Type and Amount of Legume Protein Concentrate Influencing the Technological, Nutritional, and Sensorial Properties of Wheat Bread
Abstract
1. Introduction
2. Materials and Methods
2.1. Materials
2.2. Analysis of the Raw Materials and Breads
2.3. Bread Dough Mixolab Analysis
2.4. Bread Preparation
2.5. Physical Parameters of Fresh Bread Samples
2.5.1. Bread Volume, Porosity, and Elasticity Analysis
2.5.2. Bread Crumb Colour Analysis
2.5.3. Bread Crumb Texture Analysis
2.6. Headspace-Electronic Nose
2.7. Sensory Analysis
2.8. Statistical Analysis
3. Results and Discussion
3.1. Effect of Protein Concentrates on Bread Compositional Analysis
3.2. Dough Mixing Properties
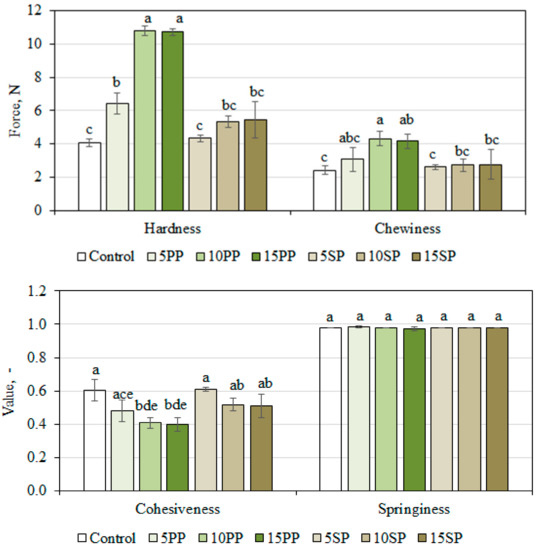
3.3. Physical Characteristics of Bread Samples
3.4. Discrimination of Bread Sample by Electronic Nose System
3.5. Sensory Analysis
4. Conclusions
Author Contributions
Funding
Institutional Review Board Statement
Informed Consent Statement
Data Availability Statement
Conflicts of Interest
References
- Statistica. Bread and Bakery Consumption Volume in Europe from 2010 to 2021, by Category. Available online: https://www.statista.com/statistics/806319/europe-bread-and-bakery-production-volume-by-category/ (accessed on 29 November 2020).
- Schmiele, M.; Ferrari Felisberto, M.H.; Silva Clerici, M.T.P.; Chang, Y.K. Mixolab™ for rheological evaluation of wheat flour partially replaced by soy protein hydrolysate and fructooligosaccharides for bread production. LWT Food Sci. Technol. 2017, 76, 259–269. [Google Scholar] [CrossRef]
- Des Marchais, M.F.; Mercier, S.; Villeneuvea, S.; Mondor, M. Bread-making potential of pea protein isolate produced by a novel ultrafiltration/diafiltration process. Procedia Food Sci. 2011, 1, 1425–1430. [Google Scholar] [CrossRef]
- Collar, C. Use of Mixolab on Formulated Flours. In Mixolab: A New Approach to Rheology; Dubat, A., Rosell, C.M., Gallagher, E., Eds.; AACC International, Inc.: St. Paul, MN, USA, 2013; pp. 33–44. [Google Scholar]
- Shah, N.N.; Umesh, K.V.; Singhal, R.S. Hydrophobically modified pea proteins: Synthesis, characterization and evaluation as emulsifiers in eggless cake. J. Food Eng. 2019, 255, 15–23. [Google Scholar] [CrossRef]
- Dahl, W.J.; Foster, L.M.; Tyler, R.T. Review of the health benefits of peas (Pisum sativum L.). Br. J. Nutr. 2012, 108, 3–10. [Google Scholar] [CrossRef] [PubMed]
- Millar, K.A.; Barry-Ryan, C.; Burke, R.; McCarthy, S.; Gabllagher, E. Dough properties and baking characteristics of white bread, as affected by addition of raw, germinated and toasted pea flour. Innov. Food Sci. Emerg. Technol. 2019, 56, 102189. [Google Scholar] [CrossRef]
- Hoehnel, A.; Axel, C.; Bez, J.; Arendt, E.K.; Zannini, E. Comparative analysis of plant-based high-protein ingredients and their impact on quality of high-protein bread. J. Cereal Sci. 2019, 89, 102816. [Google Scholar] [CrossRef]
- Ribotta, P.D.; Arnulphi, S.A.; Leόn, A.E.; Añόn, M.C. Effect of soybean addition on the rheological properties and breadmaking qualityof wheat flour. J. Sci. Food Agric. 2005, 85, 1889–1896. [Google Scholar] [CrossRef]
- Zhou, J.; Liu, J.; Tang, X. Effects of whey and soy protein addition on bread rheological property of wheat flour. J. Texture Stud. 2018, 49, 38–46. [Google Scholar] [CrossRef] [PubMed]
- Ivanovski, B.; Seetharaman, K.; Duizer, L.M. Development of soy-based bread with acceptable sensory properties. J Food Sci. 2012, 77, S71–S76. [Google Scholar] [CrossRef] [PubMed]
- Šimurina, O.; Filipčev, B.; Belić, Z.; Jambrec, D.; Krulj, J.; Brkljača, J.; Pestorić, M. The influence of plant protein on the properties of dough and the quality of wholemeal spelt bread. Croat. J. Food Sci. Technol. 2016, 8, 107–111. [Google Scholar] [CrossRef]
- AOAC. Official Methods of Analysis of AOAC International; Association of Official Analytical Chemists: Gaithersburg, MD, USA, 2005. [Google Scholar]
- Regulation (EC) No. 1924/2006 of the European Parliament and of the Council of 20 December 2006 on Nutrition and Health Claims Made on Foods. Available online: https://eur-lex.europa.eu/legal-content/EN/TXT/PDF/?uri=CELEX:32006R1924&from=EN (accessed on 27 November 2020).
- AACC. Method 54–60.01 Determination of Rheological Behavior as a Function of Mixing and Temperature Increase in wheat FLour and whole Wheat Meal by Mixolab, 11th ed.; AACC International: St. Paul, MN, USA, 2010. [Google Scholar]
- Dubat, A. The Mixolab. In Mixolab: A New Approach to Rheology; Dubat, A., Rosell, C.M., Gallagher, E., Eds.; AACC International, Inc.: St. Paul, MN, USA, 2013; pp. 3–13. [Google Scholar]
- AACC. Method 10–05.01 Guidelines for Measurement of Volume by Rapeseed Displacement, 11th ed.; AACC International: St. Paul, MN, USA, 2010. [Google Scholar]
- SR 91 Bread and Fresh Pastry Products. Methods of Analysis; Romanian Standard Association (ASRO) Publisher House: Bucharest, Romania, 2007. (In Romanian)
- Lazaridou, A.; Duta, D.; Papageorgiou, M.; Belc, N.; Biliaderis, C.G. Effects of hydrocolloids on dough rheology and bread quality parameters in gluten-free formulations. J. Food Eng. 2007, 79, 1033–1047. [Google Scholar] [CrossRef]
- Bourne, M.C. Texture profile analysis. Food Technol. 1978, 32, 62–66. [Google Scholar]
- Culetu, A.; Duta, D.E.; Andlauer, W. Influence of black tea fractions addition on dough characteristics, textural properties and shelf life of wheat bread. Eur. Food Res. Technol. 2018, 244, 1133–1145. [Google Scholar] [CrossRef]
- Lawless, H.T.; Heymann, H. Sensory Evaluation of Food: Principles and Practices, 2nd ed.; Springer: New York, NY, USA, 2010. [Google Scholar]
- Belc, N.; Ghencea, S. Procedure for Evaluating the Bread Quality by Scoring (in Romanian). Patent RO 130586 A2. 2015. Available online: http://pub.osim.ro/publication-server/pdf-document?PN=RO130586%20RO%20130586&iDocId=7515&iepatch=.pdf (accessed on 29 November 2020).
- Collar, C.; Angioloni, A. High-legume wheat-based matrices: Impact of high pressure on starch hydrolysis and firming kinetics of composite breads. Food Bioproc. Tech. 2017, 10, 1103–1112. [Google Scholar] [CrossRef]
- Taherian, A.R.; Mondor, M.; Labranche, J.; Drolet, H.; Ippersiel, D.; Lamarche, F. Comparative study of functional properties of commercial and membrane processed yellow pea protein isolates. Food Res. Int. 2011, 44, 2505–2514. [Google Scholar] [CrossRef]
- Roccia, P.; Ribotta, P.D.; Pérez, G.T.; Leon, A.E. Influence of soy protein on rheological properties and water retention capacity of wheat gluten. LWT Food Sci Technol. 2009, 42, 358–362. [Google Scholar] [CrossRef]
- Hadnađev, T.D.; Torbica, A.; Hadnađev, M. Rheological properties of wheat flour substitutes/alternative crops assessed by Mixolab. 11th International Congress on Engineering and Food. Procedia Food Sci. 2011, 1, 328–334. [Google Scholar] [CrossRef]
- Francis, F.J.; Clydesdale, F.M. Food Colorimetry: Theory and Applications; AVI Publishing Company Inc.: Westport, CT, USA, 1975. [Google Scholar]
- Horstmann, S.W.; Foschia, M.; Arendt, E.K. Correlation analysis of protein quality characteristics with gluten-free bread properties. Food Funct. 2017, 8, 2465–2474. [Google Scholar] [CrossRef] [PubMed]
- Garcia-Segovia, P.; Igual, M.; Martinez-Monzo, J. Physicochemical properties and consumer acceptance of bread enriched with alternative proteins. Foods 2020, 9, 933. [Google Scholar] [CrossRef] [PubMed]




| Sample | Wheat Flour (g) | PP (g) | SP (g) | Yeast (g) | Salt (g) | Water (mL) |
|---|---|---|---|---|---|---|
| Control | 1500 | - | - | 45 | 22 | 895.5 |
| 5PP | 1425 | 75 | - | 45 | 22 | 927.0 |
| 10PP | 1350 | 150 | - | 45 | 22 | 984.0 |
| 15PP | 1275 | 225 | 45 | 22 | 1073.25 | |
| 5SP | 1425 | - | 75 | 45 | 22 | 904.5 |
| 10SP | 1350 | - | 150 | 45 | 22 | 919.5 |
| 15SP | 1275 | - | 225 | 45 | 22 | 924.0 |
| Bread Samples | Moisture (%) | Protein (%) | Fat (%) | Ash (%) | Carbohydrates * (%) | Energy (kcal/100g) | Energy from Protein ** (%) |
|---|---|---|---|---|---|---|---|
| Control | 45.19 ± 0.08 d | 7.61 ± 0.10 f | 0.77 ± 0.06 d | 1.00 ± 0.10 c | 45.44 ± 0.13 a | 219.6 ± 0.58 b | 13.89 ± 0.16 f |
| 5PP | 46.06 ± 0.05 c | 9.34 ± 0.21 d | 0.80 ± 0.03 d | 0.93 ± 0.06 c | 42.86 ± 0.19 c | 216.04 ± 0.13 d | 17.30 ± 0.39 d |
| 10PP | 46.99 ± 0.09 b | 11.49 ± 0.15 b | 0.80 ± 0.02 d | 1.05 ± 0.03 bc | 39.68 ± 0.13 e | 211.82 ± 0.43 e | 21.69 ± 0.27 b |
| 15PP | 48.76 ± 0.07 a | 13.02 ± 0.08 a | 0.81 ± 0.01 d | 1.16 ± 0.02 b | 36.25 ± 0.16 f | 204.34 ± 0.37 f | 25.48 ± 0.19 a |
| 5SP | 45.90 ± 0.10 c | 8.33 ± 0.13 e | 1.10 ± 0.05 c | 1.14 ± 0.01 b | 43.53 ± 0.23 b | 217.33 ± 0.33 c | 15.33 ± 0.26 e |
| 10SP | 45.26 ± 0.05 d | 9.28 ± 0.09 d | 1.43 ± 0.06 b | 1.16 ± 0.02 b | 42.87 ± 0.11 c | 221.47 ± 0.27 a | 16.75 ± 0.18 d |
| 15SP | 45.25 ± 0.05 d | 10.20 ± 0.010 c | 1.60 ± 0.10 a | 1.33 ± 0.02 a | 41.62 ± 0.25 d | 221.68 ± 0.31 a | 18.40 ± 0.16 c |
| Sample | Water Absorption (%) | Development Time (min) | Stability (min) | C2 (Nm) | C3 (Nm) | C4 (Nm) | C5 (Nm) |
|---|---|---|---|---|---|---|---|
| Control | 59.70 ± 0 d | 3.05 ± 0.04 c | 8.50 ± 0.06 b | 0.45 ± 0 bc | 1.88 ± 0.01 b | 1.75 ± 0.01 a | 2.91 ± 0.01 a |
| 5PP | 61.80 ± 0 c | 6.27 ± 0.23 a | 10.02 ± 0.14 a | 0.49 ± 0 a | 2.00 ± 0.01 a | 1.82 ± 0.04 a | 2.76 ± 0.05 b |
| 10PP | 65.60 ± 0 b | 1.58 ± 0.21 d | 9.88 ± 0.18 a | 0.47 ± 0.01 ab | 1.74 ± 0.04 c | 1.19 ± 0.05 d | 2.24 ± 0.01 c |
| 15PP | 71.55 ± 0.49 a | 1.51 ± 0.01 d | 7.75 ± 0.25 b | 0.44 ± 0.02 c | 1.50 ± 0.01 e | 1.02 ± 0.02 e | 1.54 ± 0.03 f |
| 5SP | 60.30 ± 0 d | 7.0 ± 0.47 a | 10.54 ± 0.27 a | 0.48 ± 0 ab | 1.91 ± 0 b | 1.82 ± 0.04 a | 2.67 ± 0.01 b |
| 10SP | 61.30 ± 0 c | 6.18 ± 0.14 a | 10.16 ± 0.04 a | 0.43 ± 0.01 c | 1.75 ± 0.01 c | 1.53 ± 0 b | 2.08 ± 0.01 d |
| 15SP | 61.60 ± 0 c | 4.71 ± 0.27 b | 9.80 ± 0.25 a | 0.44 ± 0 c | 1.66 ± 0.01 d | 1.32 ± 0.01 c | 1.80 ± 0.01 e |
| Bread Sample | Volume (cm3/100 g) | Crumb Porosity (%) | Elasticity | L* | a* | b* | C* | h° | ΔE |
|---|---|---|---|---|---|---|---|---|---|
| Control | 324 ± 2 a | 80.7 ± 0.4 a | 97 ± 1 a | 76.75 ± 0.03 a | 0.96 ± 0.01 g | 19.82 ± 0.03 g | 19.85 ± 0.03 g | 87.22 ± 0.03 a | - |
| 5PP | 222 ± 2 d | 68.0 ± 0.3 d | 95 ± 0 b | 73.91 ± 0.05 c | 1.64 ± 0.01 f | 21.16 ± 0.03 e | 21.22 ± 0.03 e | 85.58 ± 0.02 b | 3.21 ± 0.05 e |
| 10PP | 174 ± 1 e | 60.6 ± 0.1 e | 89 ± 1 d | 72.14 ± 0.05 f | 2.47 ± 0.01 c | 21.44 ± 0.04 d | 21.58 ± 0.04 d | 83.43 ± 0.03 e | 5.12 ± 0.04 c |
| 15PP | 154 ± 2 f | 54.8 ± 0.1 f | 85 ± 1 e | 71.23 ± 0.04 g | 2.87 ± 0.03 b | 22.06 ± 0.04 b | 22.24 ± 0.04 b | 82.60 ± 0.07 f | 6.26 ± 0.07 a |
| 5SP | 265 ± 4 b | 73.4 ± 0.1 b | 95 ± 0 b | 74.69 ± 0.09 b | 1.76 ± 0.01 e | 20.37 ± 0.06 f | 20.44 ± 0.06 f | 85.05 ± 0.03 c | 2.28 ± 0.07 f |
| 10SP | 247 ± 1 c | 71.7 ± 0.7 c | 93 ± 1 c | 73.68 ± 0.04 d | 2.42 ± 0.01 d | 21.95 ± 0.05 c | 22.08 ± 0.05 c | 83.72 ± 0.03 d | 4.01 ± 0.03 d |
| 15SP | 249 ± 1 c | 71.7 ± 0.1 c | 93 ± 0 c | 72.25 ± 0.03 e | 3.24 ± 0.01 a | 22.51 ± 0.02 a | 22.74 ± 0.02 a | 81.82 ± 0.03 g | 5.71 ± 0.03 b |
| Samples | Control | 5PP | 10PP | 15PP | 5SP | 10SP | 15SP |
|---|---|---|---|---|---|---|---|
| Colour of crust | 2.21 ± 0.84 d | 2.50 ± 0.71 cd | 2.83 ± 0.62 cd | 2.21 ± 0.54 cd | 3.00 ± 0.43 bc | 3.21 ± 0.78 b | 4.08 ± 0.51 a |
| Colour of crumb | 1.75 ± 0.97 b | 2.29 ± 0.78 b | 2.54 ± 0.86 b | 2.50 ± 1.00 b | 2.13 ± 0.96 b | 2.50 ± 1.07 b | 3.04 ± 1.05 a |
| Bitter flavour | 1.00 ± 0 a | 1.08 ± 0.29 a | 1.08 ± 0.29 a | 1.08 ± 0.29 a | 1.08 ± 0.29 a | 1.00 ± 0 a | 1.17 ± 0.58 a |
| Astringent flavour | 1.00 ± 0 a | 1.08 ± 0.29 a | 1.00 ± 0 a | 1.33 ± 0.89 a | 1.08 ± 0.29 a | 1.00 ± 0 a | 1.17 ± 0.58 a |
| Crumb firmness at first bite | 1.33 ± 0.49 d | 2.17 ± 0.39 c | 2.92 ± 0.76 ab | 3.21 ± 0.75 a | 1.63 ± 0.57 cd | 2.17 ± 0.39 c | 2.50 ± 0.52 bc |
| Crumb gumminess at first bite | 1.96 ± 1.01 d | 2.25 ± 1.06 cd | 3.33 ± 1.15 ab | 3.50 ± 1.22 ab | 1.96 ± 0.75 d | 2.42 ± 0.70 bcd | 2.67 ± 0.89 bcd |
| Mass adherence during chewing | 1.83 ± 1.03 b | 2.50 ± 1.00 ab | 3.21 ± 1.44 a | 3.42 ± 1.49 a | 1.83 ± 0.83 b | 1.75 ± 0.66 b | 2.21 ± 0.89 ab |
| Samples | Volume | Outer Appearance | Crust Colour | Crumb Colour | Porosity | Crumb Elasticity | Flavour | Total |
|---|---|---|---|---|---|---|---|---|
| Control | 19 | 6 | 6 | 10 | 18 | 17 | 12 | 88 |
| 5PP | 13 | 4 | 6 | 10 | 14 | 13 | 11 | 71 |
| 10PP | 10 | 3 | 7 | 9 | 13 | 6 | 10 | 58 |
| 15PP | 9 | 3 | 7 | 8 | 10 | 5 | 10 | 52 |
| 5SP | 16 | 5 | 7 | 10 | 17 | 17 | 12 | 84 |
| 10SP | 15 | 4 | 7 | 9 | 17 | 18 | 12 | 82 |
| 15SP | 15 | 4 | 6 | 9 | 17 | 18 | 11 | 80 |
Publisher’s Note: MDPI stays neutral with regard to jurisdictional claims in published maps and institutional affiliations. |
© 2021 by the authors. Licensee MDPI, Basel, Switzerland. This article is an open access article distributed under the terms and conditions of the Creative Commons Attribution (CC BY) license (http://creativecommons.org/licenses/by/4.0/).
Share and Cite
Belc, N.; Duta, D.E.; Culetu, A.; Stamatie, G.D. Type and Amount of Legume Protein Concentrate Influencing the Technological, Nutritional, and Sensorial Properties of Wheat Bread. Appl. Sci. 2021, 11, 436. https://doi.org/10.3390/app11010436
Belc N, Duta DE, Culetu A, Stamatie GD. Type and Amount of Legume Protein Concentrate Influencing the Technological, Nutritional, and Sensorial Properties of Wheat Bread. Applied Sciences. 2021; 11(1):436. https://doi.org/10.3390/app11010436
Chicago/Turabian StyleBelc, Nastasia, Denisa Eglantina Duta, Alina Culetu, and Gabriela Daniela Stamatie. 2021. "Type and Amount of Legume Protein Concentrate Influencing the Technological, Nutritional, and Sensorial Properties of Wheat Bread" Applied Sciences 11, no. 1: 436. https://doi.org/10.3390/app11010436
APA StyleBelc, N., Duta, D. E., Culetu, A., & Stamatie, G. D. (2021). Type and Amount of Legume Protein Concentrate Influencing the Technological, Nutritional, and Sensorial Properties of Wheat Bread. Applied Sciences, 11(1), 436. https://doi.org/10.3390/app11010436

