Numerical Investigation on Aerodynamic Performance of SCO2 and Air Radial-Inflow Turbines with Different Solidity Structures
Abstract
Featured Application
Abstract
1. Introduction
2. Modeling
2.1. Establishment of Automatic Design Process
2.2. Research Model
3. Methodology
3.1. Validation of Computational Method
3.2. Validation of Fluid Property
4. Results and Discussion
4.1. Distributions of Flow Parameters
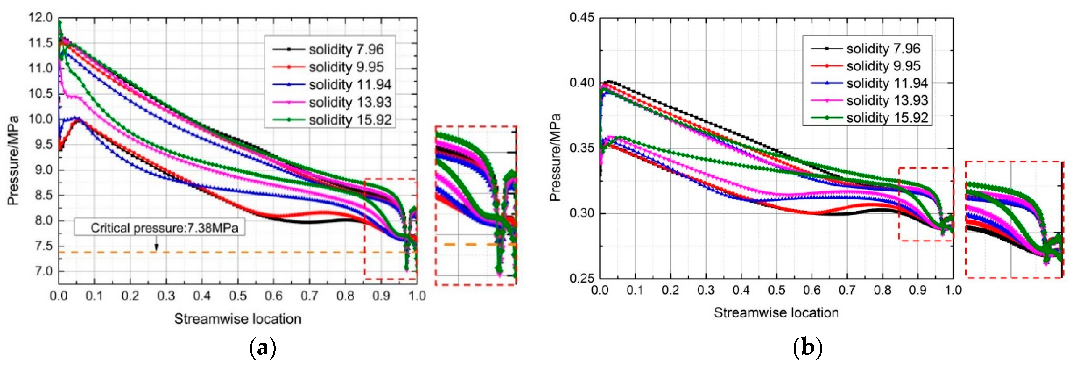
4.1.1. Pressure Distribution
4.1.2. Entropy Distribution
4.2. Rotor Blade Load and Aerodynamic Force
4.3. Aerodynamic Performance
5. Conclusions
- For both SCO2 and air, with the increase of rotor solidity, the working capacity for each blade declines. The cross section of hub has the highest power ability. Comparing five kinds of solidity, the pressure along spanwise tends to be more uniform as the solidity decreases. Small rotor solidity can result in the chaotic flow at the inlet of impeller, which further leads to the nonuniform pressure distribution. Large solidity disturbs the flow at the outlet and the blocking flow increases the trans-critical area in SCO2 turbine. Comparing two working fluids, the air turbine has no trans-critical area and the low-pressure region at the suction side of the rotor blade trailing edge vanishes.
- The aerodynamic loss of the SCO2 and air turbine mainly concentrates on the hub and shroud area due to the boundary layer effect of the impeller. For SCO2, when solidity is 7.96, the highest static entropy locates at the shroud due to the vacant flow passage. When solidity is 15.92, the highest static entropy locates at the hub on account of the limited flow area. For air, the increase of solidity less affects the aerodynamic loss and the entropy production mainly concentrates on the shroud.
- For both SCO2 and air, the solidity mainly affects the pressure distribution on the suction side and the pressure on the pressure side is of minor variation. In the SCO2 turbine, large solidity corresponds to lower power capacity and greater trans-critical area of each blade. The high density of SCO2 working fluid causes much higher axial thrust than air.
- For both SCO2 and air, the output power and isentropic efficiency of the turbine first increases and then decreases with the augment of solidity. In the SCO2 turbine, the isentropic efficiency reaches the maximum 90.54% and the maximum output power is 341.87 kW when solidity is 11.94. While in the air turbine, the maximum isentropic efficiency is 85.02% and the maximum output power is 10.41 kW when solidity is 13.93. In the preliminary design of a SCO2 radial-inflow turbine, the best solidity is around 12 and for an air turbine, it is around 14. Arranging the ss offset splitter can improve the flow condition and the aerodynamic performance of the low solidity case.
Author Contributions
Funding
Conflicts of Interest
References
- Garg, P.; Kumar, P.; Srinivasan, K. Supercritical carbon dioxide Brayton cycle for concentrated solar power. J. Supercrit. Fluids 2013, 76, 54–60. [Google Scholar] [CrossRef]
- Chen, M.-F.; Yamaguchi, H.; Zhang, X.-W.; Niu, X.-D. Performance analyses of a particularly designed turbine for a supercritical CO2-based solar Rankine cycle system. Int. J. Energy Res. 2015, 39, 1819–1827. [Google Scholar] [CrossRef]
- Osorio, J.D.; Hovsapian, R.; Ordonez, J.C. Dynamic analysis of concentrated solar supercritical CO2-based power generation closed-loop cycle. Appl. Therm. Eng. 2016, 93, 920–934. [Google Scholar] [CrossRef]
- Chacartegui, R.; de Escalona, J.M.M.; Sanchez, D.; Monje, B.; Sanchez, T. Alternative cycles based on carbon dioxide for central receiver solar power plants. Appl. Therm. Eng. 2011, 31, 872–879. [Google Scholar] [CrossRef]
- Valdes, M.; Abbas, R.; Rovira, A.; Martin-Aragon, J. Thermal efficiency of direct, inverse and sCO2 gas turbine cycles intended for small power plants. Energy 2016, 100, 66–72. [Google Scholar] [CrossRef]
- Dostal, V.; Hejzlar, P.; Driscoll, M.J. High-performance supercritical carbon dioxide cycle for next-generation nuclear reactors. Nucl. Technol. 2006, 154, 265–282. [Google Scholar] [CrossRef]
- Ahn, Y.; Bae, S.J.; Kim, M.; Cho, S.K.; Baik, S.; Lee, J.I.; Cha, J.E. Review of supercritical CO2 power cycle technology and current status of research and development. Nucl. Eng. Technol. 2015, 47, 647–661. [Google Scholar] [CrossRef]
- Mecheri, M.; Le Moullec, Y. Supercritical CO2 Brayton cycles for coal-fired power plants. Energy 2016, 103, 758–771. [Google Scholar] [CrossRef]
- Monje, B.; Sanchez, D.; Savill, M.; Pilidis, P.; Sanchez, T.; ASME. A Design Strategy for Supercritical CO2 Compressors; America Society Mechanical Engineers: New York, NY, USA, 2014. [Google Scholar]
- Zhang, H.; Zhao, H.; Deng, Q.; Feng, Z. Aerothermodynamic Design and Numerical Investigation of Supercritical Carbon Dioxide Turbine; America Society Mechanical Engineers: New York, NY, USA, 2015. [Google Scholar]
- Zhang, D.; Wang, Y.; Xie, Y. Investigation into Off-Design Performance of a S-CO2 Turbine Based on Concentrated Solar Power. Energies 2018, 11, 3014. [Google Scholar] [CrossRef]
- Baltadjiev, N.D.; Lettieri, C.; Spakovszky, Z.S. An Investigation of Real Gas Effects in Supercritical CO2 Centrifugal Compressors. J. Turbomach. Trans. ASME 2015, 137. [Google Scholar] [CrossRef]
- Conboy, T.; Wright, S.; Pasch, J.; Fleming, D.; Rochau, G.; Fuller, R. Performance Characteristics of an operating Supercritical CO2 Brayton Cycle. J. Eng. Gas Turbines Power 2012, 134, 941–952. [Google Scholar] [CrossRef]
- Lettieri, C.; Baltadjiev, N.; Casey, M.; Spakovszky, Z. Low-Flow-Coefficient Centrifugal Compressor Design for Supercritical CO2. J. Turbomach. Trans. ASME 2014, 136. [Google Scholar] [CrossRef]
- Lopez, A.; Monje, B.; Sanchez, D.; Chacartegul, R.; Sanchez, T. Effect of Turbulence and Flow Distortion on the Performance of Conical Diffusers Operating on Supercritical Carbon Dioxide; America Society Mechanical Engineers: New York, NY, USA, 2013. [Google Scholar]
- Noughabi, A.K.; Sammak, S. Detailed Design and Aerodynamic Performance Analysis of a Radial-Inflow Turbine. Appl. Sci. 2018, 8, 2207. [Google Scholar] [CrossRef]
- Deng, Q.; Shao, S.; Fu, L.; Luan, H.; Feng, Z. An Integrated Design and Optimization Approach for Radial Inflow Turbines-Part II: Multidisciplinary Optimization Design. Appl. Sci. 2018, 8, 2030. [Google Scholar] [CrossRef]
- Zweifel, O. The Spacing of Turbo-Machine Blading, Especially with Large Angular Deflection. Brown Boveri Rev. 1945, 32, 436–444. [Google Scholar]
- Horlock, J.H. Axial Flow Turbines; Butterworth-Heinemann: Oxford, UK, 1966. [Google Scholar]
- Chen, T.Y.; Liao, Y.T.; Cheng, C.C. Development of small wind turbines for moving vehicles: Effects of flanged diffusers on rotor performance. Exp. Therm. Fluid Sci. 2012, 42, 136–142. [Google Scholar] [CrossRef]
- Mohamed, M.H. Impacts of solidity and hybrid system in small wind turbines performance. Energy 2013, 57, 495–504. [Google Scholar] [CrossRef]
- Eboibi, O.; Danao, L.A.M.; Howell, R.J. Experimental investigation of the influence of solidity on the performance and flow field aerodynamics of vertical axis wind turbines at low Reynolds numbers. Renew. Energy 2016, 92, 474–483. [Google Scholar] [CrossRef]
- Gao, K.; Xie, Y.; Zhang, D. Effects of rotor solidity and leakage flow on the unsteady flow in axial turbine. Appl. Therm. Eng. 2018, 128, 926–939. [Google Scholar] [CrossRef]
- Simpson, A.T.; Spence, S.W.T.; Watterson, J.K. Numerical and Experimental Study of the Performance Effects of Varying Vaneless Space and Vane Solidity in Radial Turbine Stators. J. Turbomach. Trans. ASME 2013, 135. [Google Scholar] [CrossRef]
- Pereiras, B.; Takao, M.; Garcia, F.; Castro, F. Influence of the Guide Vanes Solidity on the Performance of a Radial Impulse Turbine with Pitch-Controlled Guide Vanes; America Society Mechanical Engineers: New York, NY, USA, 2011. [Google Scholar]
- Dong, B.S.; Xu, G.Q.; Li, T.T.; Quan, Y.K.; Zhai, L.J.; Wen, J. Numerical prediction of velocity coefficient for a radial-inflow turbine stator using R123 as working fluid. Appl. Therm. Eng. 2018, 130, 1256–1265. [Google Scholar] [CrossRef]
- Ji, G.H. Turbo-Expander, 1st ed.; China Machine Press: Beijing, China, 1982. [Google Scholar]
- Brennen, C.E. Hydrodynamics of Pumps; Cambridge University Press: Cambridge, UK, 2011. [Google Scholar]
- Deng, Q.; Shao, S.; Fu, L.; Luan, H.; Feng, Z. An Integrated Design and Optimization Approach for Radial Inflow Turbines-Part I: Automated Preliminary Design. Appl. Sci. 2018, 8, 2038. [Google Scholar] [CrossRef]
- Menter, F.R. 2-Equation Eddy-Viscosity Turbulence Models for Engineering Applications. AIAA J. 1994, 32, 1598–1605. [Google Scholar] [CrossRef]
- Roache, P.J. Perspective—A Method for Uniform Reporting of Grid Refinement Studies. J. Fluids Eng. -Trans. ASME 1994, 116, 405–413. [Google Scholar] [CrossRef]
- Paudel, S.; Saenger, N. Grid refinement study for three dimensional CFD model involving incompressible free surface flow and rotating object. Comput. Fluids 2017, 143, 134–140. [Google Scholar] [CrossRef]
- Kim, S.G.; Lee, J.; Ahn, Y.; Lee, J.I.; Addad, Y.; Ko, B. CFD investigation of a centrifugal compressor derived from pump technology for supercritical carbon dioxide as a working fluid. J. Supercrit. Fluids 2014, 86, 160–171. [Google Scholar] [CrossRef]
- Odabaee, M.; Sauret, E.; Hooman, K. CFD Simulation of a Supercritical Carbon Dioxide Radial-Inflow Turbine, Comparing the Results of Using Real Gas Equation of Estate and Real Gas Property File. Appl. Mech. Mater. 2016, 846, 85–90. [Google Scholar] [CrossRef]
- Ameli, A.; Uusitalo, A.; Turunen-Saaresti, T.; Backman, J. Numerical Sensitivity Analysis for Supercritical CO2 Radial Turbine Performance and Flow Field. In Proceedings of the 4th International Seminar on Orc Power Systems, Milan, Italy, 13–15 September 2017; Volume 129, pp. 1117–1124. [Google Scholar]

















| Parameter | A | B | C | D | E |
|---|---|---|---|---|---|
| Blade number | 8 | 10 | 12 | 14 | 16 |
| Impeller diameter/mm | 92.2 | ||||
| External diameter of outlet/mm | 40.6 | ||||
| Axial length/mm | 20 | ||||
| Blade height of inlet/mm | 2.97 | ||||
| Blade height of outlet/mm | 24.6 | ||||
| Inlet geometry angle/° | 90 | ||||
| Outlet geometry angle/° | 27 | ||||
| Chord length (c)/mm | 50 | ||||
| Pitch at trailing edge (s)/mm | 6.28 | 5.03 | 4.19 | 3.59 | 3.14 |
| Solidity (c/s) | 7.96 | 9.95 | 11.94 | 13.93 | 15.92 |
| Working Fluid | Total Pressure of Inlet/MPa | Total Temperature of Inlet/K | Static Pressure of Outlet/MPa | Rotation Speed/rpm |
|---|---|---|---|---|
| SCO2 | 15 | 550 | 8 | 50,000 |
| Air | 0.5 | 550 | 0.3 | 50,000 |
| Mesh | Total Element Number/104 | Mass Flow Rate/kg∙s−1 | GCI/% | Output Power/kW | GCI/% |
|---|---|---|---|---|---|
| Coarse(f3) | 113.2 | 6.581 | GCI23 = 1.02 GCI12 = 0.64 | 343.03 | GCI23 = 0.16 GCI12 = 0.05 |
| Medium(f2) | 193.6 | 6.549 | 342.16 | ||
| Fine(f1) | 335.4 | 6.529 | 341.87 |
| Parameter | Density/kg∙m−3 | Enthalpy/kJ∙kg−1 | Cp/J∙kg−1∙K−1 | Dynamic Viscosity/Pa∙s |
|---|---|---|---|---|
| Location | Inlet | |||
| CFX | 173.19 | 648.10 | 1243.97 | 2.6859 × 10−5 |
| NIST | 173.19 | 648.10 | 1244.00 | 2.6859 × 10−5 |
| Relative error/% | 0 | 0 | 0.002 | 0 |
| Location | Interface between stator and rotor | |||
| CFX | 144.15 | 630.05 | 1211.87 | 2.5113 × 10−5 |
| NIST | 144.14 | 630.05 | 1211.80 | 2.5111 × 10−5 |
| Relative error/% | 0.006 | 0 | 0.006 | 0.008 |
| Location | Outlet | |||
| CFX | 106.35 | 601.88 | 1159.11 | 2.2715 × 10−5 |
| NIST | 106.35 | 601.88 | 1159.10 | 2.2717 × 10−5 |
| Relative error/% | 0 | 0 | 0.001 | 0.009 |
© 2020 by the authors. Licensee MDPI, Basel, Switzerland. This article is an open access article distributed under the terms and conditions of the Creative Commons Attribution (CC BY) license (http://creativecommons.org/licenses/by/4.0/).
Share and Cite
Wang, Y.; Li, J.; Zhang, D.; Xie, Y. Numerical Investigation on Aerodynamic Performance of SCO2 and Air Radial-Inflow Turbines with Different Solidity Structures. Appl. Sci. 2020, 10, 2087. https://doi.org/10.3390/app10062087
Wang Y, Li J, Zhang D, Xie Y. Numerical Investigation on Aerodynamic Performance of SCO2 and Air Radial-Inflow Turbines with Different Solidity Structures. Applied Sciences. 2020; 10(6):2087. https://doi.org/10.3390/app10062087
Chicago/Turabian StyleWang, Yuqi, Jinxing Li, Di Zhang, and Yonghui Xie. 2020. "Numerical Investigation on Aerodynamic Performance of SCO2 and Air Radial-Inflow Turbines with Different Solidity Structures" Applied Sciences 10, no. 6: 2087. https://doi.org/10.3390/app10062087
APA StyleWang, Y., Li, J., Zhang, D., & Xie, Y. (2020). Numerical Investigation on Aerodynamic Performance of SCO2 and Air Radial-Inflow Turbines with Different Solidity Structures. Applied Sciences, 10(6), 2087. https://doi.org/10.3390/app10062087

