Enhancement of the Shielding Capability of Soda–Lime Glasses with Sb2O3 Dopant: A Potential Material for Radiation Safety in Nuclear Installations
Abstract
:1. Introduction
2. Materials and Methods
2.1. Mechanical Properties Calculations Using Makishima–Mackenzie Model
2.2. Radiation Shielding Properties Using MCNP-5 Code
3. Results and Discussion
3.1. Mechanical Properties
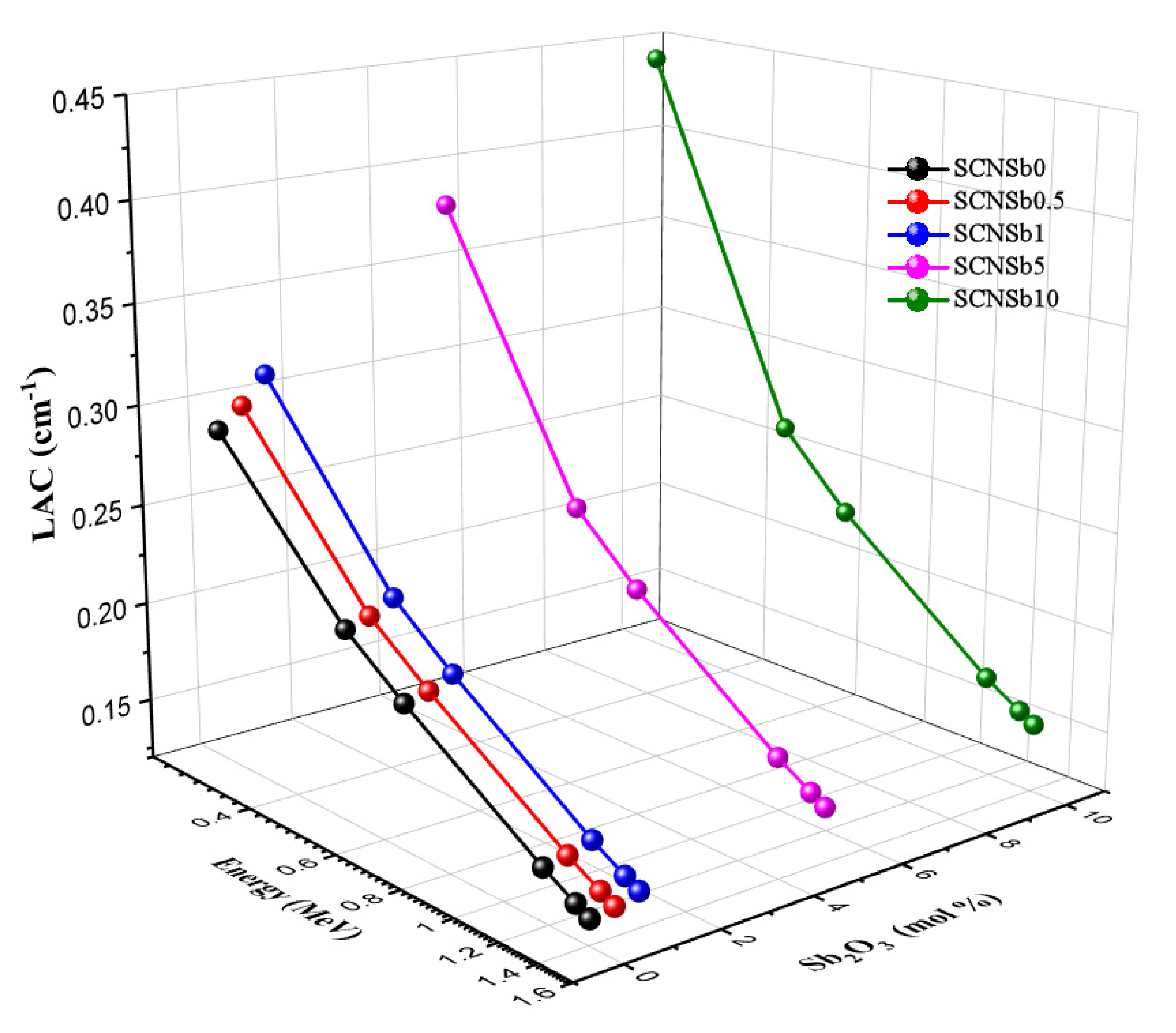
3.2. Radiation Shielding Attributes
4. Conclusions
Author Contributions
Funding
Acknowledgments
Conflicts of Interest
References
- Petr, K.; Ladislav, K.; Petr, M.; Lionel, M.; Bertrand, R. Glass-forming ability and the structure of glasses in the BaO-WO3-P2O5 system. J. Non-Cryst. Solids 2020, 541, 120145. [Google Scholar]
- Khodadadi, A.; Taherian, R. Investigation on the radiation shielding properties of lead silicate glasses modified by ZnO and BaO. Mater. Chem. Phys. 2020, 251, 123136. [Google Scholar] [CrossRef]
- Sayyed, M.; Mohammed, F.Q.; Mahmoud, K.; Lacomme, E.; Kaky, K.M.; Khandaker, M.U.; Faruque, M.R.I. Evaluation of Radiation Shielding Features of Co and Ni-Based Superalloys Using MCNP-5 Code: Potential Use in Nuclear Safety. Appl. Sci. 2020, 10, 7680. [Google Scholar] [CrossRef]
- Al-Hadeethi, Y.; Sayyed, M.I.; Rammah, Y.S. Fabrication, optical, structural and gamma radiation shielding characterizations of GeO2-PbO-Al2O3-CaO glasses. Ceram. Int. 2020, 46, 2055–2062. [Google Scholar] [CrossRef]
- Chen, T.-Y.; Rautiyal, P.; Vaishnav, S.; Gupta, G.; Schlegl, H.; Dawson, R.; Evans, A.; Kamali, S.; Johnson, J.; Johnson, C.; et al. Composition-structure-property effects of antimony in soda-lime-silica glasses. J. Non-Cryst. Solids 2020, 544, 120184. [Google Scholar] [CrossRef]
- D’Souza, A.N.; Prabhu, N.S.; Sharmila, K.; Sayyed, M.I.; Somshekarappa, H.M.; Lakshminarayana, G.; Mandal, S.; Kamath, S.D. Role of Bi2O3 in altering the structural, optical, mechanical, radiation shielding and thermoluminescence properties of heavy metal oxide borosilicate glasses. J. Non-Cryst. Solids 2020, 542, 120136. [Google Scholar] [CrossRef]
- Rahman, N.A.A.; Matori, K.A.; Zaid, M.H.M.; Zainuddin, N.; Ab Aziz, S.; Khiri, M.Z.A.; Jalil, R.A.; Jusoh, W.N.W. Fabrication of Alumino-Silicate-Fluoride based bioglass derived from waste clam shell and soda lime silica glasses. Results Phys. 2019, 12, 743–747. [Google Scholar] [CrossRef]
- Almasri, K.A.; Sidek, H.A.A.; Matori, K.A.; Zaid, M. Effect of sintering temperature on physical, structural and optical properties of wollastonite based glass-ceramic derived from waste soda lime silica glasses. Results Phys. 2017, 7, 2242–2247. [Google Scholar] [CrossRef]
- Khalil, E.; ElBatal, F.; Hamdy, Y.; Zidan, H.; Aziz, M.; Abdelghany, A.M. Infrared absorption spectra of transition metals-doped soda lime silica glasses. Phys. B Condens. Matter 2010, 405, 1294–1300. [Google Scholar] [CrossRef]
- Singh, S.; Kumar, A.; Singh, D.; Singh, K.; Mudahar, G.S. Barium–borate–flyash glasses: As radiation shielding materials. Nucl. Instrum. Methods Phys. Res. B. 2008, 266, 140–146. [Google Scholar] [CrossRef]
- Manohara, S.; Hanagodimath, S.; Gerward, L. Photon interaction and energy absorption in glass: A transparent gamma ray shield. J. Nucl. Mater. 2009, 393, 465–472. [Google Scholar] [CrossRef]
- Kurtulus, R.; Kavas, T. Investigation on the physical properties, shielding parameters, glass formation ability, and cost analysis for waste soda-lime-silica (SLS) glass containing SrO. Radiat. Phys. Chem. 2020, 176, 109090. [Google Scholar] [CrossRef]
- Sallam, O.; Madbouly, A.; Elalaily, N.; Ezz-Eldin, F. Physical properties and radiation shielding parameters of bismuth borate glasses doped transition metals. J. Alloys Compd. 2020, 843, 156056. [Google Scholar] [CrossRef]
- Al-Hadeethi, Y.; Sayyed, M. Analysis of borosilicate glasses doped with heavy metal oxides for gamma radiation shielding application using Geant4 simulation code. Ceram. Int. 2019, 45, 24858–24864. [Google Scholar] [CrossRef]
- Sayyed, M.; Ati, A.A.; Mhareb, M.; Mahmoud, K.; Kaky, K.M.; Baki, S.; Mahdi, M. Novel tellurite glass (60-x)TeO2–10GeO2–20ZnO–10BaO–xBi2O3 for radiation shielding. J. Alloys Compd. 2020, 844, 155668. [Google Scholar] [CrossRef]
- Prasad, R.N.A.; Venkata Siva, B.; Neeraja, K.; Krishna Mohan, N.; Rojas, J.I. Effect of modifier oxides on spectroscopic and optical properties of Pr3+ doped PbO-Ro2O3–WO3–B2O3 glasses (with Ro2O = Sb2O3, Al2O3, and Bi2O3). J. Lumin. 2021, 230, 117666. [Google Scholar] [CrossRef]
- Kaky, K.M.; Sayyed, M.; Ati, A.A.; Mhareb, M.; Mahmoud, K.; Baki, S.; Mahdi, M. Germanate oxide impacts on the optical and gamma radiation shielding properties of TeO2-ZnO-Li2O glass system. J. Non-Cryst. Solids 2020, 546, 120272. [Google Scholar] [CrossRef]
- Kaky, K.M.; Sayyed, M.; Mhareb, M.; Abdalsalam, A.H.; Mahmoud, K.; Baki, S.; Mahdi, M. Physical, structural, optical and gamma radiation attenuation properties of germanate-tellurite glasses for shielding applications. J. Non-Cryst. Solids 2020, 545, 120250. [Google Scholar] [CrossRef]
- Rammah, Y.; El-Agawany, F.; Mahmoud, K.; Novatski, A.; El-Mallawany, R. Role of ZnO on TeO2.Li2O.ZnO glasses for optical and nuclear radiation shielding applications utilizing MCNP5 simulations and WINXCOM program. J. Non-Cryst. Solids 2020, 544, 120162. [Google Scholar] [CrossRef]
- Makishima, A.; Mackenzie, J.D. Direct calculation of Young’s modulus of glass. J. Non-Cryst. Solids 1973, 12, 35–45. [Google Scholar] [CrossRef]
- Makishima, A.; Mackenzie, J.D. Calculation of Bulks modulus, Shear modulus and Piosson’s ratio of glass. J. Non-Cryst. Solids 1975, 17, 147–157. [Google Scholar] [CrossRef]
- X-5 Monte Carlo Team. MCNP-A General Monte Carlo N-Particle Transport Code, Version 5; LA-CP-03-0245; Los Alamos Controlled Publication: Los Alamos County, NM, USA, 2003. [Google Scholar]
- Abouhaswa, A.; Sayyed, M.; Mahmoud, K.; Al-Hadeethi, Y. Direct influence of mercury oxide on structural, optical and radiation shielding properties of a new borate glass system. Ceram. Int. 2020, 46, 17978–17986. [Google Scholar] [CrossRef]
- Divina, R.; Marimuthu, K.; Mahmoud, K.; Sayyed, M. Physical and structural effect of modifiers on dysprosium ions incorporated boro-tellurite glasses for radiation shielding purposes. Ceram. Int. 2020, 46, 17929–17937. [Google Scholar] [CrossRef]
- Mahmoud, K.; Lacomme, E.; Sayyed, M.; Özpolat, Ö.F.; Tashlykov, O. Investigation of the gamma ray shielding properties for polyvinyl chloride reinforced with chalcocite and hematite minerals. Heliyon 2020, 6, e03560. [Google Scholar] [CrossRef]
- El Abd, A.; Mesbah, G.; Mohammed, N.M.A.; Ellithi, A. A simple Method for Determining the Effective Removal Cross Section for Fast Neutrons. J. Radiat. Nucl. Appl. 2017, 2, 53–58. [Google Scholar] [CrossRef]
- Inaba, S.; Fujino, S.; Morinaga, K. Young’s Modulus and Compositional Parameters of Oxide Glasses. J. Am. Ceram. Soc. 1999, 82, 3501–3507. [Google Scholar] [CrossRef]
- Bloomfield, L. How Things Work: The Physics of Everyday Life, 2nd ed.; Wiley: New York, NY, USA, 2001. [Google Scholar]
- Rammah, Y.; Mahmoud, K.; Sayyed, M.; El-Agawany, F.; El-Mallawany, R. Novel vanadyl lead-phosphate glasses: P2O5-PbO-ZnO Na2O-V2O5: Synthesis, optical, physical and gamma photon attenuation properties. J. Non-Cryst. Solids 2020, 534, 119944. [Google Scholar] [CrossRef]
- Berger, M.J.; Hubbel, J.H. XCOM: Photon Cross Sections Database, Gaithersburg, MD 20899, USA. 1987. Available online: http://physics.nist.gov/xcom (accessed on 15 October 2020).
- Yorgun, N.Y.; Kavaz, E.; Tekin, H.; Sayyed, M.; Ozdemir, O.F.; Yildiz, N. Borax effect on gamma and neutron shielding features of lithium borate glasses: An experimental and Monte Carlo studies. Mater. Res. Express 2019, 6, 115217. [Google Scholar] [CrossRef]













| Glass Code | Chemical Composition (wt%) | Density (g/cm3) | Molecular Weight (g/mol) | Molar Volume (cm3/mol) | |||||
|---|---|---|---|---|---|---|---|---|---|
| Al2O3 | CaO | MgO | Na2O | Si2O | Sb2O3 | ||||
| SCBSb0 | 1.305 | 9.410 | 2.675 | 14.002 | 72.608 | 0.000 | 2.499 | 59.358 | 23.753 |
| SCBSb0.5 | 1.630 | 9.124 | 2.558 | 13.671 | 70.662 | 2.355 | 2.537 | 60.661 | 23.911 |
| SCBSb1 | 1.943 | 8.829 | 2.506 | 13.202 | 68.813 | 4.708 | 2.603 | 61.924 | 23.790 |
| SCBSb5 | 9.516 | 6.667 | 1.827 | 10.060 | 51.309 | 20.621 | 2.839 | 74.360 | 26.192 |
| SCBSb10 | 13.364 | 4.807 | 1.337 | 7.592 | 38.243 | 34.657 | 3.002 | 88.657 | 29.509 |
| Glass Code | The Mechanical Properties | |||||||||
|---|---|---|---|---|---|---|---|---|---|---|
| Vi (cm3/mol) | G (kJ/cm3) | Vt | E (GPa) | B (GPa) | S (GPa) | µ | H (GPa) | L (GPa) | Softening Temperature (°C) | |
| SCBSb0 | 12.939 | 63.980 | 0.545 | 69.707 | 45.568 | 27.994 | 0.2450 | 4.758 | 82.893 | 524.395 |
| SCBSb0.5 | 13.023 | 64.015 | 0.545 | 69.732 | 45.576 | 28.005 | 0.2450 | 4.761 | 82.915 | 520.176 |
| SCBSb1 | 13.093 | 64.047 | 0.544 | 70.498 | 46.560 | 28.253 | 0.2446 | 4.753 | 84.230 | 512.424 |
| SCBSb5 | 13.996 | 66.678 | 0.542 | 72.264 | 46.991 | 29.052 | 0.2437 | 4.964 | 85.727 | 508.887 |
| SCBSb10 | 14.919 | 68.297 | 0.538 | 73.553 | 47.528 | 29.609 | 0.2421 | 5.091 | 87.007 | 506.031 |
Publisher’s Note: MDPI stays neutral with regard to jurisdictional claims in published maps and institutional affiliations. |
© 2020 by the authors. Licensee MDPI, Basel, Switzerland. This article is an open access article distributed under the terms and conditions of the Creative Commons Attribution (CC BY) license (http://creativecommons.org/licenses/by/4.0/).
Share and Cite
Sayyed, M.I.; Mahmoud, K.A.; Tashlykov, O.L.; Khandaker, M.U.; Faruque, M.R.I. Enhancement of the Shielding Capability of Soda–Lime Glasses with Sb2O3 Dopant: A Potential Material for Radiation Safety in Nuclear Installations. Appl. Sci. 2021, 11, 326. https://doi.org/10.3390/app11010326
Sayyed MI, Mahmoud KA, Tashlykov OL, Khandaker MU, Faruque MRI. Enhancement of the Shielding Capability of Soda–Lime Glasses with Sb2O3 Dopant: A Potential Material for Radiation Safety in Nuclear Installations. Applied Sciences. 2021; 11(1):326. https://doi.org/10.3390/app11010326
Chicago/Turabian StyleSayyed, M.I., K.A. Mahmoud, O.L. Tashlykov, Mayeen Uddin Khandaker, and M.R.I. Faruque. 2021. "Enhancement of the Shielding Capability of Soda–Lime Glasses with Sb2O3 Dopant: A Potential Material for Radiation Safety in Nuclear Installations" Applied Sciences 11, no. 1: 326. https://doi.org/10.3390/app11010326
APA StyleSayyed, M. I., Mahmoud, K. A., Tashlykov, O. L., Khandaker, M. U., & Faruque, M. R. I. (2021). Enhancement of the Shielding Capability of Soda–Lime Glasses with Sb2O3 Dopant: A Potential Material for Radiation Safety in Nuclear Installations. Applied Sciences, 11(1), 326. https://doi.org/10.3390/app11010326
