Infrared Absorption Efficiency Enhancement of the CMOS Compatible Thermopile by the Special Subwavelength Hole Arrays
Abstract
1. Introduction
2. Simulation Method
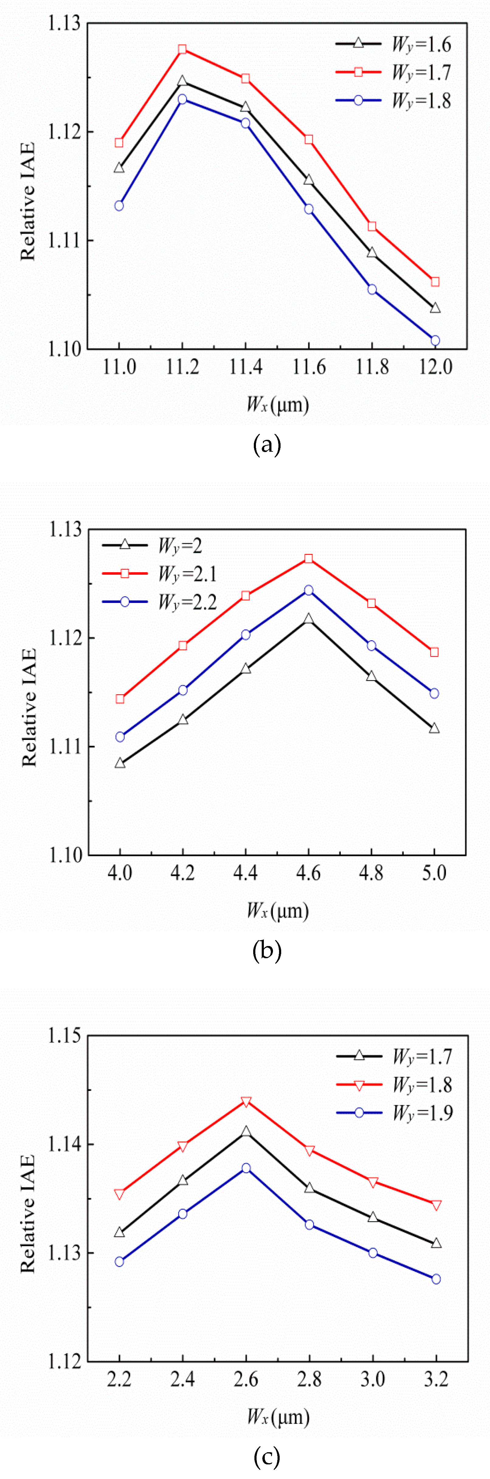
3. Results and Discussion
4. Conclusions
Author Contributions
Funding
Acknowledgments
Conflicts of Interest
References
- Lyshevski, S.E. MEMS and NEMS: Systems, Devices, and Structures; CRC Press: Boca Raton, FL, USA, 2002. [Google Scholar]
- Kanamori, Y.; Ishimori, M.; Hane, K. High efficient light-emitting diodes with antireflection subwavelength gratings. IEEE Photon. Technol. Lett. 2002, 14, 1064–1066. [Google Scholar] [CrossRef]
- Lee, T.-X.; Chou, C.-C. Scale-dependent light scattering analysis of textured structures on LED light extraction enhancement using hybrid full-wave finite-difference time-domain and ray-tracing methods. Energies 2017, 10, 424. [Google Scholar] [CrossRef]
- Ishimori, M.; Kanamori, Y.; Sasaki, M.; Hane, K. Subwavelength antireflection gratings for light emitting diodes and photodiodes fabricated by fast atom beam etching. Jpn. J. Appl. Phys. 2003, 41, 4346–4349. [Google Scholar] [CrossRef]
- Heine, C.; Morf, R.H. Submicrometer gratings for solar energy applications. Appl. Opt. 1995, 34, 2476–2482. [Google Scholar] [CrossRef] [PubMed]
- Han, K.; Chang, C.H. Numerical modeling of sub-wavelength anti-reflective structures for solar module applications. Nanomaterials 2014, 4, 87–128. [Google Scholar] [CrossRef] [PubMed]
- Gombert, A.; Blasi, B.; Buhler, C.; Nitz, P.; Mick, J.; Hossfeld, W.; Niggemann, M. Some application cases and related manufacturing techniques for optically functional microstructures on large areas. Opt. Eng. 2004, 43, 2525. [Google Scholar] [CrossRef]
- Kanamori, Y.; Kikuta, H.; Hane, K. Broadband antireflection gratings for glass substrates fabricated by fast atom beam etching. Jpn. J. Appl. Phys. 2000, 39, L735–L737. [Google Scholar] [CrossRef]
- Ting, C.J.; Chang, F.Y.; Chen, C.F.; Chou, C.P. Fabrication of an antireflective polymer optical film with subwavelength structures using roll-to-roll micro-replication process. J. Micromech. Microeng. 2008, 18, 1–9. [Google Scholar] [CrossRef]
- Burghoorn, M.; Roosen-Melsen, D.; De Riet, J.; Sabik, S.; Vroon, Z.; Yakimets, I.; Buskens, P. Single layer broadband anti-reflective coatings for plastic substrates produced by full wafer and roll-to-roll step-and-flash nano-imprint lithography. Materials 2013, 6, 3710–3726. [Google Scholar] [CrossRef] [PubMed]
- Ebbesen, T.W.; Lezec, H.J.; Ghaemi, H.F.; Thio, T.; Wolff, P.A. Extraordinary optical transmission through sub-wavelength hole arrays. Nature 1998, 391, 667–669. [Google Scholar] [CrossRef]
- Ghaemi, H.F.; Thio, T.; Grupp, D.E.; Ebbesen, T.W.; Lezec, H.J. Surface plasmons enhance optical transmission through subwavelength holes. Phys. Rev. B 1998, 58, 6779. [Google Scholar] [CrossRef]
- Salomon, L.; Grillot, F.; Zayats, A.V.; de Fornel, F. Near-Field Distribution of Optical Transmission of Periodic Subwavelength Holes in a Metal Film. Phys. Rev. Lett. 2001, 86, 1110. [Google Scholar] [CrossRef] [PubMed]
- Rivas, J.G.; Schotsch, C.; Bolivar, P.H.; Kurz, H. Enhanced transmission of THz radiation through subwavelength holes. Phys. Rev. B 2003, 68, 201306. [Google Scholar] [CrossRef]
- Janke, C.; Rivas, J.G.; Schotch, C.; Beckmann, L.; Bolivar, P.H.; Kurz, H. Optimization of enhanced terahertz transmission through arrays of subwavelength apertures. Phys. Rev. B 2004, 69, 205314. [Google Scholar] [CrossRef]
- Shen, C.H.; Yeh, Y.Y.; Chen, C.F. A Thermopile Device with Subwavelength Structure by CMOS-MEMS technology. Appl. Sci. 2019, 9, 5118. [Google Scholar] [CrossRef]
- Yee, K. Numerical solution of initial boundary value problems involving Maxwell’s equations in isotropic media. IEEE Trans. Antennas Propag. 1966, 14, 302–307. [Google Scholar]
- Taflove, A.; Hagness, S.C. Computational Electrodynamics: The Finite-Difference Time-Domain Method; Artech House: Norwood, MA, USA, 2005. [Google Scholar]






| ESCS Type | Geometric Parameters | Relative IAE | |
|---|---|---|---|
| (μm) | (μm) | ||
| One RC | 11.2 | 1.7 | 1.128 |
| Two RCs | 4.6 | 2.1 | 1.127 |
| Three RCs | 2.6 | 1.8 | 1.144 |
| One EC | 11.8 | 1.3 | 1.130 |
| Two ECs | 5.2 | 1.7 | 1.132 |
| Three ECs | 3.2 | 1.5 | 1.152 |
© 2020 by the authors. Licensee MDPI, Basel, Switzerland. This article is an open access article distributed under the terms and conditions of the Creative Commons Attribution (CC BY) license (http://creativecommons.org/licenses/by/4.0/).
Share and Cite
Yeh, Y.-Y.; Shen, C.-H.; Chen, C.-F. Infrared Absorption Efficiency Enhancement of the CMOS Compatible Thermopile by the Special Subwavelength Hole Arrays. Appl. Sci. 2020, 10, 2966. https://doi.org/10.3390/app10082966
Yeh Y-Y, Shen C-H, Chen C-F. Infrared Absorption Efficiency Enhancement of the CMOS Compatible Thermopile by the Special Subwavelength Hole Arrays. Applied Sciences. 2020; 10(8):2966. https://doi.org/10.3390/app10082966
Chicago/Turabian StyleYeh, Yun-Ying, Chih-Hsiung Shen, and Chi-Feng Chen. 2020. "Infrared Absorption Efficiency Enhancement of the CMOS Compatible Thermopile by the Special Subwavelength Hole Arrays" Applied Sciences 10, no. 8: 2966. https://doi.org/10.3390/app10082966
APA StyleYeh, Y.-Y., Shen, C.-H., & Chen, C.-F. (2020). Infrared Absorption Efficiency Enhancement of the CMOS Compatible Thermopile by the Special Subwavelength Hole Arrays. Applied Sciences, 10(8), 2966. https://doi.org/10.3390/app10082966
