Next Article in Journal
Wound Healing and Antioxidant Evaluations of Alginate from Sargassum ilicifolium and Mangosteen Rind Combination Extracts on Diabetic Mice Model
Next Article in Special Issue
Experimental Investigation of the Cooling Effect Generated by a Heat Sink Integrated Thermoelectric-Based U-Shaped Air-Conditioning System
Previous Article in Journal
Semantic Matching Based on Semantic Segmentation and Neighborhood Consensus
Previous Article in Special Issue
FEM-CFD Simulation and Experimental Study of Compound Parabolic Concentrator (CPC) Solar Collectors with and without Fins for Residential Applications
 
 
Font Type:
Arial Georgia Verdana
Font Size:
Aa Aa Aa
Line Spacing:
Column Width:
Background:
Article

CFD Analysis and Taguchi-Based Optimization of the Thermohydraulic Performance of a Solar Air Heater Duct Baffled on a Back Plate

1
Faculty of Heat and Refrigeration Engineering, Industrial University of Ho Chi Minh City (IUH), Ho Chi Minh City 700000, Vietnam
2
Faculty of Mechanical Engineering, Industrial University of Ho Chi Minh City (IUH), Ho Chi Minh City 700000, Vietnam
*
Author to whom correspondence should be addressed.
Appl. Sci. 2021, 11(10), 4645; https://doi.org/10.3390/app11104645
Submission received: 7 May 2021 / Revised: 14 May 2021 / Accepted: 18 May 2021 / Published: 19 May 2021
(This article belongs to the Special Issue Recent Progress in Solar Thermal Technologies and Applications)

Abstract

:
In this paper, a solar air collector duct equipped with baffles on a back plate was numerically investigated. The Reynolds number (Re) was varied from 5000 to 20,000, the angle baffle (a) from 30° to 120°, the baffle spacing ratio (Pr) from 2 to 8, and the baffle blockage ratio (Br) from 0.375 to 0.75 to examine their effects on the Nusselt number (Nu), the friction factor (f), and the thermohydraulic performance parameter (η). The 2D numerical simulation used the standard k-ε turbulence model with enhanced wall treatment. The Taguchi method was used to design the experiment, generating an orthogonal array consisting of four factors each at four levels. The optimization results from the Taguchi method and CFD analysis showed that the optimal geometry of a = 90°, Pr = 6, and Br = 0.375 achieved the maximum η. The influence of Br on all investigated parameters was considerable because as Br increased, a larger primary vortex region was formed downstream of the baffle. At Re = 5000 and the optimal geometry parameters, a maximum η of 1.01 was reached. A baffle angle between 60° and 90° achieved a high Nusselt number due to the impingement heat transfer.

1. Introduction

The solar air heater (SAH) is known to be the simplest solar thermal energy converter [1]. It is composed of local materials and does not require complicated machining. SAHs are often used in agricultural drying, space heating, or industrial processes in countries with a large amount of solar radiation such as Vietnam [2]. Obstructions are often introduced into the SAH duct to increase the forced convection heat transfer coefficient. The obstructions can be divided into two categories: ribs attached to the absorber plate and baffles. Different rib shapes have been of great interest to researchers because they break the viscous sub-layer and mix the primary and secondary flows, which augments the heat transfer [3]. For a turbulent flow, the air layer adjacent to the absorber plate is laminar flow, which results in a low heat transfer rate. Therefore, small-scale roughness ribs are introduced in order to form separation–reattachment flow on the heat transfer surface. Moreover, by arranging the rib relative to the main flow, the secondary flow occurs in the air duct where it mixes with the primary flow. Rib geometries of triangles, squares, wedges, circles, and spheres can be found in the literature [4,5,6,7,8,9].
The surface roughness has been studied extensively and has demonstrated the ability to improve the thermohydraulic performance of solar air collector ducts. However, this roughness has two disadvantages. First, the air temperature far from the absorber plate is still quite low compared to that of the air near the absorber plate (i.e., only the air near the absorber plate is disturbed). Second, vortices that are dead zones at the heat transfer surface form upstream and downstream of the rib, causing poor heat transfer. Hence, baffles are introduced as a second obstruction in the air channels. Early on, Dutta and Dutta [10] tested eight different unique types of baffles in rectangular channels. It is recommended that the baffle be placed in a region with a high heat flux to increase the heat transfer effectiveness. Khan et al. [11] experimentally investigated an air channel with perforated plates and a rough heating surface. The results showed that heat transfer increased by 326% and pressure loss increased by 250%. Dutta and Hossain [12] experimentally studied baffles inclined in the direction of flow. There were holes with a diameter of 1.07 cm on the baffles. They reported that the Nusselt number was five times higher than that of the smooth ducts. Ary et al. [13] experimentally studied and simulated single baffle and double baffle channels for comparison. They suggested a gap of 0.4 cm between the absorber plate and the baffle to prevent dead eddies. They concluded that the double baffle type gave better heat transfer. Chamoli and Thakur [14] conducted a numerical study of perforated baffles perpendicular to the duct wall. The results showed that the heat transfer increased 3.1-fold and that the pressure loss increased 2.2-fold. Recently, Menasria et al. [15] simulated hundreds of baffle arrangements mounted on the back plate of a solar air heater. The Nusselt number increased by 3.72-fold, and the pressure loss increased by 14.47-fold. Boonloi and Jedsadaratanachai [16] numerically studied square channels with C-shaped plates. This pattern was shown to increase eddies and perturbations at the thermal boundary layer, increasing the thermal effectiveness. More recently, Phila et al. [17] experimented with 72 different baffle angles and Reynolds numbers in a duct with fixed dimensions. The results showed that the maximum thermohydraulic performance reached 1.11 at a baffle angle of 60° and a Reynolds number of 9000.
To infer the thermohydraulic features of an obstructed air channel, a large number of test runs should be implemented in both numerical and experimental studies. Design of experiment (DOE) approaches can be employed to reduce the number of test runs, and thermophysical phenomena and optimized solutions are obtained as well. Taguchi is a DOE method developed by the Japanese engineer Genichi Taguchi. The method is used to control product quality in industrial manufacturing processes. Currently, the Taguchi method is widely applied in different fields to reduce the number of experimental or numerical tests, but parametric studies and optimization can also be achieved [18,19,20,21]. For the application of the Taguchi method to the SAH duct study, some works have been performed. Aghaie et al. [18] studied a wide range of rib geometries, including triangles, wedges, trapezoids, and rectangles, by adopting 16 test runs from the Taguchi method. The results showed that wedge-shaped ribs achieved the best thermohydraulic performance, at 2.31. Chauhan et al. [22] tested three geometrical parameters of a jet plate in an SAH duct. The optimal solution was determined with 16 experimental runs instead of the 81 runs necessary without implementation of the Taguchi method.
From the above survey, it can be seen that studies on solar air collector ducts baffled on back plates are limited. To the best of our knowledge, there have been no studies on an array of inclined baffles mounted on the back plate of an SAH. Moreover, few SAH studies have applied the Taguchi method to reduce the number of tests, which is directly related to time and cost. Most previous studies focused on the development of the Nusselt number and friction factor correlations, leading to many physical or numerical experiments. In this study, different baffle configurations mounted opposite the absorber plate, i.e., the back plate, were investigated to evaluate variations in the heat transfer and pressure loss using computational fluid dynamics (CFD) techniques. The baffle configurations create the flow acceleration adjacent to the absorber surface and augment heat transfer due to the impingement heat transfer. The integration of DOE and numerical experiments in the current work is a suitable strategy in terms of not only cost reduction but also visualization of thermohydraulic behavior.

2. Model Description

Figure 1 shows a schematic diagram of an SAH with baffles attached on the back plate. The baffles are placed opposite the absorber plate with parameters including the spacing P, height e, and angle a. In practical applications, the baffle can be made of galvanized steel and welded to the back plate to extend the lifespan. The SAH duct has a height H = 20 mm, length L = 500 mm, and width W = 300 mm. The 250 mm duct is placed upstream of the test section for the fully developed flow, and the 150 mm duct is located at the exit of the test section for flow mixing and elimination of the reverse flow per ASHRAE standard 93–97. The geometries of the baffle in this study are investigated for the following four levels: baffle spacings P = 40 mm, 80 mm, 120 mm, and 160 mm; baffle heights e = 7.5 mm, 10 mm, 12.5 mm, and 15 mm; and baffle inclination angles a = 30°, 60°, 90°, and 120°. These parameters correspond to the baffle spacing ratios Pr = P/H = 2, 4, 6, and 8 and the baffle blockage ratios Br = e/H = 0.375, 0.500, 0.625, and 0.750. Meshing is performed as illustrated in Figure 2. The walls in the test section are highly refined to handle the flow phenomena adjacent to the walls and the laminar sub-layer at the absorber plate. Furthermore, a grid adaption for a y+ value of approximately unity is performed for the absorber plate to better predict heat transfer related to the laminar sub-layer [7,23].
The boundary conditions applied to the computed domain include the velocity inlet at the left wall and the pressure outlet at the right wall of Figure 1. A constant heat flux of 1000 W/m2 is set for the absorber plate to heat the air. The remaining surfaces are walls with no-slip conditions. For turbulent flows, boundary conditions of turbulence intensity of 5% and turbulent viscosity ratio of 10 are used for the inlet and the outlet. From the area-weighted averages including the absorber plate temperature (Tap), the air temperature at the outlet (To), and the pressures at the inlet (p1) and outlet (p2) of the test section, the magnitudes of the thermal-hydraulic parameters are deduced as follows:
The heat gain of the air from the absorber plate is given as [22]:
Q ˙ = m ˙ c p ( T o T i ) = h A a p ( T a p T f ) ,
where:
m ˙ is the air mass flow rate;
cp is the specific heat at a constant pressure;
h is the convection heat transfer coefficient;
Ti is the air temperature at the inlet, and Ti = 300 K is used in the current study;
Aap is the absorber plate area, and Aap = L × W;
Tf is the mean temperature of the air, and Tf = 0.5(Ti + To).
The Nusselt number is computed from the convection heat transfer coefficient as:
N u = h D h k ,
where Dh is the hydraulic diameter, D h = 4 W H 2 ( W + H ) , and k is the thermal conductivity of the air.
The friction factor of the air flowing through the baffled duct is calculated from the following Darcy–Weisbach equation [21]:
f = p 1 p 2 L D h ρ U 2 2 ,
where ρ and U are the air density and air velocity at the inlet, respectively.
In this research, the thermophysical properties of the air are assumed to be constants, and their values are as follows: ρ = 1.225 kg/m3, k = 0.0242 W/m-K, cp = 1006.43 J/kg-K, and dynamic viscosity μ = 1.7894 × 10−5 kg/m-s.
Two-dimensional numerical simulation is performed on the baffled ducts using the standard k-ε turbulence model with enhanced wall treatment. The governing equations, i.e., the continuity, momentum, energy, and transport equations employed in the standard k-ε model, are resolved by Ansys Fluent 16 (Ansys Inc.). Figure 3 shows the grid independent test results, with the grid type shown in Figure 2 and the grid adaption. Numbers of elements of 75,159, 94,102, 124,772, and 178,272 are tested. The test cases are performed with geometric parameters of Pr = 6, Br = 0.375, a = 60°, and Reynolds number of 15,000, where the Reynolds number is defined as Re = ρUDh/μ. The results show that the Nusselt number changes negligibly with the number of mesh elements from 124,772. Therefore, to reduce the computation time and cost, the settings at this mesh number are used for further studies. Figure 4 presents a comparison of the simulation results in this study with the experimental results of Yilmaz [24]. In the experimental study, an inclined baffle is placed opposite the heating plate to examine the thermohydraulic behavior. A sketch of the experiment and the dimensions (in millimeters) are shown in Figure 4a. The results show that there is good agreement between the simulation results in the current study and the experimental results. Average errors of 5.89% and 11.47% are found for the comparison of the Nusselt number and pressure drop, respectively. The validation between the numerical approach and the empirical correlations for a smooth solar air heater duct was presented in our previous study [7]. Therefore, it is not displayed here for the sake of brevity. Then, the numerical methodology is constructed for 16 runs according to the orthogonal array of the Taguchi method.
To evaluate the thermohydraulic performance of a baffled duct compared to a smooth duct, Gnielinski’s Nusselt number equation (Nus) and Petukhov’s friction factor equation (fs) are used as follows [15]:
N u s = ( f s / 8 ) ( R e 1000 ) P r 1 + 12.7 f s / 8 ( P r 2 / 3 1 )   for   3000   <   Re   <   5   ×   10 6   and   0.5   <   Pr   <   2000 ,
f s = [ 0.7904 l n ( R e ) 1.64 ] 2   for   3000   <   Re   <   5   ×   10 6 ,
where Pr is the Prandtl number and Pr = cpμ/k.
Once obstructions are introduced into the fluid channel, it is certain that both the heat transfer and pressure loss increase. Therefore, the thermohydraulic performance parameter below is used to evaluate the gain and the loss. Additionally, the thermohydraulic performance parameter is maximized in the present study to enhance heat transfer with a moderate pressure loss penalty. The parameter is developed on the basis of equal pumping power:
η = N u N u s ( f f s ) 1 / 3 .

3. Results

Table 1 shows the 16 test runs, in which 4 factors are generated by the Taguchi method in Minitab software (Minitab Inc.). Each factor has four levels corresponding to the L16 (44) orthogonal array. The Reynolds number varies from 5000 to 20,000. This range is wide enough to clarify the flow mechanism in an inserted solar air heater duct, as pointed out by Verma and Prasad [25]. Note that by using the Taguchi method, the number of simulations is significantly reduced, from 44 = 256 to 16 cases. This is a great advantage of the Taguchi DOE. The objective functions (responses) of this study are the Nusselt number (Nu), friction factor (f), and thermohydraulic performance parameter (η), which are drawn from the above mathematical model. To examine the effects of the factors on the responses, Figure 5, Figure 6 and Figure 7 present the mean values of the responses and the importance of the independent parameters.
The behavior of the Nusselt number with the geometrical parameters of the baffle and the Reynolds number can be seen in Figure 5. Within the investigated range, the average Nusselt number of a baffled duct is approximately 125. The prediction of the Taguchi method shows that with increasing Reynolds number, the Nusselt number increases sharply, as expected. Among the geometric parameters of the baffle, the baffle blockage ratio (Br) has the most influence on the heat transfer because when Br increases, the air flow in the duct is strongly accelerated. Conversely, with increasing baffle pitch ratio (Pr), Nu decreases due to the longer distance between the baffles, leading to a reduction in the air velocity and swirling intensity. A baffle angle of 30° yields the smallest Nu because the baffle length is the longest together with the smallest slope, resulting in air acceleration lower than that at other angles. A baffle angle between 60° and 90° yields the highest Nusselt number. At these angles, the air flow is reversed perpendicular to the absorber plate, causing impingement heat transfer zones. The baffle angle of 120° yields a moderate Nusselt number because the primary vortex downstream of the baffle is not as large as those of the baffles with angles of 60°–90°.
The friction factor with the geometrical parameters of the baffle and the Reynolds number can be observed in Figure 6. The average friction factor is approximately 3, which is very large compared to that of a smooth duct of the same duct dimensions and air flow according to the study of Menasria et al. [15]. Due to the flow resistance of the baffles, the friction factor is considerably large. The effect of Br on the pressure loss is the strongest. The Taguchi method predicts the effect of Pr on the friction factor well, i.e., the friction factor decreases with increasing Pr. When Re increases from 5000 to 10,000, the friction factor decreases, which is a common trend for the friction factor with Re. However, when Re is greater than 10,000, the friction factor fluctuates with the Reynolds number. This is because the complete turbulence flow in the roughened duct makes the friction factor less dependent on the Reynolds number. This regime leads to increasing and decreasing trends of the friction factor. The baffle angle of 90° results in the highest friction factor due to the presence of secondary vortices upstream and downstream of the baffle and the strong reversal of the air flow.
Figure 7 shows the influence of the geometrical parameters and Reynolds number on the thermohydraulic performance parameter (η) obtained from the Taguchi method. The average performance is approximately 0.88. This is also the maximum required parameter in this study. From Figure 7, Pr = 6, Br = 0.375, a = 90°, and Re = 5000 should be selected for maximum η. The parameter Br has the dominant influence on the performance. The performance η decreases sharply with an increase in the baffle blockage ratio Br. This proves that when Br increases, the increase in the Nusselt number cannot compensate for the increase in the pressure loss penalty (see Figure 5 and Figure 6). In addition, the prediction of the Taguchi method shows that η decreases with increasing Reynolds number. This phenomenon can be explained by the fact that at a large Reynolds number (Re > 10,000), the friction factor of the smooth duct decreases with increasing Re, but that of the baffled duct is nearly constant. There are many parameters related to inclined baffles. With an optimization procedure, the number of independent parameters can be diminished, and the maximum thermohydraulic performance can be reached.
To confirm the optimal results from the Taguchi method and further examine the effect of the parameters on heat and fluid flow inside the baffled duct, four more numerical test cases are tested at the optimal geometry parameters (i.e., Pr = 6, Br = 0.375, and a = 90°) and different Reynolds numbers. Figure 8 displays the Nusselt number and friction factor for these cases. The Nusselt number and friction factor of the smooth duct predicted from the Gnielinski and Petukhov equations are also plotted for comparison. The Nusselt number of the baffled duct increases sharply with increasing Reynolds number, as predicted by the Taguchi method (Figure 5). The Nusselt number of the baffled duct is 2.3 times higher than that of the smooth duct. The friction factor of the duct with baffles is extremely large compared to that of the smooth duct due to the reduction in the flow cross-sectional area and vortex formation of the baffles. For the baffled duct, the friction factor decreases as Re increases from 5000 to 15,000. However, for a larger Re, the friction factor becomes constant with variation in Re. Figure 9 shows the thermohydraulic performance parameter with Re at optimal geometrical parameters. It can be clearly seen that at a certain Reynolds number, the optimized geometrical parameters attain much higher performance than the test cases initiated in Table 1. This confirms the prediction of the Taguchi optimization method and numerical methodology in this study. The maximum performance of 1.01 is obtained at a Reynolds number of 5000. A mean value of 0.92 can be found in the Reynolds number range of 10,000–20,000. Menasria et al. [15] studied baffles mounted on the back plate of a solar air heater duct. The baffles are perpendicular to the back plate with an inclined upper part as shown in Figure 9. They examined the effect of a very high blockage ratio from 0.7 to 0.979 on the thermohydraulic mechanism of the duct. Their investigation implied that the thermohydraulic performance reduced when increasing the blockage ratio. The performance with the smallest blockage ratio and the same baffle pitch ratio was plotted in Figure 9. It could be concluded that the present baffle configuration with optimal parameters of this research points to better results.
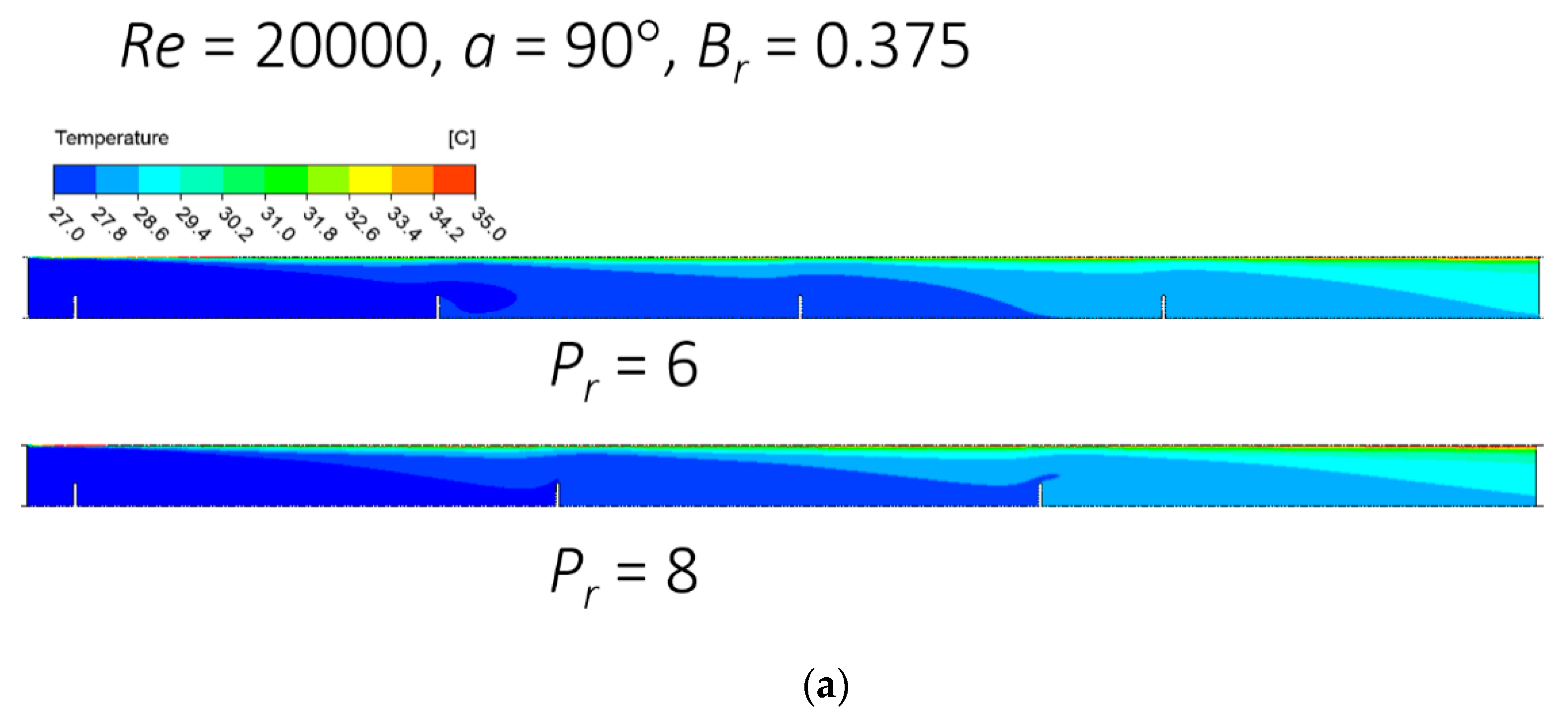
To compare the thermohydraulic characteristics of the baffled duct studied, the results of the effects of the geometry parameters extracted from the 16 cases in Table 1 and 4 additional cases are shown in Figure 10, Figure 11 and Figure 12. Figure 10 shows the effect of the parameter Br on the temperature and flow distribution in the baffled duct while the remaining three parameters are fixed. Figure 10a shows that at a lower Br, the absorber plate temperature is quite high and that the air temperature in the left half of the duct is relatively low compared to those of a higher Br duct. This shows that the higher the baffle height is, the better the heat transfer due to the increased air flow velocity and strong turbulence. However, increasing the baffle height significantly increases the pressure loss, as shown in Figure 10b. For the higher Br, the primary vortex region is larger, and secondary vortices clearly appear upstream and downstream of the baffle. Figure 11 shows the effect of the baffle angle on the temperature distribution and the streamlines in the duct. The angle of 90° provides a slightly better temperature distribution than that of 60°, i.e., the absorber plate temperature is lower and the air temperature is higher downstream of the third baffle. At a = 90°, a secondary vortex upstream of the baffle is identified, as shown in Figure 11b. In addition, the primary vortex region is larger for a baffle angle of 90°. These phenomena increase the friction factor when the baffle angle increases from 60° to 90°. The effect of baffle spacing is shown in Figure 12. A better air temperature increase at small baffle spacing is indicated because of the closer baffles and the shorter length of the viscous sub-layer adjacent to the back plate, as seen in Figure 12b. In contrast, one more primary vortex forms when the parameter Pr decreases from 8 to 6. Therefore, the air pressure loss increases with decreasing baffle spacing.

4. Conclusions

The thermohydraulic characteristics of the air flow in a baffled solar collector duct are presented in this study. The Taguchi method was used to generate 16 test runs from four independent factors with four levels per factor to find the optimum geometry of the baffle mounted opposite the absorber plate. This configuration accelerates the flow and forms an impingement region at the absorber plate, resulting in increased heat transfer. CFD simulations using the standard k-ε turbulence model with enhanced wall treatment were performed in the study. The Taguchi method showed superior ability to find the optimal solution with a certain number of tests. The main conclusions drawn from this study are as follows:
  • The baffle blockage ratio has a strong influence on the Nusselt number, friction factor, and thermohydraulic performance parameter because with increasing ratio, a vortex forms downstream of the baffle, and the primary vortex region is larger.
  • The optimal geometry parameters in terms of maximum thermohydraulic performance are the baffle spacing ratio Pr = 6, the baffle blockage ratio Br = 0.375, and the baffle angle a = 90°.
  • The highest thermohydraulic performance parameter of 1.01 is obtained at a Reynolds number of 5000. This parameter is approximately 0.92 at Reynolds numbers ranging from 10,000 to 20,000.
  • At the optimal geometry parameters, the Nusselt number and the friction factor of the baffled duct are 2.3 and 15 times higher than those of a smooth duct, respectively.
It is suggested that the exergy analysis and evaluation of multiple-pass configurations should be performed for the SAH baffled on the back plate in future works. The further considerations would be to provide a comprehensive picture to determine the ultimate parameters for the inclined baffles.

Author Contributions

Conceptualization, N.M.P.; Investigation, P.B.T., D.C.T. and N.M.P.; Methodology, N.M.P.; Software, P.B.T. and N.M.P.; Supervision, N.M.P.; Validation, P.B.T.; Visualization, D.C.T.; Writing—original draft, P.B.T. All authors have read and agreed to the published version of the manuscript.

Funding

This research is funded by the Industrial University of Ho Chi Minh City (IUH) under grant number 21/1NL03.

Institutional Review Board Statement

Not applicable.

Informed Consent Statement

Not applicable.

Data Availability Statement

Not applicable.

Conflicts of Interest

The authors declare no conflict of interest.

Nomenclature

aBaffle angle (deg)
ASurface area (m2)
BrBaffle blockage ratio
cpSpecific heat at a constant pressure (J kg−1 K−1)
DhHydraulic diameter (m)
fFriction factor
HDuct height (m)
hHeat transfer coefficient (W m−2 K−1)
kThermal conductivity (W m−1 K−1)
LDuct length (m)
m ˙ Air mass flow rate (kg s−1)
NuNusselt number
PBaffle pitch (m)
pPressure (Pa)
PrBaffle pitch ratio
PrPrandtl number
Q ˙ Heat transfer rate (W)
ReReynolds number
TTemperature (K)
UAir velocity (m s−1)
WDuct width (m)
Greek symbols
ηThermohydraulic performance parameter
μDynamic viscosity (kg m−1 s−1)
ρDensity (kg m−3)
Subscripts
apAbsorber plate
iInlet
oOutlet
sSmooth

References

  1. Yadav, S.; Saini, R.P. Numerical investigation on the performance of a solar air heater using jet impingement with absorber plate. Sol. Energy 2020, 208, 236–248. [Google Scholar] [CrossRef]
  2. Nguyen, M.P.; Ngo, T.T.; Le, T.D. Experimental and numerical investigation of transport phenomena and kinetics for convective shrimp drying. Case Stud. Therm. Eng. 2019, 14, 100465. [Google Scholar] [CrossRef]
  3. Phu, N.M.; Tuyen, V.; Ngo, T.T. Augmented heat transfer and friction investigations in solar air heater artificially roughened with metal shavings. J. Mech. Sci. Technol. 2019, 33, 3521–3529. [Google Scholar] [CrossRef]
  4. Yadav, A.S.; Bhagoria, J.L. A CFD based thermo-hydraulic performance analysis of an artificially roughened solar air heater having equilateral triangular sectioned rib roughness on the absorber plate. Int. J. Heat Mass Transf. 2014, 70, 1016–1039. [Google Scholar] [CrossRef]
  5. Singh, I.; Singh, S. CFD analysis of solar air heater duct having square wave profiled transverse ribs as roughness elements. Sol. Energy 2018, 162, 442–453. [Google Scholar] [CrossRef]
  6. Bhagoria, J.L.; Saini, J.S.; Solanki, S.C. Heat transfer coefficient and friction factor correlations for rectangular solar air heater duct having transverse wedge shaped rib roughness on the absorber plate. Renew. Energy 2002, 25, 341–369. [Google Scholar] [CrossRef]
  7. Ngo, T.T.; Phu, N.M. Computational fluid dynamics analysis of the heat transfer and pressure drop of solar air heater with conic-curve profile ribs. J. Therm. Anal. Calorim. 2019, 139, 3235–3246. [Google Scholar] [CrossRef]
  8. Phu, N.M.; Van Hap, N. Performance Evaluation of a Solar Air Heater Roughened with Conic-Curve Profile Ribs Based on Efficiencies and Entropy Generation. Arab. J. Sci. Eng. 2020, 45, 9023–9035. [Google Scholar] [CrossRef]
  9. Maithani, R.; Kumar, A.; Gholamali Zadeh, P.; Safaei, M.R.; Gholamalizadeh, E. Empirical correlations development for heat transfer and friction factor of a solar rectangular air passage with spherical-shaped turbulence promoters. J. Therm. Anal. Calorim. 2019, 139, 1195–1212. [Google Scholar] [CrossRef]
  10. Dutta, P.; Dutta, S. Effect of baffle size, perforation, and orientation on internal heat transfer enhancement. Int. J. Heat Mass Transf. 1998, 41, 3005–3013. [Google Scholar] [CrossRef]
  11. Khan, J.A.; Hinton, J.; Baxter, S.C. Enhancement of Heat Transfer with Inclined Baffles and Ribs Combined. J. Enhanc. Heat Transf. 2002, 9, 137–151. [Google Scholar] [CrossRef]
  12. Dutta, P.; Hossain, A. Internal cooling augmentation in rectangular channel using two inclined baffles. Int. J. Heat Fluid Flow 2005, 26, 223–232. [Google Scholar] [CrossRef]
  13. Ary, B.K.P.; Lee, M.S.; Ahn, S.W.; Lee, D.H. The effect of the inclined perforated baffle on heat transfer and flow patterns in the channel. Int. Commun. Heat Mass Transf. 2012, 39, 1578–1583. [Google Scholar] [CrossRef]
  14. Sunil CHAMOLI, N.S.T. Numerical Based Heat Transfer and Friction Factor Correlations of Rectangular Ducts Roughened With Transverse Perforated Baffles. Walailak J. Sci. Tech. 2014, 11, 107–127. [Google Scholar]
  15. Menasria, F.; Zedairia, M.; Moummi, A. Numerical study of thermohydraulic performance of solar air heater duct equipped with novel continuous rectangular baffles with high aspect ratio. Energy 2017, 133, 593–608. [Google Scholar] [CrossRef]
  16. Jedsadaratanachai, W.; Boonloi, A. Flow and heat transfer characteristics of air in square channel heat exchanger with c-shaped baffle: A numerical study. Front. Heat Mass Transf. 2019, 13–23. [Google Scholar] [CrossRef]
  17. Phila, A.; Eiamsa-ard, S.; Thianpong, C. Thermal Performance Evaluation of a Channel Installed with Inclined-Baffle Turbulators. Arab. J. Sci. Eng. 2019, 45, 609–621. [Google Scholar] [CrossRef]
  18. Aghaie, A.Z.; Rahimi, A.B.; Akbarzadeh, A. A general optimized geometry of angled ribs for enhancing the thermo-hydraulic behavior of a solar air heater channel–A Taguchi approach. Renew. Energy 2015, 83, 47–54. [Google Scholar] [CrossRef]
  19. Mohammadi, M.; Abadeh, A.; Nemati-Farouji, R.; Passandideh-Fard, M. An optimization of heat transfer of nanofluid flow in a helically coiled pipe using Taguchi method. J. Therm. Anal. Calorim. 2019, 138, 1779–1792. [Google Scholar] [CrossRef]
  20. Miansari, M.; Valipour, M.A.; Arasteh, H.; Toghraie, D. Energy and exergy analysis and optimization of helically grooved shell and tube heat exchangers by using Taguchi experimental design. J. Therm. Anal. Calorim. 2019, 139, 3151–3164. [Google Scholar] [CrossRef]
  21. Heydari, O.; Miansari, M.; Arasteh, H.; Toghraie, D. Optimizing the hydrothermal performance of helically corrugated coiled tube heat exchangers using Taguchi’s empirical method: Energy and exergy analysis. J. Therm. Anal. Calorim. 2020, in press. [Google Scholar] [CrossRef]
  22. Chauhan, R.; Singh, T.; Kumar, N.; Patnaik, A.; Thakur, N.S. Experimental investigation and optimization of impinging jet solar thermal collector by Taguchi method. Appl. Therm. Eng. 2017, 116, 100–109. [Google Scholar] [CrossRef]
  23. Chaube, A.; Sahoo, P.K.; Solanki, S.C. Analysis of heat transfer augmentation and flow characteristics due to rib roughness over absorber plate of a solar air heater. Renew. Energy 2006, 31, 317–331. [Google Scholar] [CrossRef]
  24. Yilmaz, M. The effect of inlet flow baffles on heat transfer. Int. Commun. Heat Mass Transf. 2003, 30, 1169–1178. [Google Scholar] [CrossRef]
  25. Verma, S.K.; Prasad, B.N. Investigation for the optimal thermohydraulic performance of artificially roughened solar air heaters. Renew. Energy 2000, 20, 19–36. [Google Scholar] [CrossRef]
Figure 1. SAH duct baffled on back plate.
Figure 1. SAH duct baffled on back plate.
Applsci 11 04645 g001
Figure 2. Meshing with refinement of the walls in the test section.
Figure 2. Meshing with refinement of the walls in the test section.
Applsci 11 04645 g002
Figure 3. Grid independence test in the case of Re = 15,000, Pr = 6, Br = 0.375, and a = 60°.
Figure 3. Grid independence test in the case of Re = 15,000, Pr = 6, Br = 0.375, and a = 60°.
Applsci 11 04645 g003
Figure 4. Validation of the present study with experimental results [24]. (a) Nusselt number as a function of Reynolds number; (b) pressure loss as a function of the Reynolds number.
Figure 4. Validation of the present study with experimental results [24]. (a) Nusselt number as a function of Reynolds number; (b) pressure loss as a function of the Reynolds number.
Applsci 11 04645 g004aApplsci 11 04645 g004b
Figure 5. Taguchi analysis based on the Nusselt number.
Figure 5. Taguchi analysis based on the Nusselt number.
Applsci 11 04645 g005
Figure 6. Taguchi analysis based on the friction factor.
Figure 6. Taguchi analysis based on the friction factor.
Applsci 11 04645 g006
Figure 7. Taguchi analysis based on the thermohydraulic performance parameter (η).
Figure 7. Taguchi analysis based on the thermohydraulic performance parameter (η).
Applsci 11 04645 g007
Figure 8. Nusselt number and friction factor in the case of optimal baffle geometry (Pr = 6, Br = 0.375, and a = 90°).
Figure 8. Nusselt number and friction factor in the case of optimal baffle geometry (Pr = 6, Br = 0.375, and a = 90°).
Applsci 11 04645 g008
Figure 9. Thermohydraulic performance at the optimal baffle geometry (Pr = 6, Br = 0.375, and a = 90°) and comparison with a similar configuration.
Figure 9. Thermohydraulic performance at the optimal baffle geometry (Pr = 6, Br = 0.375, and a = 90°) and comparison with a similar configuration.
Applsci 11 04645 g009
Figure 10. Effect of Br observed from the cases of optimum parameters and test number of 3. (a) Isotherms; (b) streamlines between successive baffles.
Figure 10. Effect of Br observed from the cases of optimum parameters and test number of 3. (a) Isotherms; (b) streamlines between successive baffles.
Applsci 11 04645 g010
Figure 11. Effect of baffle angle observed from the cases of optimum geometry and test number of 11. (a) Isotherms; (b) streamlines between successive baffles.
Figure 11. Effect of baffle angle observed from the cases of optimum geometry and test number of 11. (a) Isotherms; (b) streamlines between successive baffles.
Applsci 11 04645 g011
Figure 12. Effect of Pr observed from the cases of optimum geometry and test number of 16. (a) Isotherms; (b) streamlines between successive baffles.
Figure 12. Effect of Pr observed from the cases of optimum geometry and test number of 16. (a) Isotherms; (b) streamlines between successive baffles.
Applsci 11 04645 g012aApplsci 11 04645 g012b
Table 1. Design array and responses.
Table 1. Design array and responses.
Test NumberFactorsResponses
RePrBra, DegNufη
1500020.3753040.390.63310.9328
2500040.5006052.421.26300.9618
3500060.6259067.152.91000.9328
4500080.75012073.787.31500.7537
510,00020.5009095.931.45800.8700
610,00040.37512074.690.65870.8828
710,00060.75030132.904.07000.8559
810,00080.6256097.791.61300.8577
915,00020.625120176.902.90900.8897
1015,00040.75090247.409.65800.8341
1115,00060.3756091.270.37460.9091
1215,00080.5003093.000.41470.8955
1320,00020.75060288.307.81500.8126
1420,00040.62530179.701.80600.8254
1520,00060.500120163.701.19600.8628
1620,00080.37590119.100.37730.9217
Publisher’s Note: MDPI stays neutral with regard to jurisdictional claims in published maps and institutional affiliations.

Share and Cite

MDPI and ACS Style

Thao, P.B.; Truyen, D.C.; Phu, N.M. CFD Analysis and Taguchi-Based Optimization of the Thermohydraulic Performance of a Solar Air Heater Duct Baffled on a Back Plate. Appl. Sci. 2021, 11, 4645. https://doi.org/10.3390/app11104645

AMA Style

Thao PB, Truyen DC, Phu NM. CFD Analysis and Taguchi-Based Optimization of the Thermohydraulic Performance of a Solar Air Heater Duct Baffled on a Back Plate. Applied Sciences. 2021; 11(10):4645. https://doi.org/10.3390/app11104645

Chicago/Turabian Style

Thao, Pham Ba, Duong Cong Truyen, and Nguyen Minh Phu. 2021. "CFD Analysis and Taguchi-Based Optimization of the Thermohydraulic Performance of a Solar Air Heater Duct Baffled on a Back Plate" Applied Sciences 11, no. 10: 4645. https://doi.org/10.3390/app11104645

APA Style

Thao, P. B., Truyen, D. C., & Phu, N. M. (2021). CFD Analysis and Taguchi-Based Optimization of the Thermohydraulic Performance of a Solar Air Heater Duct Baffled on a Back Plate. Applied Sciences, 11(10), 4645. https://doi.org/10.3390/app11104645

Note that from the first issue of 2016, this journal uses article numbers instead of page numbers. See further details here.

Article Metrics

Back to TopTop