Further Study on the Effects of Wind Turbine Yaw Operation for Aiding Active Wake Management
Abstract
Featured Application
Abstract
1. Introduction
- (1)
- The size of the flow field is critical to the efficiency and accuracy of CFD calculations. With the continual increase of the size of wind turbines, it becomes more and more difficult to accurately predict their dynamics and power generation performance by performing CFD calculations on usual PCs. Then, defining the flow field properly to efficiently and accurately predicting the dynamics and performance of the turbine rotor during yaw operation is an issue that needs to be addressed first.
- (2)
- Although the blade loads during yaw operation have been studied many times previously [25,26], the load control of the hydraulic yaw brake that is used to aid yaw operation has rarely been studied in the literature. However, the load control of the hydraulic yaw brake is critical because the incorrect control of it can cause the failure of yaw operation. Thus, it is of great significance if new knowledge can be developed to aid yaw control.
- (3)
- The characteristics of the power produced during yaw operation have been studied before based on wind farm supervisory control and data acquisition (SCADA) data [22,27]. However, it is still not very clear of the power fluctuation during this process under combined conditions of wind shear, blade deflection, and turbine control.
2. Influences of the Size of Flow Field
- the computational accuracy of the edgewise and flapwise moments of the blade is significantly affected by the inlet and outlet diameters of the flow field. Moreover, the lower the wind speed, the more their influences on the results will tend to be.
- the smaller the inlet diameter, the larger the outlet diameter to inlet diameter ratio should be adopted in the calculation. Moreover, a small inlet diameter can decrease the accuracy of the calculation results, especially when the outlet diameter of the flow filed is not large enough.
- both edgewise and flapwise moments of the blade will be reduced when the turbine rotor is slow down. However, the change in rotor speed will not change the tendencies of the curves that reflect the influence of the flow field.
- the amount of CFD calculations is dependent on the number of meshes, while the number of meshes relies on the volume of the flow field. Through comparing the volumes of the flow field as well as the number of meshes obtained at different outlet diameter to inlet diameter ratios, it is found that a sharp cone-shaped flow field should be avoided in CFD calculations especially when the inlet diameter of the flow field is not large enough.
3. Impact of Yaw Operation on Wind Turbine Blades
3.1. Blade Loads during Yaw Operation
3.2. Prediction of the Blade Loads during Yaw Operation
- Step 1:
- Study the effects of individual factors on the blade loads. The factors include yaw angle, wind speed, rotor speed, and pitch angle;
- Step 2:
- Conduct the orthogonal experiment, i.e., the study of some representative points that are selected from the overall experiment according to the orthogonality;
- Step 3:
- Develop load models, i.e., the mathematical models of blade loads are developed, of which the variables are wind speed, rotor speed, yaw angle, and pitch angle.
4. Impact of Yaw Operation on Energy Capture Performance
4.1. Effects under Different Wind Shear Conditions
4.2. Effects of Blade Deflection
5. Conclusions
- An appropriate definition of the flow field is critical to the computational efficiency and accuracy of CFD calculations. Through comparing the volumes of the flow field as well as the number of meshes obtained at different outlet-diameter-to-inlet-diameter ratios, it is found that a sharp cone-shaped flow field should be avoided in CFD calculations, especially when the inlet diameter of the flow field is not large enough.
- During yaw operation, the bending moments in both flapwise and edgewise directions of the blade are not only dependent on wind speed, rotor speed, yaw angle, and pitch angle but are also dependent on the matching relationship of them. For example, the bending moments usually decrease with the increase of the yaw angle. However, the bending moments may show a different tendency when wind speed is low. Particularly, when rotor speed and wind speed are mismatched, negative bending moments can be observed.
- With the aid of the orthogonal experiment design, the mathematical models of the blade loads under combined environmental and turbine control conditions are established, which are of great significance to guide the control of the hydraulic yaw brake during yaw operation.
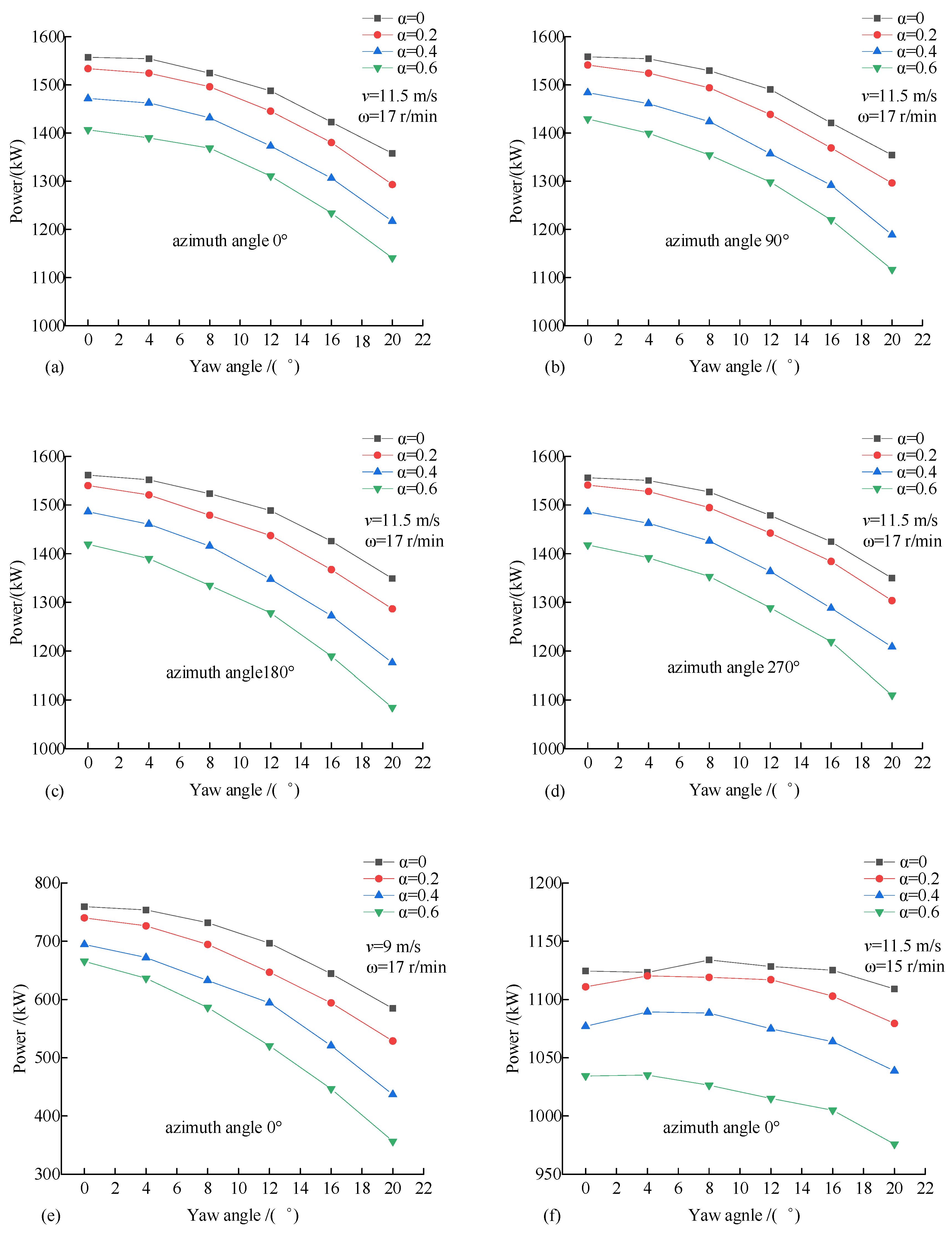
- Wind shear will not only reduce the energy capture performance of the wind turbine rotor but will also cause fluctuation to the power produced by the wind turbine. That will challenge the power quality of the wind farm if no measures are taken.
- A blade’s flapwise and edgewise deflections have different influences on the energy capture performance of the turbine rotor. Usually, the influence of the former is larger than that of the latter. However, it is interestingly found that the corresponding influence is reduced when the blade deflects simultaneously in both flapwise and edgewise directions, especially when wind speed is higher.
Author Contributions
Funding
Conflicts of Interest
References
- Zheng, W.C.; Li, C.Y.; Pan, J.; Liu, M.Y.; Xia, L.L. An Overview of Global Ocean Wind Energy Resource Evaluations. Renew. Sustain. Energy Rev. 2016, 53, 1240–1251. [Google Scholar] [CrossRef]
- Zheng, W.C.; Pan, J.; Li, J. Assessing the China Sea Wind Energy and Wave Energy Resources from 1988 to 2009. Ocean Eng. 2013, 65, 39–48. [Google Scholar] [CrossRef]
- Dai, J.; Yang, X.; Wen, L. Development of Wind Power Industry in China: A Comprehensive Assessment. Renew. Sustain. Energy Rev. 2018, 97, 156–164. [Google Scholar] [CrossRef]
- McKay, P.; Carriveau, R.; Ting, D.S. Wake Impacts on Downstream Wind Turbine Performance and Yaw Alignment. Wind Energy 2013, 16, 221–234. [Google Scholar] [CrossRef]
- Archer, L.C.; Vasel-Be-Hagh, A. Wake Steering Via Yaw Control in Multi-Turbine Wind Farms: Recommendations Based on Large-Eddy Simulation. Sustain. Energy Technol. Assess. 2019, 33, 34–43. [Google Scholar] [CrossRef]
- Lee, H.; Lee, D.J. Wake Impact on Aerodynamic Characteristics of Horizontal Axis Wind Turbine under Yawed Flow Conditions. Renew. Energy 2019, 136, 383–392. [Google Scholar] [CrossRef]
- José, T.J.; Seifert, J.K.; Würth, I.; Schlipf, D.; Kühn, M. Full-Field Assessment of Wind Turbine near-Wake Deviation in Relation to Yaw Misalignment. Wind Energy Sci. 2016, 1, 41–53. [Google Scholar]
- Jannik, S.; Bartl, J.M.S.; Mühle, F.V.; Sætran, L.R.; Peinke, J.; Hölling, M. Wind Tunnel Experiments on Wind Turbine Wakes in Yaw: Redefining the Wake Width. Wind Energy Sci. 2018, 3, 257–273. [Google Scholar]
- Marc, B.; Rott, A.; Beck, H.; Vollmer, L.; Steinfeld, G.; Kühn, M. Field Investigation on the Influence of Yaw Misalignment on the Propagation of Wind Turbine Wakes. Wind Energy 2018, 21, 1011–1028. [Google Scholar]
- Adaramola, M.S.; Krogstad, P.-A. Experimental Investigation of Wake Effects on Wind Turbine Performance. Renew. Energy 2011, 36, 2078–2086. [Google Scholar] [CrossRef]
- Shitang, K.; Yu, W.; Wang, T.; Ge, Y. Aerodynamic Performance and Wind-Induced Effect of Large-Scale Wind Turbine System under Yaw and Wind-Rain Combination Action. Renew. Energy 2019, 136, 235–253. [Google Scholar]
- Simon, B.j.; Mühle, F.V.; Sætran, L.R. Wind Tunnel Study on Power Output and Yaw Moments for Two Yaw-Controlled Model Wind Turbines. Wind Energy Sci. 2018, 3, 489–502. [Google Scholar]
- Gebraad, P.M.O.; Teeuwisse, F.W.; van Wingerden, J.W.; Fleming, P.A.; Ruben, S.D.; Marden, J.R.; Pao, L.Y. Wind Plant Power Optimization through Yaw Control Using a Parametric Model for Wake Effects—A Cfd Simulation Study. Wind Energy 2016, 19, 95–114. [Google Scholar] [CrossRef]
- Dongran, S.; Fan, X.; Yang, J.; Liu, A.; Chen, S.; Joo, Y.H. Power Extraction Efficiency Optimization of Horizontal-Axis Wind Turbines through Optimizing Control Parameters of Yaw Control Systems Using an Intelligent Method. Appl. Energy 2018, 224, 267–279. [Google Scholar]
- Fleming Paul, A.; Ning, A.; Gebraad, P.M.O.; Dykes, K. Wind Plant System Engineering through Optimization of Layout and Yaw Control. Wind Energy 2016, 19, 329–344. [Google Scholar] [CrossRef]
- Tanvir, A.; Basit, A.; Ahsan, M.; Coupiac, O.; Girard, N.; Kazemtabrizi, B.; Matthews, P.C. Implementation and Analyses of Yaw Based Coordinated Control of Wind Farms. Energies 2019, 12, 1266. [Google Scholar]
- Min-Soo, J.; Kim, S.W.; Lee, I.; Yoo, S.J.; Park, K.C. The Impact of Yaw Error on Aeroelastic Characteristics of a Horizontal Axis Wind Turbine Blade. Renew. Energy 2013, 60, 256–268. [Google Scholar]
- Rick, D.; Dana, S.; Annoni, J.; Fleming, P.; Roadman, J.; van Dam, J.; Dykes, K. Assessment of Wind Turbine Component Loads under Yaw-Offset Conditions. Wind Energy Sci. 2018, 3, 173–189. [Google Scholar]
- Xin, C.; Gu, R.; Pan, P.; Zhu, J. Unsteady Aerodynamics Simulation of a Full-Scale Horizontal Axis Wind Turbine Using Cfd Methodology. Energy Convers. Manag. 2016, 112, 146–156. [Google Scholar]
- Ok, Y.D.; You, J.Y.; Kwon, O.J. Numerical Investigation of Unsteady Aerodynamics of a Horizontal-Axis Wind Turbine under Yawed Flow Conditions. Wind Energy 2013, 16, 711–727. [Google Scholar]
- Liping, D.; Zhou, Q.; Zhang, Y.; Yao, S.; Kang, S.; Wang, X. Analysis of Wind Turbine Blades Aeroelastic Performance under Yaw Conditions. J. Wind Eng. Ind. Aerodyn. 2017, 171, 273–287. [Google Scholar]
- Juchuan, D.; Yang, X.; Hu, W.; Wen, L.; Tan, Y. Effect Investigation of Yaw on Wind Turbine Performance Based on SCADA Data. Energy 2018, 149, 684–696. [Google Scholar]
- Kragh, K.A.; Hansen, M.H. Load Alleviation of Wind Turbines by Yaw Misalignment. Wind Energy 2014, 17, 971–982. [Google Scholar] [CrossRef]
- Jeong, M.S.; Cha, M.C.; Kim, S.W.; Lee, I. Numerical Investigation of Optimal Yaw Misalignment and Collective Pitch Angle for Load Imbalance Reduction of Rigid and Flexible Hawt Blades under Sheared Inflow. Energy 2015, 84, 518–532. [Google Scholar] [CrossRef]
- Ok, Y.D.; Kwon, O.J. Predicting Wind Turbine Blade Loads and Aeroelastic Response Using a Coupled Cfd–Csd Method. Renew. Energy 2014, 70, 184–196. [Google Scholar]
- Le, P.A.; Lecanu, J. 3d Navier–Stokes Computations of a Stall-Regulated Wind Turbine. Wind Energy Int. J. Prog. Appl. Wind Power Convers. Technol. 2004, 7, 309–324. [Google Scholar]
- Juchuan, D.; Tan, Y.; Shen, X. Investigation of Energy Output in Mountain Wind Farm Using Multiple-Units SCADA Data. Appl. Energy 2019, 239, 225–238. [Google Scholar]
- Juchuan, D.; Liu, D.; Wen, L.; Long, X. Research on Power Coefficient of Wind Turbines Based on Scada Data. Renew. Energy 2016, 86, 206–215. [Google Scholar]











| Parameters | Values | Unit |
|---|---|---|
| Rated power | 1.5 | MW |
| Number of blades | 3 | - |
| Rotor diameter | 82.5 | m |
| Cut-in wind speed | 3.5 | m/s |
| Hub height | 80 | m |
| Level | ||||
|---|---|---|---|---|
| 1 | 0 | 3 | 3 | 0 |
| 2 | 4 | 7 | 7 | 3 |
| 3 | 8 | 11 | 11 | 6 |
| 4 | 12 | 13 | 15 | 9 |
| 5 | 16 | 15 | 17 | 12 |
| 6 | 20 | 19 | 19 | 15 |
| Experiment Number | Level of Yaw Angle | Level of Wind Speed | Level of Rotor Speed | Level of Pitch Angle | ||
|---|---|---|---|---|---|---|
| 1 | 1 | 1 | 1 | 1 | 14.13 | 92.404 |
| 2 | 1 | 2 | 2 | 2 | 116.052 | 515.703 |
| 3 | 1 | 3 | 3 | 3 | 295.077 | 1116.128 |
| 4 | 2 | 1 | 2 | 3 | −26.301 | −11.035 |
| 5 | 2 | 2 | 3 | 1 | 145.982 | 1036.561 |
| 6 | 2 | 3 | 1 | 2 | 58.571 | 273.8 |
| 7 | 3 | 1 | 3 | 2 | −54.02 | 26.203 |
| 8 | 3 | 2 | 1 | 3 | 33.573 | 139.406 |
| 9 | 3 | 3 | 2 | 1 | 78.193 | 598.994 |
| Variable | Estimated Value | Standard Error | t Value | P Value |
|---|---|---|---|---|
| Constant term | −109.989 | 79.7698 | −1.3788 | 0.1703 |
| 3.1879 | 5.8569 | 0.5443 | 0.5871 | |
| −18.7357 | 8.2338 | −2.2754 | 0.0245 | |
| 31.5959 | 8.6289 | 3.6616 | 0.0003 | |
| 35.5136 | 7.7962 | 4.5552 | 1.2 × 10−5 | |
| −0.4873 | 0.2298 | −2.1204 | 0.0358 | |
| −0.1132 | 0.213 | −0.5317 | 0.5958 | |
| 0.2654 | 0.234 | 1.1341 | 0.2588 | |
| 3.5584 | 0.2785 | 12.7757 | 1.16 × 10−24 | |
| 1.4949 | 0.306 | 4.8848 | 3.01 × 10−6 | |
| −4.3281 | 0.2836 | −15.2599 | 1.11 × 10−30 | |
| −0.065 | 0.204 | −0.3205 | 0.749 | |
| 0.4057 | 0.3072 | 1.3207 | 0.1889 | |
| −2.1032 | 0.3329 | −6.3173 | 3.97 × 10−9 | |
| −1.7072 | 0.3628 | −4.7052 | 6.44 × 10−6 |
| Variable | Estimated Value | Standard Error | t Value | P Value |
|---|---|---|---|---|
| Constant term | −539.501 | 232.1584 | −2.3238 | 0.0216 |
| 5.6244 | 17.0458 | 0.3299 | 0.7419 | |
| 6.407 | 23.9632 | 0.2673 | 0.7896 | |
| 95.5963 | 25.1133 | 3.8065 | 0.0002 | |
| 65.6491 | 22.6898 | 2.8933 | 0.0044 | |
| −1.2143 | 0.6688 | −1.8154 | 0.0717 | |
| −0.7268 | 0.6199 | −1.1724 | 0.2431 | |
| 1.2093 | 0.6811 | 1.7755 | 0.0781 | |
| 9.5762 | 0.8106 | 11.8133 | 2.79 × 10−22 | |
| −2.1539 | 0.8906 | −2.4184 | 0.0169 | |
| −13.7124 | 0.8254 | −16.6117 | 7.65 × 10−34 | |
| −0.1948 | 0.5937 | −0.3281 | 0.7433 | |
| 0.8518 | 0.8942 | 0.9525 | 0.3425 | |
| −2.8406 | 0.9689 | −2.9316 | 0.0039 | |
| 0.8189 | 1.056 | 0.7755 | 0.4394 |
| Variable | Estimated Value | Standard Error | t Value | P Value |
|---|---|---|---|---|
| Constant term | −126.153 | 65.9001 | −1.9143 | 0.0577 |
| −11.5843 | 4.4283 | −2.6159 | 0.0099 | |
| 30.3772 | 8.3611 | 3.6331 | 0.0004 | |
| 38.3866 | 7.4002 | 5.1871 | 7.71 × 10−7 | |
| −0.3044 | 0.0957 | −3.1783 | 0.0018 | |
| 3.5391 | 0.2769 | 12.7769 | 6.05 × 10−25 | |
| 1.4918 | 0.3048 | 4.8937 | 2.79 × 10−6 | |
| −4.3295 | 0.2819 | −15.3572 | 2.47 × 10−31 | |
| −2.09 | 0.3316 | −6.3035 | 3.9 × 10−9 | |
| −1.7081 | 0.3615 | −4.7248 | 5.74 × 10−6 |
| Variable | Estimated Value | Standard Error | t Value | P Value |
|---|---|---|---|---|
| Constant term | −503.248 | 150.9133 | −3.3346 | 0.0011 |
| 86.4759 | 24.1402 | 3.5822 | 0.0004 | |
| 90.53534 | 14.4742 | 6.2549 | 4.89 × 10−9 | |
| −1.0512 | 0.2755 | −3.8146 | 0.0002 | |
| 9.6435 | 0.7354 | 13.1123 | 7.61 × 10−26 | |
| −2.0776 | 0.8526 | −2.4366 | 0.0161 | |
| −13.7919 | 0.8213 | −16.791 | 7.28 × 10−35 | |
| 0.9843 | 0.4941 | 1.9916 | 0.0484 | |
| −2.7821 | 0.9659 | −2.88 | 0.0046 |
© 2020 by the authors. Licensee MDPI, Basel, Switzerland. This article is an open access article distributed under the terms and conditions of the Creative Commons Attribution (CC BY) license (http://creativecommons.org/licenses/by/4.0/).
Share and Cite
Dai, J.; Yang, X.; Yang, W.; Gao, G.; Li, M. Further Study on the Effects of Wind Turbine Yaw Operation for Aiding Active Wake Management. Appl. Sci. 2020, 10, 1978. https://doi.org/10.3390/app10061978
Dai J, Yang X, Yang W, Gao G, Li M. Further Study on the Effects of Wind Turbine Yaw Operation for Aiding Active Wake Management. Applied Sciences. 2020; 10(6):1978. https://doi.org/10.3390/app10061978
Chicago/Turabian StyleDai, Juchuan, Xin Yang, Wenxian Yang, Guoqiang Gao, and Mimi Li. 2020. "Further Study on the Effects of Wind Turbine Yaw Operation for Aiding Active Wake Management" Applied Sciences 10, no. 6: 1978. https://doi.org/10.3390/app10061978
APA StyleDai, J., Yang, X., Yang, W., Gao, G., & Li, M. (2020). Further Study on the Effects of Wind Turbine Yaw Operation for Aiding Active Wake Management. Applied Sciences, 10(6), 1978. https://doi.org/10.3390/app10061978

