Precise Measurement of the Surface Shape of Silicon Wafer by Using a New Phase-Shifting Algorithm and Wavelength-Tuning Interferometer
Abstract
1. Introduction
- phase shift errors, produced during phase shift;
- harmonics, resulting from high reflectivity; and
- coupling errors, generated between harmonics and phase shift error.
2. Wavelength-Tuning Interferometry
3. Derivation of the 10N − 9 Phase-Shifting Algorithm
3.1. Characteristic Polynomial Theory
3.2. Design Process of the 10N − 9 Algorithm
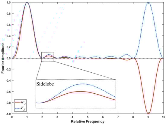
3.3. Fourier Representation of the 10N − 9 Algorithm
3.4. Error Analysis
4. Experiment Results and Discussion
Experimental Results
5. Discussion
6. Conclusions
Author Contributions
Funding
Conflicts of Interest
Appendix A
References
- Hibino, K.; Oreb, B.F.; Fairman, P.S. Improved algorithms for wavelength scanning interferometry: Application to the simultaneous measurement of surface topography and optical thickness variation in a transparent parallel plate. Proc. SPIE 2002, 477, 177–183. [Google Scholar]
- Murray, D. Inductance bridge for sensitive displacement measurements over long periods. J. Sci. Instrum. 1959, 36, 312–315. [Google Scholar] [CrossRef]
- Liu, Y.D.; Sheen, M.T.; Hsu, Y.C.; Hsu, H.K.; Tsai, Y.C.; Cheng, W.H. Online Postweld Shift Measurement of Butterfly-Type Laser Module Employing High-Resolution Capacitance Displacement Measurement System. IEEE LEOS Ann. Meeting Conf. Proc. 2010, 33, 91–97. [Google Scholar]
- Hamilton, D.K.; Wilson, T. Three-dimensional surface measurement using the confocal scanning microscope. Appl. Phys. B 1982, 27, 211–213. [Google Scholar] [CrossRef]
- Fu, Y.J.; Wang, Y.L.; Wan, M.T.; Wang, W. Three-dimensional profile measurement of the blade based on surface structured light. Optik 2013, 124, 3225–3229. [Google Scholar] [CrossRef]
- Hitzenberger, C.K. Measurement of corneal thickness by low-coherence interferometry. Appl. Opt. 1992, 31, 6637–6642. [Google Scholar] [CrossRef]
- Fukano, T.; Yamaguchi, I. Simultaneous measurement of thicknesses and refractive indices of multiple layers by a low-coherence confocal interference microscope. Opt. Lett. 1996, 21, 1942–1944. [Google Scholar] [CrossRef]
- Murphy, D.F.; Flavin, D.A. Dispersion-insensitive measurement of thickness and group refractive index by low- coherence interferometry. Appl. Opt. 2000, 39, 4607–4615. [Google Scholar] [CrossRef]
- Zhao, Y.; Schmidt, G.; Moore, D.T.; Ellis, J.D. Absolute thickness metrology with submicrometer accuracy using a low-coherence distance measuring interferometer. Appl. Opt. 2015, 54, 7693–7700. [Google Scholar] [CrossRef]
- Nicola, S.D.; Ferraro, P.; Finizio, A.; Natale, P.D.; Grilli, S.; Pierattini, G. A Mach-Zehnder interferometric system for measuring the refractive indices of uniaxial crystals. Opt. Commun. 2002, 202, 9–15. [Google Scholar] [CrossRef]
- Gillen, G.D.; Guha, S. Use of Michelson and Fabry- Perot interferometry for independent determination of the refractive index and physical thickness of wafers. Appl. Opt. 2005, 44, 344–347. [Google Scholar] [CrossRef] [PubMed]
- Shukla, R.P.; Udupa, D.V.; Das, N.C.; Mantravadi, M.V. Non-destructuve thickness measurement of dichromated gelatin films deposited on glass plates. Opt. Laser Technol. 2006, 38, 552–557. [Google Scholar] [CrossRef]
- Zilio, S.C. Simultaneous thickness and group index measurement with a single arm low-coherence interferometer. Opt. Exp. 2014, 22, 27392–27397. [Google Scholar] [CrossRef] [PubMed]
- Okada, K.; Sakuta, H.; Ose, T.; Tsujiuchi, J. Separate measurements of surface shapes and refractive index inhomogeneity of an optical element using tunable-source phase shifting interferometry. Appl. Opt. 1990, 29, 3280–3285. [Google Scholar] [CrossRef]
- Coppola, G.; Ferraro, P.; Iodice, M.; De Nicola, S. Method for measuring the refractive index and the thickness of transparent plates with a lateral-shear, wavelength-scanning interferometer. Appl. Opt. 2003, 42, 3882–3887. [Google Scholar] [CrossRef]
- Günther, P.; Kuschmierz, R.; Pfister, T.; Czarske, J. Displacement, distance, and shape measurements of fast-rotating rough objects by two mutually tilted interference fringe systems. J. Opt. Soc. Am. A 2013, 30, 825–830. [Google Scholar] [CrossRef]
- Machikhin, A.S.; Pozhar, V.E.; Viskovatykh, A.V.; Burmak, L.I. Acousto-optical tunable filter for combined wideband, spectral, and optical coherence microscopy. Appl. Opt. 2015, 54, 7508–7513. [Google Scholar] [CrossRef]
- Kato, T.; Uchida, M.; Minoshima, K. No-scanning 3D measurement method using ultrafast dimensional conversion with a chirped optical frequency comb. Sci. Rep. 2017, 7, 3670. [Google Scholar] [CrossRef]
- Hibino, K.; Hanayama, R.; Burke, J.; Oreb, B.F. Tunable phase-extraction formulae for simultaneous shape measurement of multiple surfaces with wavelength-shifting interferometry. Opt. Exp. 2004, 12, 5579–5594. [Google Scholar] [CrossRef]
- Ayubi, G.A.; Perciante, C.D.; Flores, J.L.; Di Martino, J.M.; Ferrari, J.A. Generation of phase-shifting algorithms with N arbitrarily spaced phase-steps. Appl. Opt. 2014, 53, 7168–7176. [Google Scholar] [CrossRef]
- Cheng, J.L.; Gao, Z.S.; Yuan, Q.; Wang, K.L.; Xu, L.P. Carrier squeezing interferometry with π/4 phase shift: Phase extraction in the presence of multi-beam interference. Appl. Opt. 2016, 55, 1920–1928. [Google Scholar] [CrossRef] [PubMed]
- Takahashi, Y. Effect of phase error in phase-shifting interferometer. Appl. Mech. Mater. 2019, 888, 11–16. [Google Scholar] [CrossRef]
- De Groot, P. Method and System for Profiling Objects Having Multiple Reflective Surfaces using Wavelength Tuning Phase-Shifting Interferometry. U.S. Patent 6 359 692, 19 January 2002. [Google Scholar]
- Kim, Y.; Hibino, K.; Hanayama, R.; Sugita, N.; Mitsuishi, M. Multiple-surface interferometry of highly reflective wafer by wavelength tuning. Opt. Express 2014, 22, 21145–21156. [Google Scholar] [CrossRef] [PubMed]
- Schwider, J.; Burow, R.; Elssner, K.E.; Grzanna, J.; Spolaczyk, R.; Merkel, K. Digital wavefront measuring interferometry: Some systematic error sources. Appl. Opt. 1983, 22, 3421–3432. [Google Scholar] [CrossRef]
- Larkin, K.G.; Oreb, B.F. Design and assessment of symmetrical phase-shifting algorithms. J. Opt. Soc. Am. A. 1992, 9, 1740–1748. [Google Scholar] [CrossRef]
- Schmit, J.; Creath, K. Extended averaging technique for derivation of error-compensating algorithms in phase-shifting interferometry. Appl. Opt. 1995, 34, 3610–3619. [Google Scholar] [CrossRef]
- Zhao, B.; Surrel, Y. Phase-shifting: Six-sample self-calibrating algorithm insensitive to the second harmonic in the fringe signal. Opt. Eng. 1995, 34, 2821–2822. [Google Scholar]
- De Groot, P. Derivation of algorithms for phase-shifting interferometry using the concept of a data-sampling window. Appl. Opt. 1995, 34, 4723–4730. [Google Scholar] [CrossRef]
- Surrel, Y. Design of algorithms for measurements by the use of phase stepping. Appl. Opt. 1996, 35, 51–60. [Google Scholar] [CrossRef]
- De Groot, P. Measurement of transparent plates with wavelength-tuned phase-shifting interferometry. Appl. Opt. 2000, 39, 2658–2663. [Google Scholar] [CrossRef]
- Hariharan, P.; Oreb, B.F.; Eiju, T. Digital phase-shifting interferometry: A simple error-compensating phase calculation algorithm. Appl. Opt. 1987, 26, 2504–2506. [Google Scholar] [CrossRef] [PubMed]
- Hibino, K.; Oreb, B.F.; Fairman, P.S. Wavelength-scanning interferometry of a transparent parallel plate with refractive-index dispersion. Appl. Opt. 2003, 42, 3888–3895. [Google Scholar] [CrossRef] [PubMed]
- Hanayama, R.; Hibino, K.; Warisawa, S.; Mitsuishi, M. Phase measurement algorithm in wavelength scanned Fizeau interferometer. Opt. Rev. 2004, 11, 337–343. [Google Scholar] [CrossRef]
- Hibino, K.; Oreb, B.F.; Fairman, P.S.; Burke, J. Simultaneous measurement of surface shape and variation in optical thickness of a transparent parallel plate in wavelength scanning Fizeau interferometer. Appl. Opt. 2004, 43, 1241–1249. [Google Scholar] [CrossRef]
- Huang, P.S.; Zhang, S. Fast three-step phase-shifting algorithm. Appl. Opt. 2006, 45, 5086–5091. [Google Scholar] [CrossRef] [PubMed]
- Kakue, T.; Moritani, Y.; Ito, K.; Shimozato, Y.; Awatsuji, Y.; Nishio, K.; Ura, S.; Kubota, T.; Matoba, O. Image quality improvement of parallel four-step phase-shifting digital holography by using the algorithm of parallel two-step phase-shifting digital holography. Opt. Express 2010, 18, 9555–9560. [Google Scholar] [CrossRef]
- Kim, Y.; Sugita, N.; Mitsuishi, M. Measurement of highly reflective surface shape using wavelength tuning Fizeau interferometer and polynomial window function. Precis. Eng. 2016, 45, 187–194. [Google Scholar] [CrossRef]
- Kim, Y.; Hibino, K.; Sugita, N.; Mitsuishi, M. Design of phase shifting algorithm: Fringe contrast maximum. Opt. Express 2014, 22, 18203–18213. [Google Scholar] [CrossRef]
- Freischlad, K.; Koliopoulos, C.L. Fourier description of digital phase-measuring interferometry. J. Opt. Soc. Am. A 1990, 7, 542–551. [Google Scholar] [CrossRef]
- Liu, K.; Littman, M.G. Novel geometry for single-mode scanning of tunable lasers. Opt. Lett. 1981, 6, 117–118. [Google Scholar] [CrossRef]
- Hibino, K.; Oreb, B.F.; Farrant, D.I.; Larkin, K.G. Phase-shifting for nonsinusoidal waveforms with phase-shift errors. J. Opt. Soc. Am. A 1995, 12, 761–768. [Google Scholar] [CrossRef]
- Bruning, J.H.; Herriott, D.R.; Gallagher, J.E.; Rosenfeld, D.P.; White, A.D.; Brangaccio, D.J. Digital wavefront measuring interferometer for testing optical surfaces and lenses. Appl. Opt. 1974, 13, 2693–2703. [Google Scholar] [CrossRef] [PubMed]
- Surrel, Y. Phase stepping: A new self-calibrating algorithm. Appl. Opt. 1993, 32, 3598–3600. [Google Scholar] [CrossRef] [PubMed]
- Hibino, K.; Oreb, B.F.; Farrant, D.I.; Larkin, K.G. Phase-shifting algorithms for nonlinear and spatially nonuniform phase shift. J. Opt. Soc. Am. A 1997, 14, 918–930. [Google Scholar] [CrossRef]
- De Groot, P. Correlated errors in phase-shifting laser Fizeau interferometry. Appl. Opt. 2014, 53, 4334–4342. [Google Scholar] [CrossRef]
- Hibino, K. Error-compensating phase measuring algorithms in a Fizeau interferometer. Opt. Rev. 1999, 6, 529–538. [Google Scholar] [CrossRef]
- Moore, R.C.; Slaymaker, F.H. Direct measurement of phase in a spherical-wave Fizeau interferometer. Appl. Opt. 1980, 19, 2196–2200. [Google Scholar] [CrossRef]
- De Groot, P. Phase-shift calibration errors in interferometers with spherical Fizeau cavities. Appl. Opt. 1995, 34, 2856–2863. [Google Scholar] [CrossRef]
- Creath, K.; Hariharan, P. Phase-shifting errors in interferometric tests with high-numerical-aperture reference surfaces. Appl. Opt. 1994, 33, 24–25. [Google Scholar] [CrossRef]
- Schofield, M.A.; Zhu, Y.P. Fast phase unwrapping algorithm for interferometric applications. Apt. Lett. 2003, 28, 1194–1196. [Google Scholar] [CrossRef]
- Brophy, C.P. Effect of intensity error correlation on the computed phase of phase-shifting interferometry. J. Opt. Soc. Am. A 1990, 7, 537–541. [Google Scholar] [CrossRef]











| Items | Technical Parameters |
|---|---|
| Dynamic range | 12 bit |
| Resolution | 1280 × 960 pixels |
| Frame rate | 30 fps |
| Pixel size | Vertical/horizontal: 3.75 μm |
| Sensor | SONY ICX 445ALA |
| Shutter | 10 μs–30 s |
| Gain | 0–30.39 dB |
| Methods | PV (nm) | RMS (nm) |
|---|---|---|
| New 10N − 9 | 513.587 | 2.05 |
| FUJINON interferometer | 524.376 | 2.33 |
| Error | 10.789 | 0.28 |
© 2020 by the authors. Licensee MDPI, Basel, Switzerland. This article is an open access article distributed under the terms and conditions of the Creative Commons Attribution (CC BY) license (http://creativecommons.org/licenses/by/4.0/).
Share and Cite
Miao, F.; Ahn, S.; Kim, Y. Precise Measurement of the Surface Shape of Silicon Wafer by Using a New Phase-Shifting Algorithm and Wavelength-Tuning Interferometer. Appl. Sci. 2020, 10, 3250. https://doi.org/10.3390/app10093250
Miao F, Ahn S, Kim Y. Precise Measurement of the Surface Shape of Silicon Wafer by Using a New Phase-Shifting Algorithm and Wavelength-Tuning Interferometer. Applied Sciences. 2020; 10(9):3250. https://doi.org/10.3390/app10093250
Chicago/Turabian StyleMiao, Fuqing, Seokyoung Ahn, and Yangjin Kim. 2020. "Precise Measurement of the Surface Shape of Silicon Wafer by Using a New Phase-Shifting Algorithm and Wavelength-Tuning Interferometer" Applied Sciences 10, no. 9: 3250. https://doi.org/10.3390/app10093250
APA StyleMiao, F., Ahn, S., & Kim, Y. (2020). Precise Measurement of the Surface Shape of Silicon Wafer by Using a New Phase-Shifting Algorithm and Wavelength-Tuning Interferometer. Applied Sciences, 10(9), 3250. https://doi.org/10.3390/app10093250

