Next Article in Journal
Deep Learning Architecture for Collaborative Filtering Recommender Systems
Next Article in Special Issue
A Methodology for Determining the Rehabilitation Needs of Buildings
Previous Article in Journal
Mangrove Soil-Borne Trace Elements in Qi’ao Island: Implications for Understanding Terrestrial Input of Trace Elements into Part of the Pearl River Estuary
Previous Article in Special Issue
The S-Curve as a Tool for Planning and Controlling of Construction Process—Case Study
 
 
Font Type:
Arial Georgia Verdana
Font Size:
Aa Aa Aa
Line Spacing:
Column Width:
Background:
Article

Creep Assessment of the Cement Matrix of Self-Compacting Concrete Modified with the Addition of Nanoparticles Using the Indentation Method

by
Paweł Niewiadomski
* and
Damian Stefaniuk
Faculty of Civil Engineering, Wroclaw University of Science and Technology, Wybrzeże Wyspiańskiego 27, 50-370 Wroclaw, Poland
*
Author to whom correspondence should be addressed.
Appl. Sci. 2020, 10(7), 2442; https://doi.org/10.3390/app10072442
Submission received: 2 March 2020 / Revised: 31 March 2020 / Accepted: 1 April 2020 / Published: 3 April 2020

Abstract

In recent years, there has been an increased interest in the modification of cement composites with finer materials, including nanoparticles. Multi-scale studies are needed to fully assess the effect of nanoparticles and provide a complete overview of their impact on both the structure of an obtained material and its important mechanical parameters, such as creep. Therefore, the purpose of this paper is to fill the knowledge gap in the literature concerning the assessment of the creep of a cement matrix of self-compacting concrete modified with the addition of SiO2, TiO2, and Al2O3 nanoparticles using the indentation method. Depending on the type of used nanoparticles, we found an increase or decrease of the creep coefficient CIT in comparison to the reference series. The obtained results were scrupulously analyzed in terms of statistics, which enabled the conclusion that the addition of nanoparticles does not significantly affect the creep of the cement matrix of self-compacting concrete. The methodology used in this paper allowed us to shorten the time needed to assess the creep phenomenon compared to traditional methods and fill the corresponding knowledge gap in the literature.

1. Introduction

In recent years, there has been a growing interest in the possibility of using nanometric materials as a potential additive for the production of cement composites [1]. This is mainly due to the unique properties of nanoparticles, such as their large specific surface area and chemical activity [2]. Until now, attempts have been made to determine the effect of some nanoparticles on the selected physical and mechanical properties of cement composites obtained with their use. Research included the influence of nanoparticles on the following concrete parameters: porosity [3], water absorption [4], compressive strength [5], bending strength [6], and the destruction process [7]. In the literature, however, in the case of concretes made with the addition of nanoparticles, there is no research concerning mechanical parameters related to rheology, such as creep.
Knowledge of the creep effect and of the possibility of its conscious control is important with regard to the durability and maintenance of objects made of concrete [8]. As a rule, when assessing the creep of concrete at the macro-scale, this material is treated as homogeneous, consisting mainly of aggregates. The standard methods that are used for such materials to determine concrete creep are time- and labor-consuming [9]. However, it has been proved that the effective mechanical parameters of concrete are significantly affected by the properties of the structure of the cement matrix observed at micro and nano levels [10], which should be assessed using appropriate techniques. One such technique is the indentation method.
Indentation is a method for measuring the mechanical properties of a material. This method is based on pressing a hard indenter in the form of, e.g., a diamond pyramid (Berkovich indenter) into a sample. Indentation research can be carried out at several levels of observation, from macro, to micro and to nano. The value of force applied to the surface of the sample being tested and the corresponding size of the obtained imprint, are directly related to the volume of the material subjected to the test. In the process of indentation, three stages can be distinguished: loading—the indenter is pressed into the material at a given speed until reaching the assumed force, which depends on the type of material; retaining the indenter in the material for a specified period of time; and unloading—usually at the same speed at which the indenter was pressed. The possibility of continuous monitoring of the indentation process enables the following material parameters to be determined: hardness µH, observed at micro-scale, and the indentation module µE [11]. It also allows rheological parameters such as creep [12] or relaxation [13] to be calculated.
When determining the creep of a cement matrix using the indentation method, which is a form of microstructural analysis, it is necessary to take into account several factors that affect the obtained results [14]. They include the preparation of the samples, the oxidation of the tested surface, the friction and adhesion of the indenter tip, the roughness of the tested surface, the surface of the imprint, and also the development of displacements. Particular attention should also be paid to the time of loading and unloading increase, the time of constant loading, and the number of loading and unloading cycles [14]. It is also worth noting that the assessment of creep using the method of indentation correlates well with the macroscopic assessment and also significantly accelerates the time of the study [15].
So far, many studies have concerned the subject of creep in ordinary, high-performance and self-compacting concrete (SCC). In a paper [16], it was proved that creep is greatly reduced by the use of ultrafine ground granulated blast-furnace slag (GGBS) and silica fume (SF). In addition, a reduction of creep by even more than 50% can be expected when the fly ash replacement level is increased from 35% to 60% [17]. Short-term tensile creep was investigated in concrete with the addition of steel fibers in a study [18], where it was demonstrated that incorporation of short steel fibers decreased the tensile creep coefficient and the specific creep in 14 days. The cement type has a significant influence on creep, as described in a study [19]. In turn, Persson [20] demonstrated that creep and shrinkage of self-compacting concrete did not differ significantly compared to those of ordinary concrete. Nevertheless, there is less research concerning the influence of nanoparticles on creep in self-compacting concrete.
Considering the above, the purpose of the paper was the filling of a knowledge gap in the literature, concerning the assessment of the creep of a self-compacting concrete cement matrix modified with the addition of nanoparticles, using the indentation method.

2. Materials and Methods

The following components were used to make the self-compacting concrete mixes for testing: Portland cement CEM I 52.5R with a density of 3.10 g/cm3, which meets the requirements of PN-EN 197-1 [21] and has the chemical and phase composition shown in Table 1; an innovative third-generation superplasticizer (SP) Glenium Sky 600 produced by BASF, based on polycarboxylic ether (PCE) polymers, with a density of 1.08 g/cm3, used in a quantity equal to 4.0% of the cement weight; potable tap water; a granite aggregate with an average density of 2.61 g/cm3, supplied by Tampereen Kovakivi Oy, which had fractions of 10–5, 5–2, 2–1, 1.2–0.5, 0.6–0.1 mm, and one fraction with a grain size <0.1 mm acting as a fine filler. The fine aggregate, with a fraction of up to 2 mm, constituted 48% of the total aggregate. The particle size distribution curve of the granite aggregate that was used for testing is shown in Figure 1. For the designed concrete mixes, the water to cement W/C ratio was equal to 0.42.
The composition of the concrete mix was modified with the following nanoparticles in the form of dry powder in the amount of 4.0% of the cement weight: SiO2 (Figure 2a) with particle size <20 nm, density of 2.4 g/mL at 25 °C, purity of 99.5%, and specific surface area equal to 450 m2/g; TiO2 (Figure 2b), with particle size <25 nm, density of 3.9 g/mL at 25 °C, purity of 99.7%, and specific surface area equal to 50 m2/g; Al2O3 (Figure 2c), with particle size <50 nm and specific surface area of 40 m2/g. The authors decided to use the highest content of nanoparticles (4.0%) used in previous studies [22] to see if a significant modification of SCC composition with the addition of nanoparticles has an impact on the properties of the hardened cement matrix. Generally speaking, using a lower content of nanoparticles (0.5% and 2.0%) resulted in slightly visible effects in previous tests [22], while using more than 4.0% of nanoparticles required a bigger amount of superplasticizer (>4.0%, which is not reasonable) to obtain the proper characteristics of a self-compacting concrete mix (slump flow > 550 mm). The nanoparticles used in the tests were provided by Sigma Aldrich.
Four self-compacting concrete mixes were designed and made with the above ingredients, one of which was prepared without the addition of nanoparticles, as a control. The compositions of all the designed mixes per 1 m3 are presented in Table 2.
From each mix, with the designation and composition given in Table 2, a series of 12 cuboid specimens with dimensions of 40 × 40 × 160 mm were made. They were then matured in a climatic chamber at an air temperature of 20 °C (± 1 °C) and a relative humidity of 95% (± 5%). These series were marked identically as mixes S0, S1, S2, and S3. After one year, cylindrical samples of 25 mm in diameter and 20 mm in height were cut from the previously prepared cuboid specimens. The samples were cut from the centre of the specimens to avoid the boundary effect. In order to properly prepare the surface for the creep tests using the indentation method, the cylindrical samples were first immersed in epoxy resin in a vacuum machine that had an inside pressure of 0.07 bar, and their surfaces were then ground using 320 grit sandpaper and a 9, 3, and 1 μm graded diamond slurry until a smooth surface was obtained. The samples for the creep tests using the indentation method are shown in Figure 3.
Due to the large diversity of the tested material, a large number of measurements was necessary for the results to be statistically well interpreted [23]. Therefore, each sample was subjected to a minimum of 80 creep measurements in a vast area of the cement matrix, while at the same time maintaining an imprint spacing of a minimum of 20 μm. For the measurements, a Poisson’s ratio value of 0.3 was adopted for the tested concretes.
The TTX-NHT nanoindenter with a Berkovich indenter was used during the creep tests. According to the definition of creep, the test involved the introduction of an additional period of time during the standard process of indentation. During this time, the maximum load value was maintained, and the depth increase was measured, which is schematically shown in Figure 4.
During the test, the samples were loaded at a speed of 400 mN/min until the maximum load of 200 mN was obtained. Afterwards, at the creep stage, the maximum load value was maintained for a period of 300 s. Such a period of time enabled the deformation due to creep to be reduced to 5.0% [14]. The last stage involved unloading at a speed of 400 mN/min. The applied load range resulted in imprints up to 6 μm deep. The creep qualitative difference in the tested cement matrixes of the self-compacting concretes was measured using the creep coefficient CIT, which is expressed as:
C I T = h 2 h 1 h 1 100   [ % ] ,
where h1 is the depth reached by the indenterover time t1 (immersion), and thus when obtaining the maximum load Fmax, and h2 is the indenter immersion between the creep phase and the beginning of the unloading phase t2 (see Figure 5).
It should be noted that the lower the value of the creep coefficient CIT, the greater the resistance of the cement matrix to long-term loading, and this is a positive phenomenon.
We analyzed not only the CIT coefficient but also the course of the creep phase curves. This is because two different samples may have the same CIT coefficient for a given creep time, but different rheological behaviour is nature (see Figure 6). This could occur if the time for the creep phase was not chosen correctly (in particular, if the creep time was too short).
During indentation, continuous monitoring can reveal that some results are inconsistent, e.g., due to the occurrence of discontinuities in the matrix structure under the examined point [10]. Therefore, the curves that were inconsistent during the measurements were rejected and not further analyzed. As a result, approximately 5%–8% of the measurements—depending on the analysed sample—were rejected.
To better describe the tested series of self-compacting concretes, basic rheological, physical, and mechanical properties are shown in Table 3, Table 4 and Table 5 (a full description of the tests is available in a previous paper [23]). Selected characteristics included the time of reaching a slump with a diameter of 500 mm, the maximum slump diameter, the total air content, the compressive and bending tensile strengths after 28 days of probes maturing.

3. Results

Figure 7 shows examples of indentation prints for all the tested series of self-compacting concrete.
To accurately track and visualize the test results, we obtained a set of indenter immersion curves, in particular for the creep phase, as well as the averaged outline of the above-mentioned curves and the standard deviation for the reference sample S0 (without the addition of nanoparticles), as shown in Figure 8.
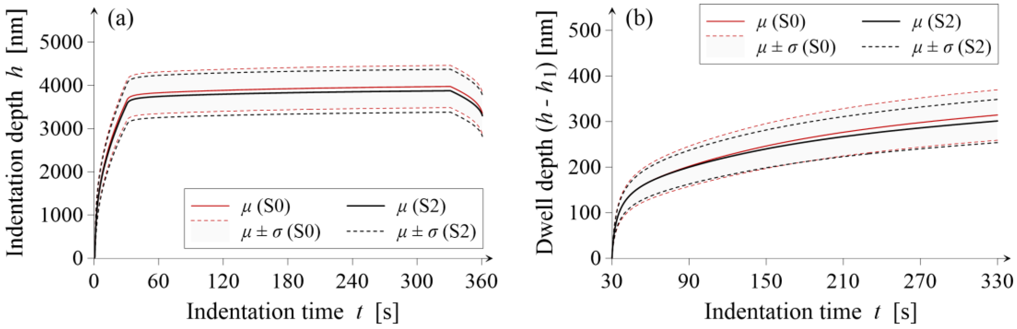
In turn, Figure 9, Figure 10 and Figure 11 show a comparison of the average indenter immersion during all the indentation phases as well as in the creep phase only for series S0 and S1, S0 and S2, and S0 and S3, respectively.
To compare the obtained results, Table 6 presents the average values μ and standard deviations σ of the creep coefficient CIT for all the tested series of self-compacting cement matrices.
In turn, to illustrate the statistical distribution of the obtained results, Figure 12 presents the histograms of the creep coefficient (CIT) for the S0, S1, S2, and S3 series samples.
Based on Figure 12, it can be concluded that the results of the creep coefficient CIT obtained for all the tested series fit well into the Gaussian distribution (except for series S0). This proves that the number of measurements adopted for testing each series (except S0) was sufficient for statistical inference.

4. Discussion

Based on the obtained results (Figure 9, Figure 10 and Figure 11), it can be concluded that the addition of SiO2 (S1 series) and Al2O3 (S3 series) nanoparticles increased the creep coefficient CIT and the addition of TiO2 nanoparticles (S2 series) reduced the creep coefficient CIT in comparisonto the reference series S0, which did not contain nanoparticles. It should be noted, however, that the obtained average values of the creep coefficient µcIT for the series S1, S2, and S3 were in each case within the range of the standard deviation σcIT that was obtained for the series S0.
Moreover, the difference between the mean values of the creep coefficient µCIT for the tested series was not more than 6.7%. Therefore, it can be said that the addition of nanoparticles did not significantly affect the creep of the cement matrix of self-compacting concretes. This is a surprising result with regard to the hardness test results that were obtained for the same series of concrete by Niewiadomski et al. [22]. In this paper, the authors stated that the addition of nanoparticles caused an increase in the hardness of a cement matrix, which was measured at the micro-scale. However, it should be noted that the two tests performed in that sudy were focused on two non-identical properties of hardened cement matrix (creep and hardness), and the parameters of the tests differed qualitatively.
When considering the above research results, it can be said that the impact of nanoparticles on the rheological parameters of a cement matrix is insignificant. In addition, when assuming that nanoparticles do not significantly affect the interfacial transition zone ITZ between the cement matrix and the aggregate (the analysis of the ITZ of the composite was conducted in [24]), it can be concluded that nanoparticles also have a slight effect on the rheological parameters of hardened composites based on a cement matrix, such as self-compacting concrete.
Nevertheless, it is worth emphasizing that the results provided in this article improve the state of knowledge concerning the impact of nanoparticles on the physical and mechanical properties of both hardened self-compacting concrete and its cement matrix.
It is worth considering further directions of research regarding the impact of nanoparticles on the properties of cement matrices. Interference at the micro, or even nano level, in the structure of cement composites can be an important issue that allows concrete to be modified for a specific purpose.

5. Conclusions

This paper evaluates, using the indentation method, the creep of the cement matrix of self-compacting concrete, which is modified by the addition of SiO2, TiO2, and Al2O3 nanoparticles. It thus expands our knowledge concerning this subject. It turned out that the addition of SiO2 and Al2O3 nanoparticles in an amount of 4.0% of the cement weight increased the creep coefficient CIT of the cement matrix when compared to the reference series, which is an adverse phenomenon. In turn, the use of TiO2 nanoparticles in an amount of 4.0% of the cement weight resulted in a decrease of the value of the creep coefficient CIT,which can be considered beneficial. It is worth emphasizing, however, that the analysis of the obtained results with regard to statistical purposes indicated that the addition of nanoparticles did not significantly affect the creep of the cement matrix of self-compacting concrete. Nevertheless, the methodology used in this study allowed shortening the time needed to evaluate the cement matrix creep phenomenon in comparison to traditional methods.

Author Contributions

Conceptualization, P.N. and D.S.; methodology, D.S.; software, D.S.; validation, P.N. and D.S.; formal analysis, P.N. and D.S.; investigation, P.N.; resources, P.N. and D.S.; data curation, D.S.; writing—original draft preparation, P.N.; writing—review and editing, P.N.; visualization, D.S.; supervision, D.S.; project administration, P.N.; funding acquisition, P.N. All authors have read and agreed to the published version of the manuscript.

Funding

This research received no external funding.

Conflicts of Interest

The authors declare no conflict of interest.

References

  1. Sanchez, F.; Sobolev, K. Nanotechnology in concrete—A review. Constr. Build. Mater. 2010, 24, 2060–2071. [Google Scholar] [CrossRef]
  2. Li, H.; Xiao, H.-G.; Yuan, J.; Ou, J. Microstructure of cement mortar with nano-particles. Compos. Part B Eng. 2004, 35, 185–189. [Google Scholar] [CrossRef]
  3. Du, H.; Du, S.; Liu, X. Durability performances of concrete with nano-silica. Constr. Build. Mater. 2014, 73, 705–712. [Google Scholar] [CrossRef]
  4. Ji, T. Preliminary study on the water permeability and microstructure of concrete incorporating nano-SiO2. Cem. Concr. Res. 2005, 35, 1943–1947. [Google Scholar] [CrossRef]
  5. Li, H.; Xiao, H.-G.; Ou, J.-P. A study on mechanical and pressure-sensitive properties of cement mortar with nanophase materials. Cem. Concr. Res. 2004, 34, 435–438. [Google Scholar] [CrossRef]
  6. Beigi, M.H.; Berenjian, J.; Omran, O.L.; Sadeghi-Nik, A.; Nikbin, I.M. An experimental survey on combined effects of fibers and nanosilica on the mechanical, rheological, and durability properties of self-compacting concrete. Mater. Des. 2013, 50, 1019–1029. [Google Scholar] [CrossRef]
  7. Niewiadomski, P.; Hoła, J. Failure process of compressed self-compacting concrete modified with nanoparticles assessed by acoustic emission method. Autom. Constr. 2020, 112, 103111. [Google Scholar] [CrossRef]
  8. Vandamme, M.; Ulm, F.-J. Nanogranular origin of concrete creep. Proc. Natl. Acad. Sci. USA 2009, 106, 10552–10557. [Google Scholar] [CrossRef]
  9. Acker, P.; Ulm, F.-J. Creep and shrinkage of concrete: Physical origins and practical measurements. Nucl. Eng. Des. 2001, 203, 143–158. [Google Scholar] [CrossRef]
  10. Sadowski, Ł.; Stefaniuk, D.; Żak, A.M.; Krakowiak, K.J. Micromechanical properties within the interphase between heterogeneous layers made of cementitious composites. Constr. Build. Mater. 2019, 215, 1033–1043. [Google Scholar] [CrossRef]
  11. Oliver, W.; Pharr, G. An improved technique for determining hardness and elastic modulus using load and displacement sensing indentation experiments. J. Mater. Res. 1992, 7, 1564–1583. [Google Scholar] [CrossRef]
  12. Jones, C.; Grasley, Z.C. Short-term creep of cement paste during nanoindentation. Cem. Concr. Compos. 2011, 33, 12–18. [Google Scholar] [CrossRef]
  13. Frech-Baronet, J.; Sorelli, L.; Charron, J.-P. New evidences on the effect of the internal relative humidity on the creep and relaxation behaviour of a cement paste by micro-indentation techniques. Cem. Concr. Res. 2017, 91, 39–51. [Google Scholar] [CrossRef]
  14. Němeček, J. Creep effects in nanoindentation of hydrated phases of cement pastes. Mater. Charact. 2009, 60, 1028–1034. [Google Scholar] [CrossRef]
  15. Vandamme, M.; Ulm, F.-J. Nanoindentation investigation of creep properties of calcium silicate hydrates. Cem. Concr. Res. 2013, 52, 38–52. [Google Scholar] [CrossRef]
  16. Li, J.; Yao, Y. A study on creep and drying shrinkage of high performance concrete. Cem. Concr. Res. 2001, 31, 1203–1206. [Google Scholar] [CrossRef]
  17. Kristiawan, S.A.; Nugroho, A.P. Creep Behaviour of Self-compacting Concrete Incorporating High Volume Fly Ash and its Effect on the Long-term Deflection of Reinforced Concrete Beam. Procedia Eng. 2017, 171, 715–724. [Google Scholar] [CrossRef]
  18. Garas, V.Y.; Kahn, L.F.; Kurtis, K.E. Short-term tensile creep and shrinkage of ultra-high performance concrete. Cem. Concr. Compos. 2009, 31, 147–152. [Google Scholar] [CrossRef]
  19. Leemann, A.; Lura, P.; Loser, R. Shrinkage and creep of SCC – The influence of paste volume and binder composition. Constr. Build. Mater. 2011, 25, 2283–2289. [Google Scholar] [CrossRef]
  20. Persson, B. A comparison between mechanical properties of self-compacting concrete and the corresponding properties of normal concrete. Cem. Concr. Res. 2001, 31, 193–198. [Google Scholar] [CrossRef]
  21. PN-EN 197-1:2012 Cement—Part 1: Composition, Specifications and Conformity Criteria for Common Cements; Polish Committee for Standardization: Warsaw, Poland, 2012; Available online: https://infostore.saiglobal.com/preview/is/en/2011/i.s.en197-1-2011.pdf?sku=1492629 (accessed on 6 April 2019).
  22. Niewiadomski, P.; Hoła, J.; Cwirzen, A. Study on properties of self-compacting concrete modified with nanoparticles. Arch. Civ. Mech. Eng. 2018, 18, 877–886. [Google Scholar] [CrossRef]
  23. Sorelli, L.; Constantinides, G.; Ulm, F.-J.; Toutlemonde, F. The nano-mechanical signature of Ultra High Performance Concrete by statistical nanoindentation techniques. Cem. Concr. Res. 2008, 38, 1447–1456. [Google Scholar] [CrossRef]
  24. Stefaniuk, D.; Niewiadomski, P.; Musiał, M.; Łydżba, D. Elastic properties of self-compacting concrete modified with nanoparticles: Multiscale approach. Arch. Civ. Mech. Eng. 2019, 19, 1150–1162. [Google Scholar] [CrossRef]
Figure 1. Grading curve of the aggregate.
Figure 1. Grading curve of the aggregate.
Applsci 10 02442 g001
Figure 2. SEM images of nanoparticles: (a) SiO2; (b) TiO2; (c) Al2O3.
Figure 2. SEM images of nanoparticles: (a) SiO2; (b) TiO2; (c) Al2O3.
Applsci 10 02442 g002
Figure 3. Samples prepared for creep tests based on the indentation method.
Figure 3. Samples prepared for creep tests based on the indentation method.
Applsci 10 02442 g003
Figure 4. (a) Standard indentation curve and (b) indentation curve that includes creep.
Figure 4. (a) Standard indentation curve and (b) indentation curve that includes creep.
Applsci 10 02442 g004
Figure 5. (a) Indentation curve including loading, creep, and unloading and (b) extracted creep phase only.
Figure 5. (a) Indentation curve including loading, creep, and unloading and (b) extracted creep phase only.
Applsci 10 02442 g005
Figure 6. Indentation curve for the creep phase of two hypothetical samples with the same creep coefficient CIT.
Figure 6. Indentation curve for the creep phase of two hypothetical samples with the same creep coefficient CIT.
Applsci 10 02442 g006
Figure 7. Exemples of indentation imprints for samples of the series (a) S0, (b) S1, (c) S2, and (d) S3.
Figure 7. Exemples of indentation imprints for samples of the series (a) S0, (b) S1, (c) S2, and (d) S3.
Applsci 10 02442 g007
Figure 8. (a) Indenter immersion curves for all the indentation phases, (b) indenter immersion curves for the creep phase only, (c) mean (μ) indenter immersion for all the indentation phases (σ means one standard deviation), and (d) average immersion for the creep phase only. Reference sample S0.
Figure 8. (a) Indenter immersion curves for all the indentation phases, (b) indenter immersion curves for the creep phase only, (c) mean (μ) indenter immersion for all the indentation phases (σ means one standard deviation), and (d) average immersion for the creep phase only. Reference sample S0.
Applsci 10 02442 g008
Figure 9. (a) Average indenter immersion during all the indentation phases and (b) average immersion in the creep phase only. Results for sample S1 versus the reference sample S0.
Figure 9. (a) Average indenter immersion during all the indentation phases and (b) average immersion in the creep phase only. Results for sample S1 versus the reference sample S0.
Applsci 10 02442 g009
Figure 10. (a) Average indenter immersion during all the indentation phases and (b) average immersion in the creep phase only. Results for sample S2 versus the reference sample S0.
Figure 10. (a) Average indenter immersion during all the indentation phases and (b) average immersion in the creep phase only. Results for sample S2 versus the reference sample S0.
Applsci 10 02442 g010
Figure 11. (a) Average indenter immersion during all the indentation phases and (b) average immersion in the creep phase only. Results for sample S3 versus the reference sample S0.
Figure 11. (a) Average indenter immersion during all the indentation phases and (b) average immersion in the creep phase only. Results for sample S3 versus the reference sample S0.
Applsci 10 02442 g011
Figure 12. Histograms of the creep coefficient CIT for samples (a) S0, (b) S1, (c) S2, and (d) S3.
Figure 12. Histograms of the creep coefficient CIT for samples (a) S0, (b) S1, (c) S2, and (d) S3.
Applsci 10 02442 g012
Table 1. Chemical and phase composition of Portland cement CEM I 52.5R.
Table 1. Chemical and phase composition of Portland cement CEM I 52.5R.
Component[wt. %]Phase[wt.%]
CaO65.0C3S56.3
SiO222.0C2S20.8
Al2O35.4C3A8.7
Fe2O33.3C4AF10.0
MgO3.2
Cl-≤0.08
Loss of ignition3.0
Table 2. Composition of the designed mixes.
Table 2. Composition of the designed mixes.
Concrete MixNanoparticles and their Amount [%]Cement [kg/m3]Aggregate [kg/m3]Water [kg/m3]Nanoparticles [kg/m3]SP [kg/m3]
S0-460.01640.0193.2-18.4
S1SiO2—4.0%441.61640.0193.218.418.4
S2TiO2—4.0%441.61640.0193.218.418.4
S3Al2O3—4.0%441.61640.0193.218.418.4
Table 3. Rheological properties of self-compacting concrete mixes (based on [22]).
Table 3. Rheological properties of self-compacting concrete mixes (based on [22]).
Concrete MixNanoparticles and their Amount [%]Time of Reaching a Slump with a Diameter of 500 mm T500 [s]Slump Diameter D [mm]
S0-2.9760
S1SiO2—4.0%-370
S2TiO2—4.0%2.6735
S3Al2O3—4.0%5.5510
Table 4. Physical properties of self-compacting concrete mixes (based on [22]).
Table 4. Physical properties of self-compacting concrete mixes (based on [22]).
Concrete MixNanoparticles and their Amount [%]Total Air Content A [%]
S0-1.29
S1SiO2—4.0%2.39
S2TiO2—4.0%1.37
S3Al2O3—4.0%1.75
Table 5. Mechanical properties of self-compacting concrete mixes (based on [22]).
Table 5. Mechanical properties of self-compacting concrete mixes (based on [22]).
Concrete MixNanoparticles and their Amount [%]Compressive Strength fcm after 28 Days [MPa]Bending Tensile Strength fctm,fl after 28 Days [MPa]
S0-67.28.9
S1SiO2—4.0%72.49.0
S2TiO2—4.0%66.78.4
S3Al2O3—4.0%64.18.5
Table 6. Mean values (μ), standard deviations (σ), and the creep coefficient (CIT).
Table 6. Mean values (μ), standard deviations (σ), and the creep coefficient (CIT).
Concrete SeriesS0S1S2S3
μCIT [%]8.498.968.329.06
σCIT [%]1.461.361.261.03
σCIT / μCIT0.1720.1520.1510.114

Share and Cite

MDPI and ACS Style

Niewiadomski, P.; Stefaniuk, D. Creep Assessment of the Cement Matrix of Self-Compacting Concrete Modified with the Addition of Nanoparticles Using the Indentation Method. Appl. Sci. 2020, 10, 2442. https://doi.org/10.3390/app10072442

AMA Style

Niewiadomski P, Stefaniuk D. Creep Assessment of the Cement Matrix of Self-Compacting Concrete Modified with the Addition of Nanoparticles Using the Indentation Method. Applied Sciences. 2020; 10(7):2442. https://doi.org/10.3390/app10072442

Chicago/Turabian Style

Niewiadomski, Paweł, and Damian Stefaniuk. 2020. "Creep Assessment of the Cement Matrix of Self-Compacting Concrete Modified with the Addition of Nanoparticles Using the Indentation Method" Applied Sciences 10, no. 7: 2442. https://doi.org/10.3390/app10072442

APA Style

Niewiadomski, P., & Stefaniuk, D. (2020). Creep Assessment of the Cement Matrix of Self-Compacting Concrete Modified with the Addition of Nanoparticles Using the Indentation Method. Applied Sciences, 10(7), 2442. https://doi.org/10.3390/app10072442

Note that from the first issue of 2016, this journal uses article numbers instead of page numbers. See further details here.

Article Metrics

Back to TopTop