and Control, Kuskin, Poland, 3–5 July 2013. [Google Scholar] [CrossRef] [Green Version]
  21. Kuriyama, Y.; Yano, K.; Nishido, S. Optimization of pouring velocity for aluminium gravity casting. In Fluid Dynamics, Computational Modeling and Applications; IntechOpen: London, UK, 2012; pp. 575–588. [Google Scholar]
  22. Noda, Y.; Terashima, K. Modeling and feedforward flow rate control of automatic pouring system with real ladle. J. Robot. Mechatronics 2007, 19, 205–211. [Google Scholar] [CrossRef]
  23. Noda, Y.; Fukushima, R.; Terashima, K. Monitoring and control system to falling position of outflow liquid in automatic pouring robot. In Proceedings of the IFAC 13th Symposium on Automation in Mining, Mineral and Metal Processing, Cape Town, South Africa, 2–4 August 2010; pp. 13–18. [Google Scholar] [CrossRef]
  24. Ito, A.; Noda, Y.; Tasaki, R.; Terashima, K. Outflow liquid falling position control considering lower pouring mouth position with collision avoidance for tilting-type automatic pouring machine. Mater. Trans. 2017, 58, 485–493. [Google Scholar] [CrossRef] [Green Version]
  25. Sueki, Y.; Noda, Y.; Suzuki, M.; Ohta, K. Optimization of ladle position to minimize spilled liquid from pouring basin in automatic pouring machine. J. Jpn. Foundry Eng. Soc. Jpn. 2018, 90, 107–117. (In Japanese) [Google Scholar]
  26. Sueki, Y.; Noda, Y. Optimal positioning of ladle in automatic pouring machine in consideration of pouring liquid accurately into sprue. In Proceedings of the IEEE International Conference on Advanced Intelligent Mechatronics, Munich, ND, USA, 3–7 July 2017; pp. 897–903. [Google Scholar]
  27. Noda, Y.; Terashima, K. State estimation of automatic pouring system with load cell in casting process. In Proceedings of the SICE Annual Conference 2008, Tokyo, Japan, 20–22 August 2008; pp. 1548–1551. [Google Scholar]
  28. Noda, Y.; Terashima, K. Estimation of flow rate in automatic pouring system with real ladle used in industry. In Proceedings of the ICROS-SICE International Conference 2009, Fukuoka, Japan, 18–21 August 2009; pp. 354–359. [Google Scholar]
  29. Noda, Y.; Birkhold, M.; Terashima, K.; Sawodny, O.; Verl, A. Flow rate estimation using unscented Kalman filter in automatic pouring machine. In Proceedings of the SICE Annual Conference 2011, Tokyo, Japan, 13–18 September 2011; pp. 769–774. [Google Scholar]
  30. Noda, Y.; Zeitz, M.; Sawodny, O.; Terashima, K. Flow rate control based on differential flatness in automatic pouring robot. In Proceedings of the 2011 IEEE International Conference on Control Applications, Denver, CO, USA, 28–30 September 2011; pp. 1468–1475. [Google Scholar]
  31. Noda, Y.; Terashima, K. Simplified flow rate estimation by decentralization of Kalman filters in automatic pouring robot. In Proceedings of the SICE Annual Conference 2012, Akita, Japan, 20–23 August 2012; pp. 1465–1470. [Google Scholar]
  32. Noda, Y.; Sueki, Y. Implementation and experimental verification of flow rate control based on differential flatness in a tilting-ladle-type automatic pouring machine. Appl. Sci. 2019, 9, 1978. [Google Scholar] [CrossRef] [Green Version]
  33. Shinohara, K.; Morimoto, H. Development of automatic pouring equipment. J. Soc. Automot. Eng. Jpn. 1992, 46, 79–85. (In Japanese) [Google Scholar]
  34. Yamaguchi, A.; Atkeson, C. Stereo vision of liquid and particle flow for robot pouring. In Proceedings of the 2016 IEEE-RAS 16th International Conference on Humanoid Robots, Cancun, Mexico, 15–17 November 2016; pp. 1173–1180. [Google Scholar]
  35. Schenck, C.; Fox, D. Visual closed-loop control for pouring liquids. In Proceedings of the 2017 IEEE International Conference on Robotics and Automation, Singapore, 29 May–3 July 2017. [Google Scholar] [CrossRef] [Green Version]
  36. Do, C.; Burgard, W. Accurate Pouring with an Autonomous robot using an RGB-D camera. Intell. Auton. Syst. 2019, 15, 210–221. [Google Scholar] [CrossRef]
  37. Kennedy, M., III; Queen, K.; Thakur, D.; Kumar, V. Precise dispensing of liquids using visual feedback. In Proceedings of the 2017 IEEE/RSJ International Conference on Intelligent Robots and Systems, Vancouver, BC, Canada, 24–28 July 2017. [Google Scholar] [CrossRef]
  38. Suzuki, M.; Yang, Y.; Noda, Y.; Terashima, K. Sequence control of automatic pouring system. In Proceedings of the 10th Asian Foundry Congress, Aichi, Japan, 21–24 May 2008; pp. 88–92. [Google Scholar]
  39. Kabasawa, N.; Noda, Y. Model-based flow rate control with online model parameters identification in automatic pouring machine. Robotics 2021, 10, 39. [Google Scholar] [CrossRef]
  40. Skogestad, S. Simple Analytic Rules for Model Reduction and PID Controller Tuning. J. Process Control 2003, 13, 291–309. [Google Scholar] [CrossRef] [Green Version]
  41. Huba, M.; Vrancic, D. Extending the Model-Based Controller Design to Higher-Order Plant Models and Measurement Noise. Symmetry 2021, 13, 798. [Google Scholar] [CrossRef]
Figure 1. Automatic pouring machine.
Figure 1. Automatic pouring machine.
Applsci 11 06701 g001
Figure 2. Block diagram of motorized pouring motion.
Figure 2. Block diagram of motorized pouring motion.
Applsci 11 06701 g002
Figure 3. Cross section of the pouring process.
Figure 3. Cross section of the pouring process.
Applsci 11 06701 g003
Figure 4. Parameters on pouring mouth.
Figure 4. Parameters on pouring mouth.
Applsci 11 06701 g004
Figure 5. Motion of ladle with/without synchronous control.
Figure 5. Motion of ladle with/without synchronous control.
Applsci 11 06701 g005
Figure 6. Experimental results of the weight compensation system. (a) Weight data measured by load cell; (b) Angular velocity of ladle tilting; (c) Acceleration on z-axis estimated by SSKF; (d) Weight data transformed from estimated acceleration on z-axis using Equation (16).
Figure 6. Experimental results of the weight compensation system. (a) Weight data measured by load cell; (b) Angular velocity of ladle tilting; (c) Acceleration on z-axis estimated by SSKF; (d) Weight data transformed from estimated acceleration on z-axis using Equation (16).
Applsci 11 06701 g006
Figure 7. Block diagram of flow-rate estimation by DKFs.
Figure 7. Block diagram of flow-rate estimation by DKFs.
Applsci 11 06701 g007
Figure 8. Geometry of ladle (inside dimension).
Figure 8. Geometry of ladle (inside dimension).
Applsci 11 06701 g008
Figure 9. Model parameters of ladle. (a) Horizontal area on pouring mouth; (b) Volume under pouring mouth; (c) Derivative of horizontal area A with respect to angle θ ; (d) Derivative of volume V s with respect to angle θ .
Figure 9. Model parameters of ladle. (a) Horizontal area on pouring mouth; (b) Volume under pouring mouth; (c) Derivative of horizontal area A with respect to angle θ ; (d) Derivative of volume V s with respect to angle θ .
Applsci 11 06701 g009
Figure 10. Reference pouring flow rate.
Figure 10. Reference pouring flow rate.
Applsci 11 06701 g010
Figure 11. Simulation results of flow-rate estimation with error of tilting angle +0 deg at the start of liquid outflow. (a) Input command to motor for tilting ladle; (b) Angular velocity of tilting ladle; (c) Angle of tilting ladle; (d) Liquid height on pouirng mouth; (e) Flow rate of outflow liquid from ladle; (f) Weight of outflow liquid from ladle.
Figure 11. Simulation results of flow-rate estimation with error of tilting angle +0 deg at the start of liquid outflow. (a) Input command to motor for tilting ladle; (b) Angular velocity of tilting ladle; (c) Angle of tilting ladle; (d) Liquid height on pouirng mouth; (e) Flow rate of outflow liquid from ladle; (f) Weight of outflow liquid from ladle.
Applsci 11 06701 g011
Figure 12. Tilting angle of ladle at the start of liquid outflow.
Figure 12. Tilting angle of ladle at the start of liquid outflow.
Applsci 11 06701 g012
Figure 13. Simulation results of flow rate estimation with error of tilting angle +3 deg at the start of liquid outflow. (a) Input command to motor for tilting ladle; (b) Angular velocity of tilting ladle; (c) Angle of tilting ladle; (d) Liquid height on pouirng mouth; (e) Flow rate of outflow liquid from ladle; (f) Weight of outflow liquid from ladle.
Figure 13. Simulation results of flow rate estimation with error of tilting angle +3 deg at the start of liquid outflow. (a) Input command to motor for tilting ladle; (b) Angular velocity of tilting ladle; (c) Angle of tilting ladle; (d) Liquid height on pouirng mouth; (e) Flow rate of outflow liquid from ladle; (f) Weight of outflow liquid from ladle.
Applsci 11 06701 g013
Figure 14. Measurement of side area of liquid in ladle.
Figure 14. Measurement of side area of liquid in ladle.
Applsci 11 06701 g014
Figure 15. Parameters of ladle for obtaining liquid volume by a visible camera.
Figure 15. Parameters of ladle for obtaining liquid volume by a visible camera.
Applsci 11 06701 g015
Figure 16. Laboratory-type automatic pouring machine.
Figure 16. Laboratory-type automatic pouring machine.
Applsci 11 06701 g016
Figure 17. Experimental results using automatic pouring machine (tilting angle error at the start of liquid outflow: + 0 deg). (a) Input command to motor for tilting ladle; (b) Angular velocity of tilting ladle; (c) Angle of tilting ladle; (d) Liquid height on pouring mouth; (e) Flow rate of outflow liquid from ladle; (f) Weight of outflow liquid from ladle.
Figure 17. Experimental results using automatic pouring machine (tilting angle error at the start of liquid outflow: + 0 deg). (a) Input command to motor for tilting ladle; (b) Angular velocity of tilting ladle; (c) Angle of tilting ladle; (d) Liquid height on pouring mouth; (e) Flow rate of outflow liquid from ladle; (f) Weight of outflow liquid from ladle.
Applsci 11 06701 g017
Figure 18. Comparison of flow-rate estimations in experiments with tilting angle error at the start of liquid outflow: + 0 deg. (a) Estimated flow rate by EKF with covariance as shown in Equation (37); (b) Estimated flow rate by EKF with covariance as shown in Equation (46); (c) Estimated flow rate by differentiating weight of outflow liquid measured by load cell; (d) Estimated flow rate by visible camera.
Figure 18. Comparison of flow-rate estimations in experiments with tilting angle error at the start of liquid outflow: + 0 deg. (a) Estimated flow rate by EKF with covariance as shown in Equation (37); (b) Estimated flow rate by EKF with covariance as shown in Equation (46); (c) Estimated flow rate by differentiating weight of outflow liquid measured by load cell; (d) Estimated flow rate by visible camera.
Applsci 11 06701 g018
Figure 19. Experimental results using automatic pouring machine (tilting angle error at the start of liquid outflow: + 3 deg). (a) Input command to motor for tilting ladle; (b) Angular velocity of tilting ladle; (c) Angle of tilting ladle; (d) Liquid height on pouring mouth; (e) Flow rate of outflow liquid from ladle; (f) Weight of outflow liquid from ladle.
Figure 19. Experimental results using automatic pouring machine (tilting angle error at the start of liquid outflow: + 3 deg). (a) Input command to motor for tilting ladle; (b) Angular velocity of tilting ladle; (c) Angle of tilting ladle; (d) Liquid height on pouring mouth; (e) Flow rate of outflow liquid from ladle; (f) Weight of outflow liquid from ladle.
Applsci 11 06701 g019
Figure 20. Comparison of flow-rate estimations in experiments with tilting angle error at the start of liquid outflow: + 3 deg. (a) Estimated flow rate by EKF with covariance as shown in Equation (37); (b) Estimated flow rate by EKF with covariance as shown in Equation (46); (c) Estimated flow rate by differentiating weight of outflow liquid measured by load cell; (d) Estimated flow rate by visible camera.
Figure 20. Comparison of flow-rate estimations in experiments with tilting angle error at the start of liquid outflow: + 3 deg. (a) Estimated flow rate by EKF with covariance as shown in Equation (37); (b) Estimated flow rate by EKF with covariance as shown in Equation (46); (c) Estimated flow rate by differentiating weight of outflow liquid measured by load cell; (d) Estimated flow rate by visible camera.
Applsci 11 06701 g020
Table 1. Integral absolute errors (IAEs) between estimated flow rates and simulated flow rates.
Table 1. Integral absolute errors (IAEs) between estimated flow rates and simulated flow rates.
Estimation MethodTilting Angle Error at StartTilting Angle Error at Start
to Liquid Outflow +0 degto Liquid Outflow +3 deg
DKFs with Covariance of Process Noise in Equation (37) 4.277 × 10 5 2.005 × 10 4
DKFs with Covariance of Process Noise in Equation (46) 6.236 × 10 5 1.909 × 10 4
Differentiating Load Cell Data 2.431 × 10 3 2.518 × 10 3
Visible Camera 1.420 × 10 3 1.568 × 10 3
Table 2. Total variations (TVs) of estimated flow rates.
Table 2. Total variations (TVs) of estimated flow rates.
Estimation MethodTilting Angle Error at StartTilting Angle Error at Start
to Liquid Outflow +0 degto Liquid Outflow +3 deg
DKFs with Covariance of Process Noise in Equation (37) 4.855 × 10 4 4.746 × 10 4
DKFs with Covariance of Process Noise in Equation (46) 8.628 × 10 4 8.357 × 10 4
Differentiating Load Cell Data 1.443 × 10 1 1.486 × 10 1
Visible Camera 3.861 × 10 2 4.006 × 10 2
Table 3. Modified total variations (mTVs) of estimated flow rates.
Table 3. Modified total variations (mTVs) of estimated flow rates.
Estimation MethodTilting Angle Error at StartTilting Angle Error at Start
to Liquid Outflow +0 degto Liquid Outflow +3 deg
DKFs with Covariance of Process Noise in Equation (37) 8.549 × 10 5 7.460 × 10 5
DKFs with Covariance of Process Noise in Equation (46) 4.628 × 10 4 4.357 × 10 4
Differentiating Load Cell Data 1.439 × 10 1 1.482 × 10 1
Visible Camera 3.821 × 10 2 3.966 × 10 2
Publisher’s Note: MDPI stays neutral with regard to jurisdictional claims in published maps and institutional affiliations.

Share and Cite

MDPI and ACS Style

Sueki, Y.; Noda, Y. Experimental Verification of Real-Time Flow-Rate Estimations in a Tilting-Ladle-Type Automatic Pouring Machine. Appl. Sci. 2021, 11, 6701. https://doi.org/10.3390/app11156701

AMA Style

Sueki Y, Noda Y. Experimental Verification of Real-Time Flow-Rate Estimations in a Tilting-Ladle-Type Automatic Pouring Machine. Applied Sciences. 2021; 11(15):6701. https://doi.org/10.3390/app11156701

Chicago/Turabian Style

Sueki, Yuta, and Yoshiyuki Noda. 2021. "Experimental Verification of Real-Time Flow-Rate Estimations in a Tilting-Ladle-Type Automatic Pouring Machine" Applied Sciences 11, no. 15: 6701. https://doi.org/10.3390/app11156701

APA Style

Sueki, Y., & Noda, Y. (2021). Experimental Verification of Real-Time Flow-Rate Estimations in a Tilting-Ladle-Type Automatic Pouring Machine. Applied Sciences, 11(15), 6701. https://doi.org/10.3390/app11156701

Note that from the first issue of 2016, this journal uses article numbers instead of page numbers. See further details here.

Article Metrics

Back to TopTop