Using Machine Learning to Predict Indoor Acoustic Indicators of Multi-Functional Activity Centers
Abstract
1. Introduction
2. Data Collection
2.1. Research Objects and Target Acoustic Indicators
2.2. Compatibility of the Field Measurement and Simulations
2.3. Data Generation
2.3.1. Building the 3D Models
2.3.2. Sound-Absorbing Material Setting
3. Machine Learning
3.1. Data Processing
3.2. Model of Machine Learning
- SVM was developed based on statistical learning frameworks [28], which could be used for both classification (SVC) and regression (SVR). The risk of overfitting is lower in SVM models. SVM models have good generalization ability in practice but are not suitable for large datasets because of the relatively long training time [29].
- RF was proposed by Breiman in 2001 [30] as an algorithm that belongs to ensemble learning. The concept of ensemble learning is that it combines multiple learners to produce more accurate results than a single learner [31]. RF uses the decision tree as the basic learner and adds randomly allocated training data to improve model performance.
- ANN is inspired by the biological neural network [34]. It is a dense network of many neurons (operation units) connected to each other that can be simply divided into an input layer, hidden layer, and output layer. The purpose of the neural network is to find the appropriate weights and biases to minimize the value of the loss function. It is robust against irrelevant noise, but its performance is sensitive to the chosen hyperparameter values [29].
3.3. Performance Evaluation
3.4. Dataset for Machine Learning
4. Results and Discussions
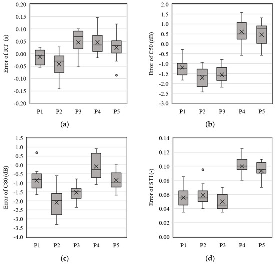
4.1. Compatibility of the Field Measurement and Simulations
4.2. Construction of the ML Model
4.2.1. Data Observation
4.2.2. Tuning the Hyperparameters
4.2.3. Data Processing for Absorption Coefficients
4.3. Machine Learning Model Results
4.3.1. Model Settings and Performance
4.3.2. Comparison with Traditional Estimation Formulas
5. Conclusions
- Data processing of sound absorption coefficientsIn terms of the performance of the model, with the exception of SVM, the differences in the results of the actual and leveled sound absorption coefficients are quite small. Substituting the leveled sound absorption coefficient for the actual sound absorption coefficient is a feasible, flexible, and convenient option.
- Correlation analysis and feature selection of MLIn this study, spatial geometric properties are highly correlated with acoustic indicators. Surprisingly, the correlation between the equivalent sound absorption area and acoustic indicators is low. However, in the ML model, deleting the less relevant parameters does not have good performance.In ML, various parameters may interact with each other and then affect the final prediction. Therefore, when adjusting the input features of the model, more detailed comparisons and judgments are required. In addition, the input combination of features can also be explored through methods such as sequential feature algorithms, which are used for dimensionality reduction.
- Results of the machine learning predictive modelsExcept for the reverberation time, the ANN model exhibited the best performance. The absolute error of the SPL distribution difference fell mostly within ±0.5 dB, while the JND of C50, C80, and STI were all within ±1.In terms of the reverberation time, the GBDT model performed the best. It is also comparable to the traditional estimation formula commonly used in the past. We found that the predictive ability of the GBDT model is much higher than the traditional formula, is convenient in practical applications, and can be quickly and effectively evaluated in the architectural design stage.
Author Contributions
Funding
Data Availability Statement
Conflicts of Interest
Appendix A
| Description | Code | Range | Unit | |
|---|---|---|---|---|
| Acoustic indicator | RT at 500 Hz | T30_at_500 | 0.68–9.62 | s |
| Logarithmic value of RT at 500 Hz | T30_at_500_log | −0.39–2.26 | - | |
| C50 at 500 Hz | C50_at_500 | −13.3–9 | dB | |
| C80 at 500 Hz | C80_at_500 | −10.6–12.3 | dB | |
| C80 at 1000 Hz | C80_at_1000 | −9.1–11.8 | dB | |
| STI | STI | 0.21–0.75 | - | |
| SPL difference | SPL_differ | −4.6–6.2 | dB | |
| Geometry information | Receiver point | position | 1, 2, 3, …, 9 | - |
| Width of the space | x | 12.4–33.5 | m | |
| Length of the space | y | 9.9–73.7 | m | |
| Height of the space | z | 4–14.8 | m | |
| Area of the space | area | 122.76–2468.95 | m2 | |
| Volume of the space | volume | 584.88–39,310.04 | m3 | |
| Stage depth | stage_depth | 3–9.9 | m | |
| Stage height from the floor | stage_floor | 0–1.5 | m | |
| Stage height | stage_height | 3.4–12.8 | m | |
| Stage width | stage_width | 7.3–30.1 | m | |
| Sound absorption coefficient | Sound absorption coefficient of ceiling material A | ceil_a | 0.01–1.00 | - |
| Sound absorption coefficient of ceiling material B | ceil_o | 0.01–1.00 | - | |
| Sound absorption coefficient of wall material A | wall_a | 0.01–1.00 | - | |
| Sound absorption coefficient of wall material B | wall_o | 0.01–1.00 | - | |
| Placement of ceiling | Placement type of ceiling | ceiling_type | 0, 1, 2, 3, 4, 5 | - |
| Area occupied by material A of ceiling | ceiling_a_area | 0–2075.7 | m2 | |
| Area occupied by material B of ceiling | ceiling_o_area | 0–2067.724 | m2 | |
| The distance of material B from the stage | ceiling_moving | 0–30.787 | m | |
| Strip number of material B | ceiling_num | 1–10 | - | |
| Placement of wall | Placement type of wall | wall_type | 0, 1, 2, 3, 4, 5 | - |
| Area occupied by material A of back wall | backwall_a_area | 0–484.43 | m2 | |
| Area occupied by material B of back wall | backwall_o_area | 0–478.28 | m2 | |
| Area occupied by material A of side wall | sidewall_a_area | 0–922.45 | m2 | |
| Area occupied by material B of side wall | sidewall_o_area | 0–910.46 | m2 | |
| The distance of back wall material B from the edge | backwall_moving | 0–14.60 | m | |
| The distance of side wall material B from the stage | sidewall_moving | 0–25.22 | m | |
| Strip number of material B | wall_num | 1–10 | - | |
| Equivalent sound absorption area | Equivalent sound absorption area of ceiling material A | ceiling_a_eq | 0–1668.033 | m2 |
| Equivalent sound absorption area of ceiling material B | ceiling_o_eq | 0–2026.369 | m2 | |
| Equivalent sound absorption area of wall material A | wall_a_eq | 0–2140.538 | m2 | |
| Equivalent sound absorption area of wall material B | wall_o_eq | 0–2164.371 | m2 |
References
- Kaarlela-Tuomaala, A.; Helenius, R.; Keskinen, E.; Hongisto, V. Effects of Acoustic Environment on Work in Private Office Rooms and Open-Plan Offices—Longitudinal Study during Relocation. Ergonomics 2009, 52, 1423–1444. [Google Scholar] [CrossRef]
- Passero, C.R.M.; Zannin, P.H.T. Acoustic Evaluation and Adjustment of an Open-Plan Office through Architectural Design and Noise Control. Appl. Ergon. 2012, 43, 1066–1071. [Google Scholar] [CrossRef]
- Xiao, J.; Aletta, F. A Soundscape Approach to Exploring Design Strategies for Acoustic Comfort in Modern Public Libraries: A Case Study of the Library of Birmingham. Noise Mapp. 2016, 3, 264–273. [Google Scholar] [CrossRef]
- Yun, J.-H.; Ju, D.-H.; Kim, J.-S. Evaluation on Architectural Acoustic Performance of Small-Scaled Multipurpose Hall for Improvement of Acoustic Performance. In Proceedings of the Korean Society for Noise and Vibration Engineering Conference, Gyeongju, Korea, 15–16 November 2007; The Korean Society for Noise and Vibration Engineering: Seoul, Korea; pp. 226–230. [Google Scholar]
- Cairoli, M. Architectural Customized Design for Variable Acoustics in a Multipurpose Auditorium. Appl. Acoust. 2018, 140, 167–177. [Google Scholar] [CrossRef]
- Gordon, D. Multipurpose Spaces; National Clearinghouse for Educational Facilities: Washington, DC, USA, 2010. [Google Scholar]
- Sabine, W.C. Collected Papers on Acoustics; Harvard University Press: Cambridge, MA, USA, 1922. [Google Scholar]
- Eyring, C.F. Reverberation Time in “Dead” Rooms. J. Acoust. Soc. Am. 1930, 1, 168. [Google Scholar] [CrossRef]
- Arau-Puchades, H. An Improved Reverberation Formula. Acta Acust. United Acust. 1988, 65, 163–180. [Google Scholar]
- Schroeder, M.R.; Gerlach, R. Diffusion, Room Shape and Absorber Location—Influence on Reverberation Time. J. Acoust. Soc. Am. 1974, 56, 1300. [Google Scholar] [CrossRef]
- Zhou, X.; Späh, M.; Hengst, K.; Zhang, T. Predicting the Reverberation Time in Rectangular Rooms with Non-Uniform Absorption Distribution. Appl. Acoust. 2021, 171, 107539. [Google Scholar] [CrossRef]
- Beranek, L.L. Analysis of Sabine and Eyring Equations and Their Application to Concert Hall Audience and Chair Absorption. J. Acoust. Soc. Am. 2006, 120, 1399–1410. [Google Scholar] [CrossRef]
- Yalçın, O.G. Introduction to Machine Learning. In Applied Neural Networks with TensorFlow 2: API Oriented Deep Learning with Python; Apress: Berkeley, CA, USA, 2021; pp. 33–55. ISBN 978-1-4842-6513-0. [Google Scholar]
- Dey, A. Machine Learning Algorithms: A Review. Int. J. Comput. Sci. Inf. Technol. 2016, 7, 1174–1179. [Google Scholar]
- Soni, J.; Ansari, U.; Sharma, D.; Soni, S. Predictive Data Mining for Medical Diagnosis: An Overview of Heart Disease Prediction. Int. J. Comput. Appl. 2011, 17, 43–48. [Google Scholar] [CrossRef]
- Patel, J.; Shah, S.; Thakkar, P.; Kotecha, K. Predicting Stock and Stock Price Index Movement Using Trend Deterministic Data Preparation and Machine Learning Techniques. Expert Syst. Appl. 2015, 42, 259–268. [Google Scholar] [CrossRef]
- Ciregan, D.; Meier, U.; Schmidhuber, J. Multi-Column Deep Neural Networks for Image Classification. In Proceedings of the IEEE Computer Society Conference on Computer Vision and Pattern Recognition, Providence, RI, USA, 16–21 June 2012; pp. 3642–3649. [Google Scholar]
- Hinton, G.; Deng, L.; Yu, D.; Dahl, G.; Mohamed, A.R.; Jaitly, N.; Senior, A.; Vanhoucke, V.; Nguyen, P.; Sainath, T.; et al. Deep Neural Networks for Acoustic Modeling in Speech Recognition: The Shared Views of Four Research Groups. IEEE Signal Process. Mag. 2012, 29, 82–97. [Google Scholar] [CrossRef]
- Freitag, D. Information Extraction from HTML: Application of a General Machine Learning Approach. In AAAI-98 Proceedings; American Association for Artificial Intelligence: Palo Alto, CA, USA, 1998; pp. 517–523. [Google Scholar]
- Nannariello, J.; Fricke, F. The Prediction of Reverberation Time Using Neural Network Analysis. Appl. Acoust. 1999, 58, 305–325. [Google Scholar] [CrossRef]
- Falcon Perez, R. Machine-Learning-Based Estimation of Room Acoustic Parameters. Master’s Thesis, Aalto University, Espoo, Finland, 2018. [Google Scholar]
- ISO 3382-1:2009 Acoustics—Measurement of Room Acoustic Parameters—Part 1: Performance Spaces; International Organization for Standardization: Geneva, Switzerland, 2009.
- Vorländer, M. Auralization: Fundamentals of Acoustics, Modelling, Simulation, Algorithms and Acoustic Virtual Reality; Springer: Berlin/Heidelberg, Germany, 2008; ISBN 978-3-540-48829-3. [Google Scholar]
- ODEON Room Acoustics Software User’s Manual; Version 14; Odeon A/S: Lyngby, Denmark, 2018.
- Sola, J.; Sevilla, J. Importance of Input Data Normalization for the Application of Neural Networks to Complex Industrial Problems. IEEE Trans. Nucl. Sci. 1997, 44, 1464–1468. [Google Scholar] [CrossRef]
- Aksu, G.; Güzeller, C.O.; Eser, M.T. The Effect of the Normalization Method Used in Different Sample Sizes on the Success of Artificial Neural Network Model. Int. J. Assess. Tools Educ. 2019, 6, 170–192. [Google Scholar] [CrossRef]
- Jayalakshmi, T.; Santhakumaran, A. Statistical Normalization and Back Propagation for Classification. Int. J. Comput. Theory Eng. 2011, 3, 1793–8201. [Google Scholar]
- Cortes, C.; Vapnik, V. Support-Vector Networks. Mach. Learn. 1995, 20, 273–297. [Google Scholar] [CrossRef]
- Singh, A.; Thakur, N.; Sharma, A. A Review of Supervised Machine Learning Algorithms. In Proceedings of the 2016 3rd International Conference on Computing for Sustainable Global Development (INDIACom), New Delhi, India, 16–18 March 2016; pp. 1310–1315. [Google Scholar]
- Breiman, L. Random Forests. Mach. Learn. 2001, 45, 5–32. [Google Scholar] [CrossRef]
- Kuncheva, L.I.; Bezdek, J.C.; Duin, R.P.W. Decision Templates for Multiple Classifier Fusion: An Experimental Comparison. Pattern Recognit. 2001, 34, 299–314. [Google Scholar] [CrossRef]
- Breiman, L. Arcing the Edge; Technical Report 486; Statistics Department, University of California: Berkeley, CA, USA, 1997; Volume 7. [Google Scholar]
- Friedman, J.H. Greedy Function Approximation: A Gradient Boosting Machine. Ann. Stat. 2001, 29, 1189–1232. [Google Scholar] [CrossRef]
- Bishop, C.M. Pattern Recognition and Machine Learning (Information Science and Statistics); Springer: Berlin/Heidelberg, Germany, 2006; ISBN 0387310738. [Google Scholar]
- Tseng, P.C. A Study on Sound Absorption Performance of Expanded Metal Mesh with Folding Structure. Master’s Thesis, National Cheng Kung University, Tainan, Taiwan, 2020. (In Chinese). [Google Scholar]
- Luo, G. A Review of Automatic Selection Methods for Machine Learning Algorithms and Hyper-Parameter Values. Netw. Modeling Anal. Health Inform. Bioinform. 2016, 5, 1–16. [Google Scholar] [CrossRef]























| Indicator | Definition | Subj. Threshold | Target Octave Band |
|---|---|---|---|
| RT (s) | The time it takes for sound to decay by 60 dB. | Rel. 5% | 500 Hz |
| SPL difference (dB) | The difference between the SPL of each point and the average value. | – | – |
| C50 (dB) | 1 dB | 500 Hz | |
| C80 (dB) | 1 dB | 500 & 1000 Hz |
| Range | Unit | |
|---|---|---|
| Area | 120–2500 | m2 |
| Aspect ratio | 0.75–2.25 | – |
| Height | 4–15 | m |
| Stage depth | 3–10 | m |
| Stage height | 3–h 1 | m |
| Stage width | 0.5w–w 2 | m |
| Stage height from the floor | 0–1.5 | m |
| Placement Type | Area Occupied by Material A | Area Occupied by Material B | The Distance of Material B from Edge | Strip Number of Material B |
|---|---|---|---|---|
| 0 | Area_A | Area_B | 0 | 1 |
| 1 | Area_A | Area_B | 0 | 1 |
| 2 | Area_A | Area_B | x | 1 |
| 3 | Area_A | Area_B | x | 1 |
| 4 | Area_A | Area_B | 0 | n |
| 5 | Area_A | Area_B | 0 | n |
| Material | Absorption Coefficient, Frequency Bands (Hz) | |||||||
|---|---|---|---|---|---|---|---|---|
| 63.5 | 125 | 250 | 500 | 1000 | 2000 | 4000 | 8000 | |
| Smooth concrete [24] | 0.01 | 0.01 | 0.01 | 0.01 | 0.02 | 0.02 | 0.02 | 0.02 |
| Wooden lining [23] | 0.27 | 0.28 | 0.23 | 0.22 | 0.15 | 0.10 | 0.07 | 0.06 |
| Chipboard with wide grooves [24] | 0.22 | 0.22 | 0.72 | 0.53 | 0.42 | 0.62 | 0.55 | 0.55 |
| 25 mm thick wood-wool from ceiling 200 mm [23] | 0.48 | 0.48 | 0.49 | 0.70 | 0.78 | 0.94 | 0.93 | 0.93 |
| 100 mm thick wood-wool from ceiling 200 mm [24] | 0.49 | 0.49 | 0.64 | 0.89 | 0.98 | 0.99 | 0.96 | 0.96 |
| Material | Absorption Coefficient, Frequency Bands (Hz) | |||||||
|---|---|---|---|---|---|---|---|---|
| 63.5 | 125 | 250 | 500 | 1000 | 2000 | 4000 | 8000 | |
| Smooth concrete [24] | 0.01 | 0.01 | 0.01 | 0.01 | 0.02 | 0.02 | 0.02 | 0.02 |
| Carpet bonded to closed-cell foam underlay [24] | 0.03 | 0.03 | 0.09 | 0.25 | 0.31 | 0.33 | 0.44 | 0.44 |
| Acoustic plaster [24] | 0.15 | 0.15 | 0.25 | 0.40 | 0.55 | 0.60 | 0.60 | 0.60 |
| Slotted gypsum board [24] | 0.20 | 0.20 | 0.22 | 0.71 | 0.99 | 0.55 | 0.42 | 0.42 |
| Gypsum board, perforation 19.6% [23] | 0.30 | 0.30 | 0.69 | 1.00 | 0.81 | 0.66 | 0.62 | 0.62 |
| Library | Version | Description |
|---|---|---|
| Jupyter notebook | 6.0.3 | Web-based execution environment |
| Numpy | 1.18.1 | Dimensional array processing and mathematical operations |
| Pandas | 1.0.1 | Data tabulation and numerical processing |
| Matplotlib | 3.2.1 | Data visualization and graphics drawing |
| Seaborn | 0.10.0 | Data visualization and graphics drawing |
| Scikit-learn | 0.22.2.post1 | Machine learning model construction |
| Tensorflow | 2.0.0b1 | Machine learning model construction |
| Material | Absorption Coefficient, Frequency Bands (Hz) | |||||||
|---|---|---|---|---|---|---|---|---|
| 63.5 | 125 | 250 | 500 | 1000 | 2000 | 4000 | 8000 | |
| Floor | 0.022 (+0.002) 1 | 0.017 (−0.003) | 0.024 (−0.006) | 0.036 (+0.006) | 0.036 (+0.006) | 0.024 (−0.006) | 0.016 (−0.004) | 0.016 (−0.004) |
| Concrete wall | 0.010 (0.000) | 0.011 (+0.001) | 0.008 (−0.002) | 0.012 (+0.002) | 0.016 (−0.004) | 0.016 (−0.004) | 0.016 (−0.004) | 0.016 (−0.004) |
| Curtain | 0.058 (−0.012) | 0.082 (+0.012) | 0.248 (−0.062) | 0.583 (−0.037) | 0.702 (−0.048) | 0.640 (−0.060) | 0.520 (−0.080) | 0.520 (−0.080) |
| Window | 0.216 (+0.036) | 0.215 (+0.035) | 0.048 (−0.012) | 0.032 (−0.008) | 0.026 (−0.004) | 0.016 (−0.004) | 0.016 (−0.004) | 0.016 (−0.004) |
| Door | 0.305 (+0.025) | 0.234 (−0.046) | 0.176 (−0.044) | 0.136 (−0.034) | 0.073 (−0.017) | 0.081 (−0.019) | 0.088 (−0.022) | 0.088 (−0.022) |
| Mineral fiber ceiling | 0.334 (−0.066) | 0.338 (−0.062) | 0.328 (−0.082) | 0.499 (−0.001) | 0.632 (+0.092) | 0.583 (−0.067) | 0.604 (−0.066) | 0.604 (−0.066) |
| Expanded metal mesh with folding structure | 0.680 | 0.680 | 0.790 | 0.660 | 0.800 | 0.870 | 0.840 | 0.840 |
| RT at 500 Hz | C50 at 500 Hz | C80 at 1000 Hz | STI | |
|---|---|---|---|---|
| RMSE | 0.059 | 1.356 | 0.988 | 0.075 |
| SVM | RF | GBDT | ANN | ||||||
|---|---|---|---|---|---|---|---|---|---|
| Actual | Level | Actual | Level | Actual | Level | Actual | Level | ||
| RMSE | SPL difference | 1.5377 | 1.6254 | 0.4082 | 0.4080 | 0.3531 | 0.3558 | 0.2522 | 0.2564 |
| RT at 500 Hz | 0.1517 | 0.1368 | 0.1251 | 0.1250 | 0.1131 | 0.1133 | 0.1233 | 0.1239 | |
| C50 at 500 Hz | 0.9133 | 0.8994 | 0.8430 | 0.8428 | 0.4562 | 0.4551 | 0.3522 | 0.3581 | |
| C80 at 500 Hz | 0.7812 | 0.7470 | 0.7673 | 0.7673 | 0.4358 | 0.4331 | 0.3244 | 0.3229 | |
| C80 at 1000 Hz | 0.8735 | 0.7787 | 0.7511 | 0.7552 | 0.4755 | 0.4737 | 0.3518 | 0.3556 | |
| STI | 0.0641 | 0.0630 | 0.0199 | 0.0199 | 0.0110 | 0.0110 | 0.0091 | 0.0089 | |
| R2 | SPL difference | 0.4511 | 0.3937 | 0.9612 | 0.9612 | 0.9708 | 0.9703 | 0.9852 | 0.9848 |
| RT at 500 Hz | 0.9859 | 0.9890 | 0.9906 | 0.9906 | 0.9920 | 0.9920 | 0.9905 | 0.9904 | |
| C50 at 500 Hz | 0.9262 | 0.9281 | 0.9382 | 0.9382 | 0.9818 | 0.9819 | 0.9890 | 0.9888 | |
| C80 at 500 Hz | 0.9531 | 0.9571 | 0.9553 | 0.9553 | 0.9856 | 0.9858 | 0.9920 | 0.9921 | |
| C80 at 1000 Hz | 0.9378 | 0.9503 | 0.9541 | 0.9536 | 0.9816 | 0.9817 | 0.9899 | 0.9897 | |
| STI | 0.6486 | 0.7138 | 0.9575 | 0.9575 | 0.9872 | 0.9872 | 0.9912 | 0.9848 | |
| Hyperparameter | |
|---|---|
| SVM | C = 1000 gamma = 0.01 |
| RF | n_estimators = 100 min_samples_leaf = 3 |
| GBDT | n_estimators = 500 max_depth = 5 |
| ANN | Neurons = [400, 400, 400] Optimizer (lr) = Adam (0.0005) Batch size = 60 |
| Sabin’s Equation | Eyring’s Equation | Arau-Puchades’s Equation | GBDT Model | |
|---|---|---|---|---|
| RMSE | 0.739 | 0.913 | 0.775 | 0.022 |
Publisher’s Note: MDPI stays neutral with regard to jurisdictional claims in published maps and institutional affiliations. |
© 2021 by the authors. Licensee MDPI, Basel, Switzerland. This article is an open access article distributed under the terms and conditions of the Creative Commons Attribution (CC BY) license (https://creativecommons.org/licenses/by/4.0/).
Share and Cite
Yeh, C.-Y.; Tsay, Y.-S. Using Machine Learning to Predict Indoor Acoustic Indicators of Multi-Functional Activity Centers. Appl. Sci. 2021, 11, 5641. https://doi.org/10.3390/app11125641
Yeh C-Y, Tsay Y-S. Using Machine Learning to Predict Indoor Acoustic Indicators of Multi-Functional Activity Centers. Applied Sciences. 2021; 11(12):5641. https://doi.org/10.3390/app11125641
Chicago/Turabian StyleYeh, Chiu-Yu, and Yaw-Shyan Tsay. 2021. "Using Machine Learning to Predict Indoor Acoustic Indicators of Multi-Functional Activity Centers" Applied Sciences 11, no. 12: 5641. https://doi.org/10.3390/app11125641
APA StyleYeh, C.-Y., & Tsay, Y.-S. (2021). Using Machine Learning to Predict Indoor Acoustic Indicators of Multi-Functional Activity Centers. Applied Sciences, 11(12), 5641. https://doi.org/10.3390/app11125641

