Regional Manufacturing Industry Demand Forecasting: A Deep Learning Approach
Abstract
1. Introduction
2. Literature Review
2.1. The Impact of Intelligent Technology on the Manufacturing Industry
2.2. Influencing Factors of the Manufacturing Industry
2.3. Industrial Demand Forecasting Method
3. Research Framework
3.1. Index System
3.2. Research Method
3.3. Evaluation Criteria
4. Experimental Results
4.1. Data Source
4.2. Data Test
4.2.1. Correlation Analysis
4.2.2. Lasso Selection
4.3. Results
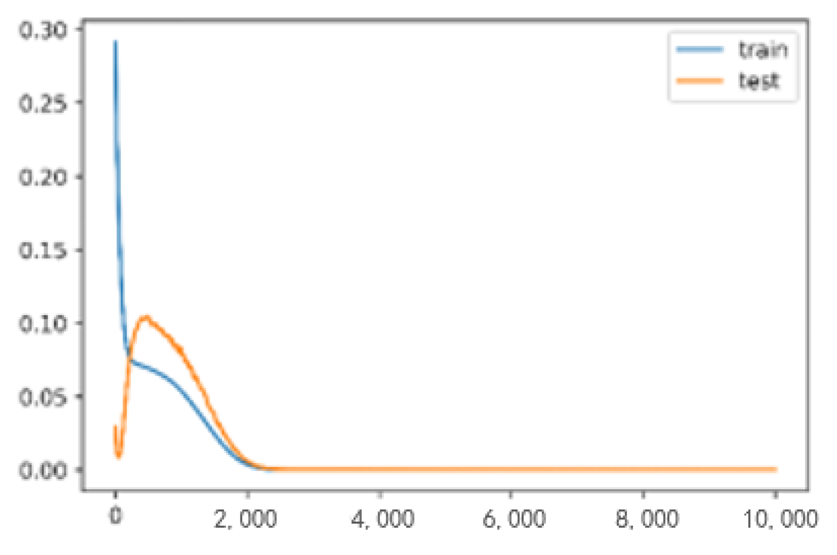
4.3.1. LSTM Result
4.3.2. Comparative Prediction Model
4.3.3. Manufacturing Industry Demand Forecasting
5. Discussion
5.1. Theoretical Implication
5.2. Practical Implication
6. Conclusions
Author Contributions
Funding
Institutional Review Board Statement
Informed Consent Statement
Data Availability Statement
Acknowledgments
Conflicts of Interest
References
- Dogan, A.; Birant, D. Machine learning and data mining in manufacturing. Expert Syst. Appl. 2021, 166, 114060. [Google Scholar] [CrossRef]
- Wang, J.; Ma, Y.; Zhang, L.; Gao, R.X.; Wu, D. Deep Learning for Smart Manufacturing: Methods and Applications. J. Manuf. Syst. 2018, 48, 144–156. [Google Scholar] [CrossRef]
- Anwar, S.; Sun, S. Foreign direct investment and export quality upgrading in China’s manufacturing sector. Int. Rev. Econ. Financ. 2017, 54, 289–298. [Google Scholar] [CrossRef]
- Qi, Y.; Yang, Y.; Yang, S.; Lyu, S. Does government funding promote or inhibit the financialization of manufacturing enterprises? Evidence from listed Chinese enterprises. N. Am. J. Econ. Financ. 2021, 58, 101463. [Google Scholar] [CrossRef]
- Isaiah Zayone, T.; Henneberry, S.R.; Radmehr, R. Effects of Agricultural, Manufacturing, and Mineral Exports on Angola’s Economic Growth. Energies 2020, 13, 1494. [Google Scholar] [CrossRef]
- Kordalska, A.; Olczyk, M. Linkages between services and manufacturing as a new channel for GVC development: Evidence from CEE countries. Struct. Chang. Dyn. 2021, 58, 125–137. [Google Scholar] [CrossRef]
- Lee, H.S.; Choi, Y. Environmental Performance Evaluation of the Korean Manufacturing Industry Based on Sequential DEA. Sustainability 2019, 11, 874. [Google Scholar] [CrossRef]
- Maao Ua Ne, M.; Zouggar, S.; Krajai, G.; Zahboune, H. Modelling industry energy demand using multiple linear regression analysis based on consumed quantity of goods. Energy 2021, 225, 120270. [Google Scholar] [CrossRef]
- Everingham, Y.; Sexton, J.; Skocaj, D.; Inman-Bamber, G. Accurate prediction of sugarcane yield using a random forest algorithm. Agron. Sustain. Dev. 2016, 36, 27. [Google Scholar] [CrossRef]
- Yan, P.; Zhang, L.; Feng, Z.; Zhang, J. Research on Logistics Demand Forecast of Port Based on Combined Model. J. Phys. Conf. Ser. 2019, 1168, 032116. [Google Scholar] [CrossRef]
- Yan, G. Forecasting of freight volume based on support vector regression optimized by genetic algorithm. In Proceedings of the 2nd IEEE International Conference on Computer Science and Information Technology, Beijing, China, 8–11 August 2009; pp. 550–553. [Google Scholar]
- Güven, İ.; Şimşir, F. Demand forecasting with color parameter in retail apparel industry using artificial neural networks (ANN) and support vector machines (SVM) methods. Comput. Ind. Eng. 2020, 147, 106678. [Google Scholar] [CrossRef]
- Meza, J.; Yepes, D.O.; Rodrigo-Ilarri, J.; Cassiraga, E. Predictive analysis of urban waste generation for the city of Bogotá, Colombia, through the implementation of decision trees-based machine learning, support vector machines and artificial neural networks. Heliyon 2019, 5, e02810. [Google Scholar] [CrossRef] [PubMed]
- Shao, M.; Wang, X.; Bu, Z.; Chen, X.; Wang, Y. Prediction of energy consumption in hotel buildings via support vector machines. Sustain. Cities Soc. 2020, 57, 102128. [Google Scholar] [CrossRef]
- Thomas Ng, S.; Skitmore, M.; Wong, K.F. Using genetic algorithms and linear regression analysis for private housing demand forecast. Build. Environ. 2008, 43, 1171–1184. [Google Scholar] [CrossRef]
- Law, R. Back-propagation learning in improving the accuracy of neural network-based tourism demand forecasting. Tour. Manag. 2000, 21, 331–340. [Google Scholar] [CrossRef]
- Enyiit, E.; Atici, U. Artificial neural network models for lot-sizing problem: A case study. Neural Comput. Appl. 2012, 22, 1039–1047. [Google Scholar]
- Tanizaki, T.; Hoshino, T.; Shimmura, T.; Takenaka, T. Demand forecasting in restaurants using machine learning and statistical analysis. Procedia CIRP 2019, 79, 679–683. [Google Scholar] [CrossRef]
- Liu, J.; Chang, H.; Forrest, J.Y.-L.; Yang, B. Influence of artificial intelligence on technological innovation: Evidence from the panel data of China’s manufacturing sectors. Technol. Forecast. Soc. Chang. 2020, 158, 120142. [Google Scholar] [CrossRef]
- Acemoglu, D.; Restrepo, P. The Race between Man and Machine: Implications of Technology for Growth, Factor Shares, and Employment. Am. Econ. Rev. 2018, 108, 1488–1542. [Google Scholar] [CrossRef]
- Yu, Z.; Zhou, L.; Ma, Z.; El-Meligy, M.A. Trustworthiness Modeling and Analysis of Cyber-physical Manufacturing Systems. IEEE Access 2017, 5, 26076–26085. [Google Scholar] [CrossRef]
- Romero-Silva, R.; Hernández-López, G. Shop-floor scheduling as a competitive advantage: A study on the relevance of cyber-physical systems in different manufacturing contexts. Int. J. Prod. Econ. 2020, 224, 107555. [Google Scholar] [CrossRef]
- Kuzior, A.; Lobanova, A. Tools of Information and Communication Technologies in Ecological Marketing under Conditions of Sustainable Development in Industrial Regions (Through Examples of Poland and Ukraine). J. Risk Financ. Manag. 2020, 13, 238. [Google Scholar] [CrossRef]
- Tao, F.; Qi, Q. New IT Driven Service-Oriented Smart Manufacturing: Framework and Characteristics. IEEE Trans. Syst. Man Cybern. Syst. 2018, 49, 81–91. [Google Scholar] [CrossRef]
- Leng, J.; Chen, Q.; Ning, M.; Jiang, P. Combining granular computing technique with deep learning for service planning under social manufacturing contexts. Knowl. Based Syst. 2017, 143, 295–306. [Google Scholar] [CrossRef]
- Raluca, D.A.; Alecsandru, S.V. Main Determinants of Foreign Direct Investments in Romania—A Quantitative View of the Regional Characteristics Involved in the Investment Strategies of Foreign Companies. Procedia Soc. Behav. Sci. 2012, 58, 1193–1203. [Google Scholar] [CrossRef][Green Version]
- Fernandes, A.M.; Paunov, C. Foreign direct investment in services and manufacturing productivity: Evidence for Chile. J. Dev. Econ. 2012, 97, 305–321. [Google Scholar] [CrossRef]
- Huang, Y.; Zhang, Y. How does outward foreign direct investment enhance firm productivity? A heterogeneous empirical analysis from Chinese manufacturing. China Econ. Rev. 2017, 44, 1–15. [Google Scholar] [CrossRef]
- Liu, T.; Wang, J.; Zhu, Y.; Qu, Z. Linking economic performance and sustainable operations of China’s manufacturing firms: What role does the government involvement play? Sustain. Cities Soc. 2021, 67, 102717. [Google Scholar] [CrossRef]
- Zhao, L.; Chang, J.; Du, J. Dynamics analysis on competition between manufacturing and remanufacturing in context of government subsidies. Chaos Solitons Fractals 2019, 121, 119–128. [Google Scholar] [CrossRef]
- Szirmai, A.; Verspagen, B. Manufacturing and economic growth in developing countries, 1950–2005. Struct. Chang. Econ. Dyn. 2015, 34, 46–59. [Google Scholar] [CrossRef]
- Gabriel, L.F.; de Santana Ribeiro, L.C. Economic growth and manufacturing: An analysis using Panel VAR and intersectoral linkages. Struct. Chang. Econ. Dyn. 2019, 49, 43–61. [Google Scholar] [CrossRef]
- Jiang, X.; Zhang, S. Visualizing the services embodied in global manufacturing exports. Phys. A Stat. Mech. Appl. 2021, 571, 125365. [Google Scholar] [CrossRef]
- Liu, X.; Mattoo, A.; Wang, Z.; Wei, S.-J. Services development and comparative advantage in manufacturing. J. Dev. Econ. 2020, 144, 102438. [Google Scholar] [CrossRef]
- Dou, Z.; Wu, B.; Sun, Y.; Wang, T. The Competitiveness of Manufacturing and Its Driving Factors: A Case Study of G20 Participating Countries. Sustainability 2021, 13, 1143. [Google Scholar] [CrossRef]
- Dou, Z.; Sun, Y.; Wang, T.; Wan, H.; Fan, S. Exploring Regional Advanced Manufacturing and Its Driving Factors: A Case Study of the Guangdong–Hong Kong–Macao Greater Bay Area. Int. J. Environ. Res. Public Health 2021, 18, 5800. [Google Scholar] [CrossRef]
- Xu, J.; Wang, B. Intellectual Capital, Financial Performance and Companies’ Sustainable Growth: Evidence from the Korean Manufacturing Industry. Sustainability 2018, 10, 4651. [Google Scholar] [CrossRef]
- Filippetti, A.; Frenz, M.; Ietto-Gillies, G. The impact of internationalization on innovation at countries’ level: The role of absorptive capacity. Camb. J. Econ. 2017, 41, 413–439. [Google Scholar] [CrossRef][Green Version]
- Liu, X.; Zhang, X. Industrial agglomeration, technological innovation and carbon productivity: Evidence from China. Resour. Conserv. Recycl. 2021, 166, 105330. [Google Scholar] [CrossRef]
- Guan, J.; Gao, X. Exploring the h-Index at Patent Level. JASIST 2009, 60, 35–40. [Google Scholar] [CrossRef]
- Hall, L.A.; Bagchi-Sen, S. A study of R&D, innovation, and business performance in the Canadian biotechnology industry. Technovation 2002, 22, 231–244. [Google Scholar]
- Parthasarthy, R.; Hammond, J. Product innovation input and outcome: Moderating effects of the innovation process. J. Eng. Technol. Manag. 2002, 19, 75–91. [Google Scholar] [CrossRef]
- Huang, L.; Dou, Z.; Hu, Y.; Huang, R. Online Sales Prediction: An Analysis with Dependency SCOR-Topic Sentiment Model. IEEE Access. 2019, 7, 79791–79797. [Google Scholar] [CrossRef]
- Yu, X.; Liu, Y.; Huang, X.; An, A. Mining Online Reviews for Predicting Sales Performance: A Case Study in the Movie Domain. IEEE Trans. Knowl. Data Eng. 2012, 24, 720–734. [Google Scholar] [CrossRef]
- Hu, Y.-C. Constructing grey prediction models using grey relational analysis and neural networks for magnesium material demand forecasting. Appl. Soft Comput. 2020, 93, 106398. [Google Scholar] [CrossRef]
- Sathishkumar, V.E.; Cho, Y. Season wise bike sharing demand analysis using random forest algorithm. Comput. Intell. 2020. [Google Scholar] [CrossRef]
- Jie, S.; Lee, W.J.; Liu, Y.; Yang, Y.; Peng, W. Forecasting Power Output of Photovoltaic Systems Based on Weather Classification and Support Vector Machines. IEEE Trans. Ind. Appl. 2015, 48, 1064–1069. [Google Scholar]
- Fan, S.X.; Bin, W.U.; Business, S.O.; University, S.D. Prediction Analysis for Logistics Demand Based on Multiple Kernels. Ind. Eng. Manag. 2018, 23, 40–44. [Google Scholar]
- Sadeghi, B. A BP-neural network predictor model for plastic injection molding process. J. Mater. Process. Technol. 2000, 103, 411–416. [Google Scholar] [CrossRef]
- Yin, Z.; Jia, B.; Wu, S.; Dai, J.; Tang, D. Comprehensive Forecast of Urban Water-Energy Demand Based on a Neural Network Model. Water 2018, 10, 385. [Google Scholar] [CrossRef]
- Huang, L.; Dou, Z.; Hu, Y.; Huang, R. Textual Analysis for Online Reviews: A Polymerization Topic Sentiment Model. IEEE Access 2019, 7, 91940–91945. [Google Scholar] [CrossRef]
- Sepp, H.; Jurgen, S. Long short-term memory. Neural Comput. 1997, 9, 1735–1780. [Google Scholar]
- Zhao, J.; Hua, Q.; Zhao, J.; Jiang, D. Towards traffic matrix prediction with LSTM recurrent neural networks. Electron. Lett. 2018, 54, 566–568. [Google Scholar] [CrossRef]
- Cortez, B.; Carrera, B.; Kim, Y.J.; Jung, J.Y. An architecture for emergency event prediction using LSTM recurrent neural networks. Expert Syst. Appl. 2018, 97, 315–324. [Google Scholar] [CrossRef]
- Zhu, J.; Gong, Z.; Sun, Y.; Dou, Z. Chaotic neural network model for SMISs reliability prediction based on interdependent network SMISs reliability prediction by chaotic neural network. Qual. Reliab. Eng. Int. 2021, 37, 717–742. [Google Scholar] [CrossRef]
- Dou, Z.; Hu, Y.; Cheng, P.; Huang, L.; Liang, J.; Xiao, H. Predicting Sales Performance Based on Polarity Sentiments of Online Reviews and Manifold Dynamics Method. In Proceedings of the 5th International Conference on Systems and Informatics (ICSAI), Nanjing, China, 10–12 November 2018; pp. 1138–1145. [Google Scholar]
- David, F. Redressing grievances with the treatment of dimensionless quantities in SI. Measurement 2017, 109, 105–110. [Google Scholar]










| Research Target | Influence Variables | Variable Explanation |
|---|---|---|
| MIDF(Y) | FCI (X1) [26,27,28] | International co-operation |
| General Public Budget Expenditure for Science and Technology (X2) [29,30] | Government subsidies | |
| GDP (X3) [31,32] | Economic development | |
| Tertiary Industry (X4) [33,34] | Service level | |
| Number of Patent Applications Granted(X5) [38,39] | Technical protection | |
| Internal Expenditure on R&D (X6) [40] | Technology input | |
| Sales Revenue of New Products (X7) [41,42] | Technology output |
| Year/Month | Y | X1 | X2 | X3 | X4 | X5 | X6 | X7 |
|---|---|---|---|---|---|---|---|---|
| 2004 | 29,554.92 | 828.64 | 56.42 | 18,658.34 | 8246.80 | 1941.00 | 147.56 | 3055.19 |
| 2004/6 | 32,748.83 | 920.73 | 62.56 | 20,310.67 | 8882.68 | 1908.50 | 163.98 | 3219.53 |
| 2005 | 35,942.74 | 1012.81 | 68.70 | 21,962.99 | 9518.55 | 1876.00 | 180.39 | 3383.88 |
| 2005/6 | 40,308.75 | 1084.79 | 74.19 | 23,962.12 | 10,413.55 | 2158.50 | 213.74 | 3800.21 |
| 2006 | 44,674.75 | 1156.76 | 79.67 | 25,961.24 | 11,308.54 | 2441.00 | 247.08 | 4216.53 |
| 2006/6 | 49,963.81 | 1229.51 | 99.47 | 28,851.93 | 12,682.55 | 3077.50 | 291.72 | 4493.44 |
| 2007 | 55,252.86 | 1302.26 | 119.26 | 31,742.61 | 14,056.56 | 3714.00 | 336.37 | 4770.34 |
| 2007/6 | 60,338.74 | 1316.72 | 125.89 | 34,223.39 | 15,160.26 | 5659.00 | 373.66 | 5936.91 |
| 2008 | 65,424.61 | 1331.17 | 132.52 | 36,704.16 | 16,263.96 | 7604.00 | 410.96 | 7103.48 |
| 2008/6 | 66,850.19 | 1332.79 | 150.51 | 38,084.43 | 17,171.50 | 9479.50 | 481.67 | 7699.51 |
| 2009 | 68,275.77 | 1334.41 | 168.50 | 39,464.69 | 18,079.03 | 11,355.00 | 552.37 | 8295.55 |
| 2009/6 | 77,050.21 | 1352.99 | 191.47 | 42,704.66 | 19,453.31 | 12,523.00 | 628.03 | 10,083.92 |
| 2010 | 85,824.64 | 1371.57 | 214.44 | 45,944.62 | 20,827.59 | 13,691.00 | 703.68 | 11,872.29 |
| 2010/6 | 90,348.16 | 1389.74 | 209.18 | 49,508.71 | 22,593.07 | 15,966.50 | 801.56 | 13,127.28 |
| 2011 | 94,871.68 | 1407.91 | 203.92 | 53,072.79 | 24,358.54 | 18,242.00 | 899.44 | 14,382.27 |
| 2011/6 | 95,236.89 | 1447.23 | 225.32 | 55,040.27 | 25,654.42 | 20,197.50 | 988.65 | 14,892.56 |
| 2012 | 95,602.09 | 1486.54 | 246.71 | 57,007.74 | 26,950.30 | 22,153.00 | 1077.86 | 15,402.85 |
| 2012/6 | 102,637.58 | 1515.94 | 295.83 | 59,755.58 | 28,617.16 | 21,118.50 | 1157.67 | 16,708.29 |
| 2013 | 109,673.07 | 1545.33 | 344.94 | 62,503.41 | 30,284.02 | 20,084.00 | 1237.48 | 18,013.74 |
| 2013/6 | 114,693.06 | 1598.00 | 309.64 | 65,338.22 | 31,743.99 | 21,180.00 | 1306.38 | 19,163.53 |
| 2014 | 119,713.04 | 1650.66 | 274.33 | 68,173.03 | 33,203.95 | 22,276.00 | 1375.29 | 20,313.32 |
| 2014/6 | 122,181.10 | 1662.28 | 421.94 | 71,452.74 | 35,416.44 | 27,876.50 | 1447.92 | 21,477.91 |
| 2015 | 124,649.16 | 1673.91 | 569.55 | 74,732.44 | 37,628.92 | 33,477.00 | 1520.55 | 22,642.50 |
| 2015/6 | 129,208.60 | 1612.42 | 656.26 | 78,447.83 | 40,396.21 | 36,051.50 | 1598.41 | 25,656.96 |
| 2016 | 133,768.04 | 1550.92 | 742.97 | 82,163.22 | 43,163.49 | 38,626.00 | 1676.27 | 28,671.41 |
| 2016/6 | 134,745.23 | 1548.77 | 783.43 | 86,905.98 | 46,332.09 | 42,183.00 | 1770.65 | 31,767.22 |
| 2017 | 135,722.42 | 1546.61 | 823.89 | 91,648.73 | 49,500.68 | 45,740.00 | 1865.03 | 34,863.03 |
| 2017/6 | 138,060.68 | 1498.75 | 929.30 | 95,796.98 | 52,105.53 | 49,499.50 | 1986.12 | 37,119.54 |
| 2018 | 140,398.93 | 1450.88 | 1034.71 | 99,945.22 | 54,710.37 | 53,259.00 | 2107.20 | 39,376.06 |
| 2018/6 | 143,260.33 | 1486.44 | 1101.75 | 103,808.15 | 57,241.88 | 56,500.50 | 2211.03 | 41,173.06 |
| 2019 | 146,121.72 | 1522.00 | 1168.79 | 107,671.07 | 59,773.38 | 59,742.00 | 2314.86 | 42,970.06 |
| X1 | X2 | X3 | X4 | X5 | X6 | X7 | |
|---|---|---|---|---|---|---|---|
| The coefficient | 43.68 | −13.51 | 1.24 | −2.16 | 0.19 | 25.57 | 1.10 |
| The state | True | True | True | True | True | True | True |
| LSTM | SVM | BP | AR | RF | |
|---|---|---|---|---|---|
| MAE | 463.4339183 | 2891.278648 | 1074.917976 | 2019.226016 | 1397.206419 |
| RMSE | 874.8308509 | 3840.997444 | 1446.326249 | 2783.584018 | 2125.591786 |
| MAPE | 0.63% | 3.59% | 1.28% | 3.12% | 2.49% |
| LSTM | BP | GM(1,1) | ||
|---|---|---|---|---|
| X1 | MAE | 24.40906 | 23.10708 | 85.94395 |
| RMSE | 29.53632 | 30.3987 | 105.9244 | |
| MAPE | 1.90% | 1.54% | 6.16% | |
| X2 | MAE | 21.92619 | 19.14836 | 43.33882 |
| RMSE | 34.78503 | 31.27112 | 59.63684 | |
| MAPE | 6.84% | 6.07% | 13.52% | |
| X3 | MAE | 417.0695 | 307.9188 | 1809.08 |
| RMSE | 605.0364 | 384.5287 | 2440.184 | |
| MAPE | 0.82% | 0.69% | 4.66% | |
| X4 | MAE | 197.5453 | 148.132 | 716.5678 |
| RMSE | 239.7368 | 170.3009 | 991.3312 | |
| MAPE | 0.83% | 0.66% | 3.61% | |
| X5 | MAE | 825.8111 | 657.8572 | 4130.789 |
| RMSE | 1257.428 | 981.4491 | 5145.899 | |
| MAPE | 7.33% | 6.05% | 46.90% | |
| X6 | MAE | 5.059089 | 5.213758 | 131.1709 |
| RMSE | 6.703232 | 6.394745 | 159.7326 | |
| MAPE | 0.97% | 0.93% | 24.89% | |
| X7 | MAE | 393.3796 | 203.6164 | 1507.022 |
| RMSE | 493.4832 | 289.1982 | 1955.195 | |
| MAPE | 3.37% | 2.25% | 14.87% | |
| Y | MAE | 4852.551 | 1443.969 | 7749.021 |
| RMSE | 6092.578 | 1993.786 | 9211.345 | |
| MAPE | 5.46% | 1.56% | 10.31% |
| Year | 2020 | 2021 | 2022 |
|---|---|---|---|
| X1 | 1558.81 | 1581.46 | 1603.743652 |
| X2 | 1290.37 | 1380.12 | 1438.61 |
| X3 | 114,712.38 | 121,186.86 | 126,723.83 |
| X4 | 64,732.88 | 69,585.25 | 74,398.74 |
| X5 | 65,494.22 | 70,856.7 | 79,074.36 |
| X6 | 2480.69 | 2619.76 | 2752.09 |
| X7 | 45,951.31 | 48,622.86 | 51,048.66 |
| 2020 | 2021 | 2022 | |
|---|---|---|---|
| Y | 147,080.37 | 148,783.48 | 149,772.4 |
Publisher’s Note: MDPI stays neutral with regard to jurisdictional claims in published maps and institutional affiliations. |
© 2021 by the authors. Licensee MDPI, Basel, Switzerland. This article is an open access article distributed under the terms and conditions of the Creative Commons Attribution (CC BY) license (https://creativecommons.org/licenses/by/4.0/).
Share and Cite
Dou, Z.; Sun, Y.; Zhang, Y.; Wang, T.; Wu, C.; Fan, S. Regional Manufacturing Industry Demand Forecasting: A Deep Learning Approach. Appl. Sci. 2021, 11, 6199. https://doi.org/10.3390/app11136199
Dou Z, Sun Y, Zhang Y, Wang T, Wu C, Fan S. Regional Manufacturing Industry Demand Forecasting: A Deep Learning Approach. Applied Sciences. 2021; 11(13):6199. https://doi.org/10.3390/app11136199
Chicago/Turabian StyleDou, Zixin, Yanming Sun, Yuan Zhang, Tao Wang, Chuliang Wu, and Shiqi Fan. 2021. "Regional Manufacturing Industry Demand Forecasting: A Deep Learning Approach" Applied Sciences 11, no. 13: 6199. https://doi.org/10.3390/app11136199
APA StyleDou, Z., Sun, Y., Zhang, Y., Wang, T., Wu, C., & Fan, S. (2021). Regional Manufacturing Industry Demand Forecasting: A Deep Learning Approach. Applied Sciences, 11(13), 6199. https://doi.org/10.3390/app11136199

