A Novel Maneuver-Based Driving Envelope Generation Approach for Driving Safety Assessment
Abstract
1. Introduction
2. The Motion Constraints
2.1. The Constraint of Vehicle Kinematic
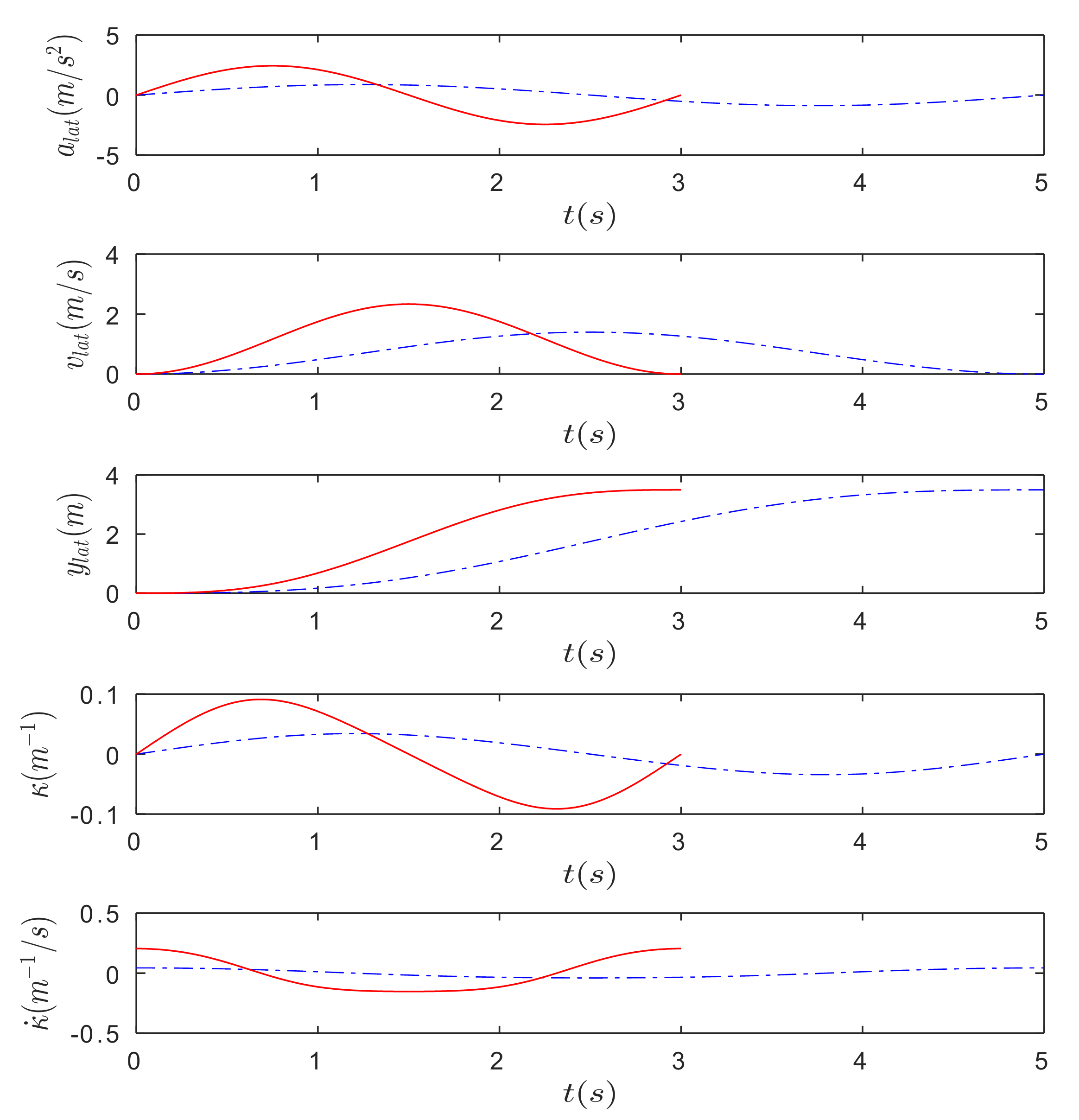
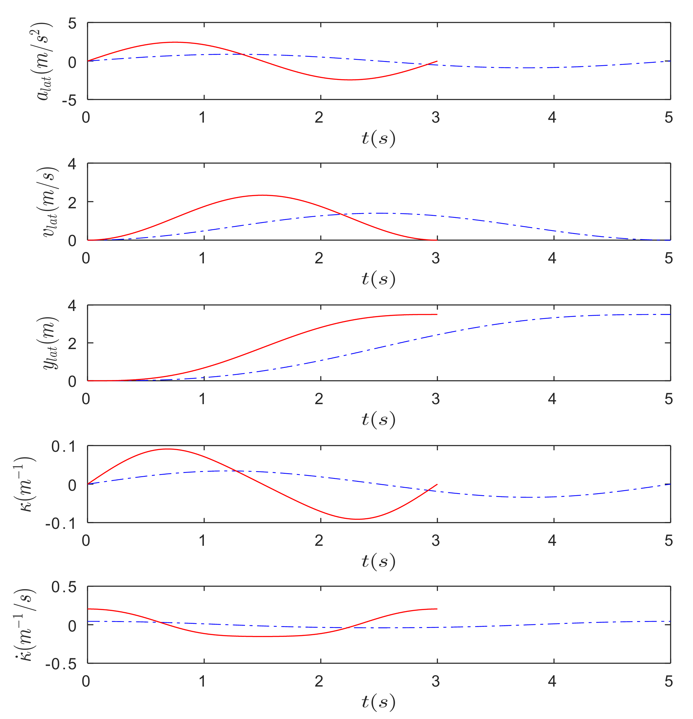
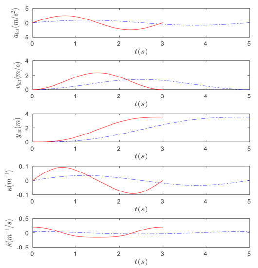
2.2. The Evasive Motion Model
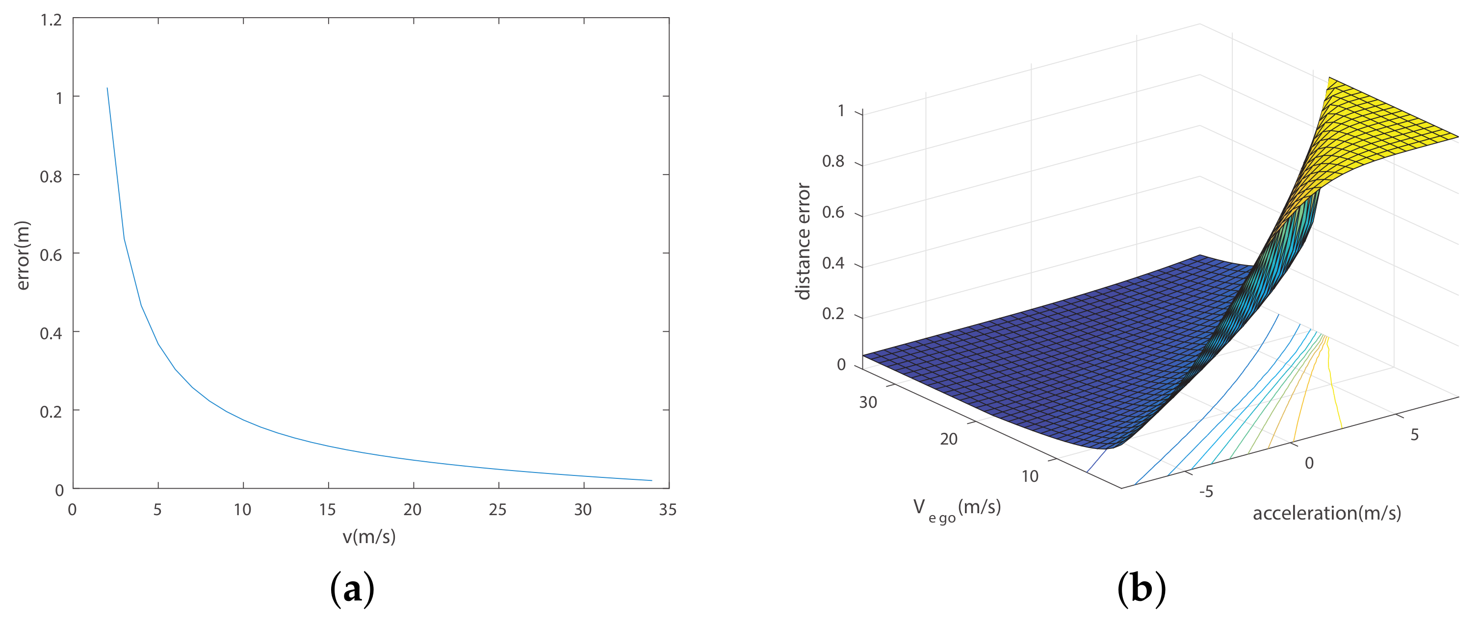
2.3. The Constraint of Collision Avoidance with Obstacle
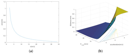
2.3.1. The Case of Lane-Keep Maneuver
2.3.2. The Case of Evasive Maneuver for Static Obstacle
2.3.3. The Case of Lane-Change Maneuver
2.3.4. The Case of Lane-Change Abortion
3. The Driving Envelope for Candidate Driving Maneuvers
3.1. The Reachable-Set Considering Driver’s Input
3.2. The Driving Envelope with Road Constraint and Steering Limitation
3.3. The Driving Envelope Considering Collision Avoidance with Obstacles
4. The Applications of the Driving Envelope
4.1. Intervention Time
4.2. Motion Planning
5. Experiments
6. Conclusions
Author Contributions
Funding
Data Availability Statement
Conflicts of Interest
References
- Chen, N.; van Arem, B.; Alkim, T.; Wang, M. A hierarchical model-based optimization control approach for cooperative merging by connected automated vehicles. IEEE Trans. Intell. Transp. Syst. 2020, 1–14. [Google Scholar] [CrossRef]
- Das, S.; Maurya, A.K. Defining Time-to-Collision Thresholds by the Type of Lead Vehicle in Non-Lane-Based Traffic Environments. IEEE Trans. Intell. Transp. Syst. 2020, 21, 4972–4982. [Google Scholar] [CrossRef]
- Hillenbrand, J.; Spieker, A.; Kroschel, K. A Multilevel Collision Mitigation Approach—Its Situation Assessment, Decision Making, and Performance Tradeoffs. Intell. Transp. Syst. IEEE Trans. 2007, 7, 528–540. [Google Scholar] [CrossRef]
- Keller, C.G.; Dang, T.; Fritz, H.; Joos, A.; Rabe, C.; Gavrila, D.M. Active Pedestrian Safety by Automatic Braking and Evasive Steering. IEEE Trans. Intell. Transp. Syst. 2011, 12, 1292–1304. [Google Scholar] [CrossRef]
- Jansson, J. Collision Avoidance Theory with Application to Automotive Collision Mitigation. Ph.D. Thesis, Linköping University Electronic Press, Linköping, Sweden, 2005. [Google Scholar]
- Nilsson, J.; Ödblom, A.C.; Fredriksson, J. Worst-case analysis of automotive collision avoidance systems. IEEE Trans. Veh. Technol. 2016, 65, 1899–1911. [Google Scholar] [CrossRef]
- Brunson, S.; Kyle, E.; Phamdo, N.; Preziotti, G. Alert Algorithm Development Program: NHTSA Rear-End Collision Alert Algorithm; Technical Report; U.S. National Highway Traffic Safety Administration: Washington, DC, USA, 2002. [Google Scholar]
- Noh, S.; Han, W.Y. Collision avoidance in on-road environment for autonomous driving. In Proceedings of the 2014 14th International Conference on Control, Automation and Systems (ICCAS 2014), Gyeonggi-do, Korea, 22–25 October 2014; pp. 884–889. [Google Scholar]
- Jula, H.; Kosmatopoulos, E.B.; Ioannou, P.A. Collision avoidance analysis for lane changing and merging. IEEE Trans. Veh. Technol. 2000, 49, 2295–2308. [Google Scholar] [CrossRef]
- Kaempchen, N.; Schiele, B.; Dietmayer, K. Situation Assessment of an Autonomous Emergency Brake for Arbitrary Vehicle-to-Vehicle Collision Scenarios. IEEE Trans. Intell. Transp. Syst. 2009, 10, 678–687. [Google Scholar] [CrossRef]
- Brannstrom, M.; Coelingh, E.; Sjoberg, J. Threat assessment for avoiding collisions with turning vehicles. In Proceedings of the 2009 IEEE Intelligent Vehicles Symposium, Xi’an, China, 3–5 June 2009. [Google Scholar]
- Li, X.; Sun, Z.; Cao, D.; He, Z.; Zhu, Q. Real-time trajectory planning for autonomous urban driving: Framework, algorithms, and verifications. IEEE/ASME Trans. Mechatron. 2015, 21, 740–753. [Google Scholar] [CrossRef]
- Bencloucif, A.M.; Nguyen, A.T.; Sentouh, C.; Popieul, J.C. Cooperative Trajectory Planning for Haptic Shared Control between Driver and Automation in Highway Driving. IEEE Trans. Ind. Electron. 2019. [Google Scholar] [CrossRef]
- Li, J.; Li, C.; Sun, Z.; Liu, D.; Dai, B.; Li, X. A Real-time Motion Planner for Intelligent Vehicles Based on a Fast SSTG Method. In Proceedings of the 2018 37th Chinese Control Conference (CCC), Wuhan, China, 25–27 July 2018; pp. 5509–5513. [Google Scholar]
- Kim, B.; Park, K.; Yi, K. Probabilistic Threat Assessment with Environment Description and Rule-based Multi-Traffic Prediction for Integrated Risk Management System. IEEE Intell. Transp. Syst. Mag. 2017, 9, 8–22. [Google Scholar] [CrossRef]
- Erlien, S.M.; Fujita, S.; Gerdes, J.C. Shared steering control using safe envelopes for obstacle avoidance and vehicle stability. IEEE Trans. Intell. Transp. Syst. 2016, 17, 441–451. [Google Scholar] [CrossRef]
- Cesari, G.; Schildbach, G.; Carvalho, A.; Borrelli, F. Scenario model predictive control for lane change assistance and autonomous driving on highways. IEEE Intell. Transp. Syst. Mag. 2017, 9, 23–35. [Google Scholar] [CrossRef]
- Liu, K.; Gong, J.; Kurt, A.; Chen, H.; Ozguner, U. Dynamic Modeling and Control of High-Speed Automated Vehicles for Lane Change Maneuver. IEEE Trans. Intell. Veh. 2018, 3, 329–339. [Google Scholar] [CrossRef]
- Lee, J.; Kim, B.; Seo, J.; Yi, K.; Yoon, J.; Ko, B. Automated driving control in safe driving envelope based on probabilistic prediction of surrounding vehicle behaviors. SAE Int. J. Passeng. Cars-Electron. Electr. Syst. 2015, 8, 207–218. [Google Scholar] [CrossRef]
- Shin, D.; Kim, B.; Yi, K.; Carvalho, A.; Borrelli, F. Human-Centered Risk Assessment of an Automated Vehicle Using Vehicular Wireless Communication. IEEE Trans. Intell. Transp. Syst. 2018. [Google Scholar] [CrossRef]
- Fraichard, T.; Asama, H. Inevitable Collision States. A Step Towards Safer Robots? Adv. Robot. 2004, 18, 1001–1024. [Google Scholar] [CrossRef]
- Lawitzky, A.; Nicklas, A.; Wollherr, D.; Buss, M. Determining states of inevitable collision using reachability analysis. In Proceedings of the 2014 IEEE/RSJ International Conference on Intelligent Robots and Systems, Chicago, IL, USA, 14–18 September 2014; pp. 4142–4147. [Google Scholar]
- Sontges, S.; Althoff, M. Determining the Nonexistence of Evasive Trajectories for Collision Avoidance Systems. In Proceedings of the 2015 IEEE 18th International Conference on Intelligent Transportation Systems, Gran Canaria, Spain, 15–18 September 2015; pp. 956–961. [Google Scholar]
- Söntges, S.; Althoff, M. Computing the Drivable Area of Autonomous Road Vehicles in Dynamic Road Scenes. IEEE Trans. Intell. Transp. Syst. 2018, 19, 1855–1866. [Google Scholar] [CrossRef]
- Shia, V.A.; Gao, Y.; Vasudevan, R.; Campbell, K.D.; Lin, T.; Borrelli, F.; Bajcsy, R. Semiautonomous vehicular control using driver modeling. IEEE Trans. Intell. Transp. Syst. 2014, 15, 2696–2709. [Google Scholar] [CrossRef]
- Driggs-Campbell, K.; Govindarajan, V.; Bajcsy, R. Integrating Intuitive Driver Models in Autonomous Planning for Interactive Maneuvers. IEEE Trans. Intell. Transp. Syst. 2017, 18, 3461–3472. [Google Scholar] [CrossRef]
- Driggs-Campbell, K.; Dong, R.; Bajcsy, R. Robust, informative human-in-the-loop predictions via empirical reachable sets. IEEE Trans. Intell. Veh. 2018, 3, 300–309. [Google Scholar] [CrossRef]
- Noor-A-Rahim, M.; Liu, Z.; Lee, H.; Khyam, M.O.; He, J.; Pesch, D.; Moessner, K.; Saad, W.; Poor, H.V. 6G for Vehicle-to-Everything (V2X) Communications: Enabling Technologies, Challenges, and Opportunities. arXiv 2020, arXiv:2012.07753. [Google Scholar]
- Bagheri, H.; Liu, Z.; Lee, H.; Pesch, D.; Moessner, K.; Xiao, P. 5G NR-V2X: Towards connected and cooperative autonomous driving. arXiv 2020, arXiv:2009.03638. [Google Scholar]
- Ni, J.; Hu, J.; Xiang, C. Envelope control for four-wheel independently actuated autonomous ground vehicle through AFS/DYC integrated control. IEEE Trans. Veh. Technol. 2017, 66, 9712–9726. [Google Scholar] [CrossRef]
- Kritayakirana, K.; Gerdes, J.C. Autonomous vehicle control at the limits of handling. Int. J. Veh. Auton. Syst. 2012, 10, 271–296. [Google Scholar] [CrossRef]
- Brännström, M.; Sandblom, F.; Hammarstrand, L. A probabilistic framework for decision-making in collision avoidance systems. IEEE Trans. Intell. Transp. Syst. 2013, 14, 637–648. [Google Scholar] [CrossRef]
- Xu, G.; Liu, L.; Ou, Y.; Song, Z. Dynamic modeling of driver control strategy of lane-change behavior and trajectory planning for collision prediction. IEEE Trans. Intell. Transp. Syst. 2012, 13, 1138–1155. [Google Scholar] [CrossRef]
- Bertolazzi, E.; Biral, F.; Da Lio, M.; Saroldi, A.; Tango, F. Supporting drivers in keeping safe speed and safe distance: The SASPENCE subproject within the European framework programme 6 integrating project PReVENT. IEEE Trans. Intell. Transp. Syst. 2010, 11, 525–538. [Google Scholar] [CrossRef]
- Shalev-Shwartz, S.; Shammah, S.; Shashua, A. On a formal model of safe and scalable self-driving cars. arXiv 2017, arXiv:1708.06374. [Google Scholar]
- Jiang, B.; Li, X.; Zeng, Y.; Liu, D. A Maneuver Evaluation Algorithm for Lane-Change Assistance System. Electronics 2021, 3, 774. [Google Scholar] [CrossRef]
- Jo, K.; Lee, M.; Kim, J.; Sunwoo, M. Tracking and Behavior Reasoning of Moving Vehicles Based on Roadway Geometry Constraints. IEEE Trans. Intell. Transp. Syst. 2016, 18, 460–476. [Google Scholar] [CrossRef]
- Schubert, R.; Adam, C.; Obst, M.; Mattern, N.; Leonhardt, V.; Wanielik, G. Empirical evaluation of vehicular models for ego motion estimation. In Proceedings of the 2011 IEEE Intelligent Vehicles Symposium (IV), Baden-Baden, Germany, 5–9 June 2011; pp. 534–539. [Google Scholar]
- Houenou, A.; Bonnifait, P.; Cherfaoui, V.; Yao, W. Vehicle Trajectory Prediction based on Motion Model and Maneuver Recognition. In Proceedings of the 2013 IEEE/RSJ International Conference on Intelligent Robots and Systems, Tokyo, Japan, 3–7 November 2013; pp. 4363–4369. [Google Scholar]
- Glaser, S.; Vanholme, B.; Mammar, S.; Gruyer, D.; Nouvelière, L. Maneuver-Based Trajectory Planning for Highly Autonomous Vehicles on Real Road With Traffic and Driver Interaction. IEEE Trans. Intell. Transp. Syst. 2010, 11, 589–606. [Google Scholar] [CrossRef]
- Jiang, B.; Li, X.; Zeng, Y.; Liu, D. Human-Machine Cooperative Trajectory Planning for Semi-Autonomous Driving Based on the Understanding of Behavioral Semantics. Electronics 2021, 10, 946. [Google Scholar] [CrossRef]
- Werling, M.; Kammel, S.; Ziegler, J.; Groell, L. Optimal trajectories for time-critical street scenarios using discretized terminal manifolds. Int. J. Robot. Res. 2012, 31, 346–359. [Google Scholar] [CrossRef]
- Xausa, I.; Baier, R.; Bokanowski, O.; Gerdts, M. Computation of avoidance regions for driver assistance systems by using a Hamilton–Jacobi approach. Optim. Control Appl. Methods 2020, 41, 668–689. [Google Scholar] [CrossRef]























Publisher’s Note: MDPI stays neutral with regard to jurisdictional claims in published maps and institutional affiliations. |
© 2021 by the authors. Licensee MDPI, Basel, Switzerland. This article is an open access article distributed under the terms and conditions of the Creative Commons Attribution (CC BY) license (https://creativecommons.org/licenses/by/4.0/).
Share and Cite
Jiang, B.; Li, X.; Zeng, Y.; Liu, D. A Novel Maneuver-Based Driving Envelope Generation Approach for Driving Safety Assessment. Appl. Sci. 2021, 11, 4702. https://doi.org/10.3390/app11104702
Jiang B, Li X, Zeng Y, Liu D. A Novel Maneuver-Based Driving Envelope Generation Approach for Driving Safety Assessment. Applied Sciences. 2021; 11(10):4702. https://doi.org/10.3390/app11104702
Chicago/Turabian StyleJiang, Bohan, Xiaohui Li, Yujun Zeng, and Daxue Liu. 2021. "A Novel Maneuver-Based Driving Envelope Generation Approach for Driving Safety Assessment" Applied Sciences 11, no. 10: 4702. https://doi.org/10.3390/app11104702
APA StyleJiang, B., Li, X., Zeng, Y., & Liu, D. (2021). A Novel Maneuver-Based Driving Envelope Generation Approach for Driving Safety Assessment. Applied Sciences, 11(10), 4702. https://doi.org/10.3390/app11104702

