Abstract
In this paper, a complete three-dimensional (3D) RF model of the cyclotron coaxial resonator—including the coaxial sliding shorts, the “Liner” vacuum chamber, the coupler, the trimmer, and the high RF voltage “Dee” structures—has been developed. An eigenmode analysis was used to simulate the tuning of the resonator in the operating frequency range of 15–48 MHz obtained by two movable sliding shorts and a trimmer. A driven analysis has been performed in order to compute the parameter (or impedance matching) of the cavity excited by a movable coaxial power coupler. The numerical simulations have been performed using the different peculiarities of two commercial tools, COMSOL Multiphysics and CST microwave studio. Experimental validation of the developed model is presented. The evidence of an unwanted electric field component, orthogonal to the accelerating field, was discovered and a mitigation is also proposed. The impact of the proposed modification was evaluated by using a 3D beam dynamics code under development in the framework of the Superconducting Cyclotron upgrade ongoing at INFN-LNS.
1. Introduction
The K-800 Superconducting Cyclotron—in operation for more than 25 years at INFN-LNS—is a three-sector compact machine with a wide operating range, able to accelerate heavy ions, with values of q/A from 0.1 to 0.5, to energy from 2 to 100 AMeV []. Up to now, the maximum beam power for nuclear physics experiments has been of about 100 W. Following the recent request of users aiming to study rare processes in nuclear physics [,], an upgrade program is ongoing with the main objective to increase the beam power up to about 10 kW [,,,]. The RF system has been going through many improvements [,] and moreover, the vertical gap between the Dees of the RF cavities is planned to be increased from the present 24 mm up to 30 mm by renewing the existing liners and trim coils []. This modification results in the length reduction of the conical connection between the stem (inner coaxial) and the Dees. In this framework, the present paper describes a numerical study of the INFN-LNS cyclotron RF cavities, which allows simultaneously investigating the current configuration and evaluating furthers variations which could play a role in the above-cited upgrade. Moreover, the electromagnetic field results presented in this work will be provided to a novel 3D particle dynamics code. RF modeling and simulations of this kind of cavities are present in literature [,,,,,,]. In this work, the electromagnetic simulations have been carried out through two commercial simulation softwares, COMSOL Multyphysics 5.4 [] and CST Microwave Studio 2020 [], using both the “eigenmode” and “driven” solvers. In Section 2, the RF parameters such as resonant frequency, impedance matching, and quality factor have been calculated and compared with experimental measurements. The excellent agreement observed confirms the quality and reliability of the developed numerical model. In Section 3 the beam-dynamics have been analyzed through a properly developed tracking code. Since, with the planned upgrade, the beam power will increase by two orders magnitude, the fraction of beam losses shall be drastically decreased to keep low the power losses. For this reason, the amplitude of parasitic electric field components—that could result in an unwanted transversal kick of the accelerated particles [] and increase of the beam size—has been evaluated, and a mitigation is proposed and verified by beam dynamics analysis.
2. Rf Model: Simulation Results vs. Experimental Measurements
2.1. Model Geometry, Materials, Mesh, and Boundary Conditions
The RF design of the INFN-LNS superconducting cyclotron, presented elsewhere [,], is based on three vertical half-wave (/2) coaxial resonators, placed 120 apart along the median plane (i.e., the area where particle acceleration occurs) and operating in the frequency range of 15–48 MHz. In the median plane, an accelerating high voltage electrode, named “Dee” for its shape, is connected to the shorted inner conductor lines (“Dee-stem”). The grounded outer conductor, called “Liner”, is the wall of the vacuum chamber region. In the gap between the RF oscillating high-voltage Dee and the grounded Liner, an accelerating electric field is formed with an intensity inversely proportional to the distance between facing surfaces. For the sake of simplicity, only one of the three identical RF cavities is considered in our model. A picture of the accelerating vacuum chamber is shown in Figure 1. It is composed by the upper and lower liner (only the inferior one is shown) and the inner part of the cryostat. The RF cavities including coaxial stem and Dees are installed in the valley of the liner. The 3D geometry of the actual RF cavity adopted in our model is shown in Figure 2. It is fully comprehensive of all the RF details and it has been derived from the mechanical drawings, including the variations done along the years.

Figure 1.
Accelerating vacuum chamber. It is composed by the upper and lower liner (only the inferior one is visible) and the inner part of the cryostat. The RF cavity including the coaxial stem and Dees are installed in the valley of the liner.

Figure 2.
Superconducting cyclotron RF cavity model. Main components are indicated. NOTE: ceramic isolators between inner and outer coaxial are not visible.
The simulated RF cavity geometry includes the inner coaxial, the sliding shorts, the Dee-stems, the Dee, the RF power coupler, the trimmer, and the Liner internal region here represented as a transparent blue object. The model also includes three alumina insulating parts which are designed to provide the separation between air and vacuum pressure side: two of them are placed between the outer and the inner coaxial Dee-stem, and the other one is placed in the coupler. Both the Comsol and CST models have been designed resembling the real machine capability to move the position of the sliding shorts and trimmer for frequency tuning and of the coupler for the impedance matching. In such a way it was also possible to have an extensive comparison between measurements and model results as shown in the next sections both in terms of range of operating frequency and power coupling condition. The cavity model has been simulated with same settings in CST and COMSOL: the internal volume material was set as “vacuum” while a proper dielectric constant was used for the three alumina volumes. The copper conducibility was used for metal boundary conditions (“impedance boundary condition” []) on the conductive parts of the model. A representation of the employed mesh is visible in Figure 3 for the cavity full model. A detailed view of the Dee and the coupler are also shown. It is worth noting that the mesh properly follows the different size-scales of the geometries. A fine-mesh region was added in the Dee and coupler region where it is expected high gradient and intense electric fields will occur.

Figure 3.
Mesh of the model. Top right: Dee supported by inner coaxial Dee-stem. Bottom right: external part of the coupler.
2.2. Eigenmode Results
Eigenmode simulations have been performed by using CST Microwave Studio. To properly accelerate particles, the cavity operates in the fundamental TEM mode of the coaxial cavity, whose vector plot along the structure median plane is visible in Figure 4. As expected, the maximum amplitude corresponds with the contours of the Dee. Since the plot is a snapshot taken at a particular (and arbitrary) fixed phase, the electric field arrows in one side of the Dee (beam entrance) have opposite directions with respect to the other side of the Dee (beam exit). Actually, if the magnetic field is properly tuned, the RF field phase will be synchronized to the revolution period of the particle; in this latter case, the electric field arrows direction will be inverted in the time the particle travel from one side to the other, again providing acceleration to the beam both at the entrance and at the exit side.

Figure 4.
Electric field vector-plot of the fundamental TEM mode plotted along the cavity median plane; the green arrow represents the beam direction of motion. Note: arbitrary electric field normalization has been applied.
The red arrows (high intensity) show that the electric field has a dominant accelerating component in-plane. However, corresponding to the center of the Dee, an orthogonal component is present at a lower intensity (blue arrows) which pushes the beam up and down transversely to the median plane and never acts as an accelerating component. The TEM mode resonance frequency of the cavity can be tuned by moving the top and bottom sliding shorts. Further fine tuning of the operating frequency (in the KHz range) can be performed by using the movable trimmer. The cavity resonant frequencies obtained in simulation at different position of the sliding shorts result in excellent agreement with the measured frequencies (see Figure 5) obtained by connecting the coupler port of the coaxial cavity to a Vector Network Analyzer (VNA).

Figure 5.
Sliding short distance from the median plane vs. TEM mode frequency. Eigenmode simulations performed with CST (red dots) are compared with experimental measurements (blue dots).
2.3. Driven Results
In this section we describe driven RF simulations in order to analyze wave propagation, coupling and impedance matching thanks to the -parameter evaluation at the RF power coupler port. A tunable capacitive coupler is used to couple the RF power from the coaxial feeder line to the cavity. In our driven RF simulation, the input port is a coaxial surface at the bottom part of the coupler design (see Figure 6). A detailed view of the electric field in the region close to the coupler is shown in Figure 6: it is possible to see the high electric field corresponding with the two gaps between the Dee and the Liner walls. Around the coupler tip, the electric field corresponds to the surface facing the Dee and in the small gap between the coupler and its supporting flange on the bottom part of the Liner. Because of this small gap and high electric field gradient, a finer meshing of this region is crucial for the quality and accuracy of the power coupling simulation.

Figure 6.
Vertical ( plane) cut showing the electric field intensity in the proximity of the coupler used for RF injection. The distance d between the coupler tip and the median plane is indicated. Note: arbitrary electric field normalization has been applied.
The coaxial-to-cavity impedance matching is obtained by varying the distance d between the movable coupler tip and the cavity median plane (see Figure 6). The coupling capacitor has a stroke of 50 mm in the interval from mm to mm. The optimal coupler-to-median plane distance, which gives the best impedance matching, depends on the cavity operating frequency. The behavior of the system has been well-reproduced by our model exemplified with fixed shorts position giving a resonant frequency of MHz. In Figure 7 the simulated -parameter variation can be analyzed when the coupler is moved along its entire stroke with steps of 2.5 mm. It is relevant to notice that the trend of the S-parameter by moving the coupler is in accordance with the experimental behavior.

Figure 7.
–parameter curves, for the cavity operating at MHz, obtained by varying the distance of the coupler capacitor from the median plane. The red curve shows the best matching found when mm. From right to left the movable coupler tip has been inserted into the cavity, with steps of 2.5 mm, starting at mm and reaching mm.
2.4. Impedance Matching Procedure
The impedance matching in the real machine operation is done in three steps: first, the sliding shorts are placed corresponding to the desired resonant frequency; after, the coupler is moved to find the best coupling (minimum of -parameter). Finally, since the insertion of the coupler changes slightly the resonant frequency, the trimmer is moved to finely tune the resonant frequency at desired value. A comparison between the experimental and simulated optimum coupler position was carried out (see Figure 8).

Figure 8.
Impedance matching condition for various resonant frequencies: absolute best coupler position found with the model (green dots), and coupler position used during twenty-five years of machine operation (blue dots). The dashed black line highlights the maximum limit of the coupler stroke.
For frequencies lower than 25 MHz, the coupling is constrained to the 50 mm stroke limitation (corresponding to mm). While the simulations allow a global optimization able to find the absolute best working point into the three-dimensional space parameters (shorts, coupler, and trimmer position), in the real machine operation also slight differences on the shorts position can result in few millimeters of dispersion and in -parameter local minima values where, however, the matching still remains very good ( dB). The maximum discrepancy between the average of experimental data and the simulated value is only about 8.5 mm at 33.7 MHz. Figure 7 shows that when moving the coupler 7.5 mm from the best position, the matching is still very good since | goes from dB to about dB.
2.5. Quality Factor
The unloaded quality factor has been determined from the 3 dB bandwidth measurement made with a Vector Network Analyzer (VNA). As expected also from other analyses in literature [,,,], the measured quality factor is less than the simulated values due to many factors: sliding contact, losses to brazed and welded joints, temperature increase, surface oxidation and cleaning, etc. A mismatch ranging from 16 to 30% is shown in Figure 9.

Figure 9.
Cavity unloaded quality factors vs. frequency. Blue curve refers to simulations while red curve reports measured values.
3. Analysis of Cavity Asymmetry Effects on Beam-Dynamics
Typically, any cyclotron RF cavity design has a vertical symmetry with equal half upper and lower structures. The symmetry of the cavity and the TEM fundamental mode operation ensures the best condition for electric field distribution in the beam region, parallel to the middle plane. However, the “real” machines—such the INFN-LNS compact cyclotron under investigation in this work—have some intrinsic limitations. The coupler is located on the bottom side of the Dee and the trimmer in the upper side. These elements break the symmetry of each RF cavity. Before of the present work this asymmetry was not quantitatively evaluated and the operation was driven by experimental evidence. In the following, to be able to evaluate the amplitude of the two components of interest, we used the expression = to extract the module of the component parallel to the middle plane, and the expression = to extract the module of the component orthogonal to the middle plane. The superscript r and i identify the real and imaginary parts of the solution, respectively. The electric field component orthogonal to the median plane, introduced by this asymmetry, was computed and presented in Figure 10. The color-scale of Figure 10 has been cut to 250 V/m to better identify the amplitude in the region of interest.

Figure 10.
Magnitude of the electric field component orthogonal to the median plane.
Thanks to a beam dynamics code we are developing for the upgrade of our cyclotron, we can estimate the effects of this unwanted electric field component on the beam dynamics. The code has been developed in Matlab, importing the magnetic field and the RF field maps from comsol, then computing the beam trajectory using the relativistic Boris mover approach [].
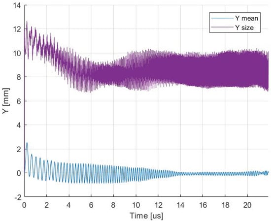
Before to use the electric field in the beam-dynamics code, its amplitude needs to be normalized in order to obtain the magnitude correspondent to the acceleration of the beam of interest. We consider the evolution of an oxygen beam with atomic mass of 18 and a charge state of that is accelerated with a resonant frequency, here considered to be 33.7416 MHz (second harmonic acceleration mode), up to an energy of 45 MeV/A. The dynamics are computed from an inner radius of 11 cm up to the extraction diameter of 86 cm. The beam envelope related to the vertical plane, shown in Figure 11, is characterized by a sinusoidal fluctuation of the beam size and center. This sinusoidal motion is typical of a harmonic oscillator; the restoring force is provided by the cyclotron magnetic field focusing strength, and the excitation force is the orthogonal electric field component.

Figure 11.
Beam transverse envelope for the standard operation condition.
In Figure 12 a detailed beam dynamics analysis is carried out to reveal the correlation between the beam center transverse position and the transverse electric field component () strength encountered by the beam itself. The cyclotron magnetic field () is shown to easily identify when the beam travels across the RF cavity, corresponding to a lower magnetic field strength (the so-called “valleys”). The electric field component parallel to the middle plane () is shown to precisely identify the acceleration gap cross. This correlation shows that the orthogonal electric field component increases with the distance from the middle plane. The effect of this component will growth with the foreseen upgrade which will increase the beam current and the beam size.

Figure 12.
Details of beam transverse displacement evolution, magnetic field and electric field components during the first part of the acceleration inside the cyclotron.
The analysis of the transverse electric field component, shown in Figure 13 along two RF cavities crossings, reveals a complex electric field structure with a sequence of alternated (up and down) kicks. Transverse component change orientation during the cross of each acceleration gap. This is clearly shown in Figure 10, where the zero electric field region is located in correspondence with the accelerating gap center. Due to the second harmonic acceleration mode, when the beam crosses the RF cavity center the phase of the RF field crosses zero and the orientation of the electric field changes. Integrating the electric field component orthogonal to the middle plane, during the beam crossing of each RF cavity (yellow line in Figure 13), we estimate the provided beam momentum associated to this transverse force. It is possible to see that the sum of the four transverse kicks is not zero and is of the same sign and amplitude for each RF cavity.

Figure 13.
Details of electric field components and transverse momentum provided to the beam for two consecutive RF cavities.
Coaxial Sliding Shorts Asymmetric Position
The presented asymmetry and its effect on beam dynamics is compatible with the current use of the cyclotron. However, one of the major requests of the planned upgrade is to reduce as much as possible the beam losses and energy spread of the extracted beam. For this scope, a mitigation for the transverse electric field has been searched. We are presenting here a simple mitigation that does not require any mechanical changes on the accelerator machine. The solution here proposed is to introduce an asymmetry in the sliding shorts position that counteracts the effects of the electric field asymmetry introduced by the presence of the coupler and the trimmer. Starting from the symmetric shorts condition (length of 556 mm for 33.7416 MHz), the upper one has been extracted at 55 mm while the lower one has been inserted at 50 mm, as shown in Figure 14.

Figure 14.
Asymmetrical sliding shorts position to counteract the asymmetry introduced by the coupler.
The parasitic electric field component produced in the standard, symmetric sliding shorts, configuration was already presented in Figure 10. Same electric field analysis has been performed for the “asymmetric shorts” configuration. The electric field produced by the latter configuration is reported again in Figure 15 for easier comparison with the same color range scale of Figure 16 to simplify the comparison. Thanks to the applied asymmetry, it can be observed that the undesired electric field parasitic component corresponding with the center of RF cavity has been reduced to negligible values.

Figure 15.
Magnitude of the electric field component orthogonal to the median plane.

Figure 16.
produced by the asymmetric sliding short configuration at 33.7416 MHz.
It is worth noticing that the applied asymmetry keeps unaltered the accelerating field component , parallel to the middle plane, as it is possible to see in Figure 17a,b.

Figure 17.
Electric field component parallel to the middle plane produced by the actual geometry (a) vs. the asymmetric sliding short configuration (b) at 33.7416 MHz.
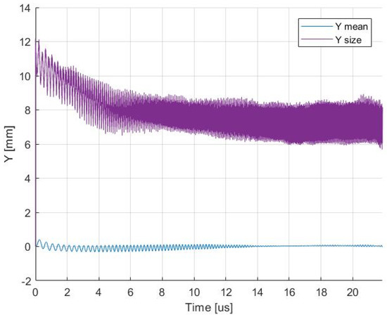
With the tracking code, we can estimate the improvement in beam dynamics. The standard configuration produces 2 mm amplitude oscillation of the beam center for the first half of the acceleration time (Figure 11), with a beam size in the extraction region of about 10 mm. With the asymmetric sliding shorts configuration (Figure 14), the beam center amplitude oscillation is reduced by a factor of four and the beam size in the extraction region is reduced within range of 15–20% (see Figure 18) with respect to the standard operation condition, reported again in Figure 19 for easier comparison.

Figure 18.
Beam transverse envelope of non-symmetric sliding shorts.

Figure 19.
Beam transverse envelope for the standard operation condition.
Reducing the amplitude of the electric field component orthogonal to the middle plane, the amplitude of the oscillation, as visible in Figure 20, is consequently reduced, while the 0.5 us oscillation period is not modified because it is related to the beam inertia and the magnetic focusing effect, which remain unchanged. The reduction in beam oscillation amplitude results is correlated to the reduction of the transferred momentum (shown in Figure 21) by a factor 4.

Figure 20.
Details of beam transverse displacement evolution, magnetic field and electric field components during the first part of the acceleration inside the cyclotron. Asymmetric shorts configuration.

Figure 21.
Details of electric field components and transverse momentum provided to the beam for two consecutive RF cavities. Asymmetric shorts configuration.
4. Conclusions
In this paper we presented the numerical simulations and RF measurements of the INFN-LNS K-800 Superconducting Cyclotron RF cavity. Simulations using CST Microwave Studio and COMSOL allowed a better understanding of the RF behavior and a detailed analysis of all electric field components produced. The obtained agreement between measured and computed parameters could allow to use the numerical tool for future RF cavity modification in order to help the commissioning the RF system. The full structure electromagnetic model here presented, used as an input for the new beam-dynamics code under development at INFN-LNS, allowed the study of the beam acceleration process and permitted understanding and resolving the field asymmetry problem described in Section 3. In the future this could help to reach the relevant increase of beam power, in the scope of the ongoing cyclotron upgrade.
Author Contributions
Conceptualization, G.T. and L.N. Investigation, G.S.M., L.N., A.L., A.C. and M.M. Methodology, G.T., L.N. and D.R. Visualization, L.A. and G.G. Validation, G.T., A.L. and A.S. Software, G.S.M., L.N. and M.M. Supervision, G.T. and D.R. Writing, G.T., G.S.M., A.L., D.R. All authors have read and agreed to the published version of the manuscript.
Funding
This research received no external funding.
Institutional Review Board Statement
Not applicable.
Informed Consent Statement
Not applicable.
Data Availability Statement
Not applicable.
Conflicts of Interest
The authors declare no conflict of interest.
References
- Calabretta, L.; Cuttone, G.; Gammino, S.; Gmaj, P.; Migneco, E.; Raia, G.; Rifuggiato, D.; Rovelll, A.; Sura, J.; Amato, A.; et al. Commissioning of the K800 INFN Cyclotron. In Proceedings of the 14th International Conference on Cyclotrons and their Applications (CYCLOTRONS 95), Faure, Cape Town, Africa, 8–13 October 1995; p. A02. [Google Scholar]
- Cappuzzello, F.; Cavallaro, M.; Agodi, C.; Bondì, M.; Carbone, D.; Cunsolo, A.; Foti, A. Heavy-ion double charge exchange reactions: A tool toward νββ nuclear matrix elements. Eur. Phys. J. A 2015, 51, 145. [Google Scholar] [CrossRef] [Green Version]
- Cappuzzello, F.; Agodi, C.; Cavallaro, M.; Carbone, D.; Tudisco, S.; Presti, D.L.; Oliveira, J.R.B.; Finocchiaro, P.; Colonna, M.; Rifuggiato, D.; et al. The NUMEN project: NUclear Matrix Elements for Neutrinoless double beta decay. Eur. Phys. J. A 2018, 54, 72. [Google Scholar] [CrossRef] [Green Version]
- Calanna, A.; Calabretta, L.; Rifuggiato, D.; Cuttone, G.; D’Agostino, G.; Russo, A.D.; Radovinsky, A. Proposal to Increase the Extracted Beam Power from the LNS-INFN Superconducting Cyclotron. In Proceedings of the of HIAT2015, Yokohama, Japan, 7–11 September 2015. [Google Scholar]
- Calabretta, L.; Calanna, A.; Cuttone, G.; D’Agostino, G.; Rifuggiato, D.; Russo, A.D. Upgrade of the LNS Superconducting Cyclotron for Beam Power Higher than 2–5 kW. In Proceedings of the Cyclotrons2016, Zurich, Switzerland, 11–16 September 2016. [Google Scholar]
- Calanna, A. High-intensity extraction from the Superconducting Cyclotron at LNS-INFN. Nuovo Cimento C Geophys. Space Phys. C 2017, 40, 101. [Google Scholar] [CrossRef]
- Gallo, G.; Costa, G.; Allegra, L.; Calabretta, L.; Messina, G.; Musumeci, M.; Rifuggiato, D.; Zappalà, E. Mechanical modifications of the median plane for the Superconducting Cyclotron Upgrade. In Proceedings of the International Conference on Cyclotrons and their applications: CYC2019, Cape Town, Africa, 22–27 September 2019. [Google Scholar]
- Caruso, A. The RF System of the K-800 Superconductiong Cyclotron at INFN-LNS. In Proceedings of the Indian Particle Accelerator Conference, VECC, Kolkata, India, 19–22 November 2013. [Google Scholar]
- Caruso, A.; Caruso, F.; Longhitano, A.; Spartà, A.; Primadei, G.; Sura, J. Hybrid Configuration, Solid State-Tube, Revamps an Obsolete Tube Amplifier for the INFN K-800 Superconducting Cyclotron. In Proceedings of the 21th International Conference on Cyclotrons and their Applications (Cyclotrons’16), Zurich, Switzerland, 11 – 16 September 2016; pp. 263–326. [Google Scholar]
- Gallo, G.; Allegra, L.; Costa, G.; Messina, E.; Zappala, E. Mechanical aspects of the LNS Superconducting Cyclotron upgrade. In Proceedings of the Cyclotrons 2016, Zurich, Switzerland, 11–16 September 2016. [Google Scholar]
- Livingood, J.J. Principles of Cyclic Particle Accelerators; Van Nostrand Reinhold Inc.: Princeton, NJ, USA, 1961. [Google Scholar]
- Afzalan, V.; Afarideh, H.; Azizi, R.; Ghergherehchi, M.; Chai, J.S. Design and Simulation of Cavity for 10 MeV Compact Cyclotron. In Proceedings of the 20th Int. Conf. on Cyclotrons and their Applications (Cyclotrons13), Vancouver, BC, Canada, 16–20 September 2013. [Google Scholar]
- Mohamadian, M.; Afarideh, H.; Ghergherehchi, M.; Sabounchi, S.; Salehi, M. Equivalent Circuit Model of Cyclotron RF System. In Proceedings of the of Cyclotrons 2016, Zurich, Switzerland, 11–16 September 2016. [Google Scholar]
- Mohamadian, M.; Afarideh, H.; Ghergherehchi, M. Accurate Electromagnetic Simulation and Design of Cyclotron Cavity. IEEE Trans. Nucl. Sci. 2017, 64, 809–815. [Google Scholar] [CrossRef]
- Mitra, A.; Bylinski, Y.; Mehboob, N.; Poirier, R.; Zvyagintsev, V. Simulation of RF structure of TRIUMF cyclotron with HFSS. In Cyclotrons and Their Applications 2004, Proceedings of the Seventeenth International Conference, Tokyo, Japan, 18–22 October 2005; World Scientific: Singapore, 2004. [Google Scholar]
- Som, S.; Seth, S.; Mandal, A.; Paul, S.; Duttagupta, A. Radio frequency cavity analysis, measurement, and calibration of absolute Dee voltage for K-500 superconducting cyclotron at VECC, Kolkata. Rev. Sci. Instrum. 2013, 84, 023303. [Google Scholar] [CrossRef] [PubMed]
- Lee, J.; Ghergherehchi, M.; wook Shin, S.; Kim, H.; Ha, D.; Namgoong, H.; Song, H.S.; Chai, J.S. Design of 83.2 MHz RF cavity for SKKUCY-10 cyclotron. Nucl. Instrum. Methods Phys. Res. Sect. A Accel. Spectrom. Detect. Assoc. Equip. 2019, 939, 66–73. [Google Scholar] [CrossRef]
- RF Module Users Guide; COMSOL 5.4; COMSOL AB: Stockholm, Sweden, 2018; p. 121.
- CST-Computer Simulation Technology 2021; Dassault Systemes: Veelizy-Villacoublay, France, 2021.
- Pagani, C.; Alessandria, F.; Varisco, G.; Venturini, V. RF System Design of the Milan Superconducting Cyclotron. In Proceedings of the 9th International Conference on Cyclotrons and their Applications, Caen, France, 7–10 September 1981; p. EP14. [Google Scholar]
- Pagani, C. RF System of the Milan K800 Cyclotron. In Proceedings of the 10th International Conference on Cyclotrons and their Applications, East Lansing, MI, USA, 30 April–3 May 1984; p. H03. [Google Scholar]
- Ji, B.; Yin, Z.; Zhang, T.; Xing, J.; Zhao, Z.; Lin, J.; Zheng, X.; Li, P.; Liu, G.; Wang, Z.; et al. Design and Primary Test of full scale Cavity of CYCIAE-100. In Proceedings of the Cyclotrons 2010, Lanzhou, China, 6–10 September 2010. [Google Scholar]
- Shi, J.; Chen, H.; Zheng, S.; Li, D.; Rimmer, R.; Wang, H. Comparison of Measured and Calculated Coupling between a Waveguide and an RF Cavity Using CST Microwave Studio. Conf. Proc. C 2006, 060626, 1328–1330. [Google Scholar]
- Ripperda, B.; Bacchini, F.; Teunissen, J.; Xia, C.; Porth, O.; Sironi, L.; Lapenta, G.; Keppens, R. A Comprehensive Comparison of Relativistic Particle Integrators. Astrophys. J. Suppl. Ser. 2018, 235, 21. [Google Scholar] [CrossRef] [Green Version]
Publisher’s Note: MDPI stays neutral with regard to jurisdictional claims in published maps and institutional affiliations. |
© 2021 by the authors. Licensee MDPI, Basel, Switzerland. This article is an open access article distributed under the terms and conditions of the Creative Commons Attribution (CC BY) license (https://creativecommons.org/licenses/by/4.0/).