Effects of the Coupling between the Orbital Angular Momentum and the Temporal Degrees of Freedom in the Most Intense Ring of Ultrafast Vortices
Abstract
1. Introduction
2. Ultrafast Vortices and Previous Results
3. OAM-Temporal Couplings in the Most Intense Ring of Transform-Limited Ultrafast Vortices
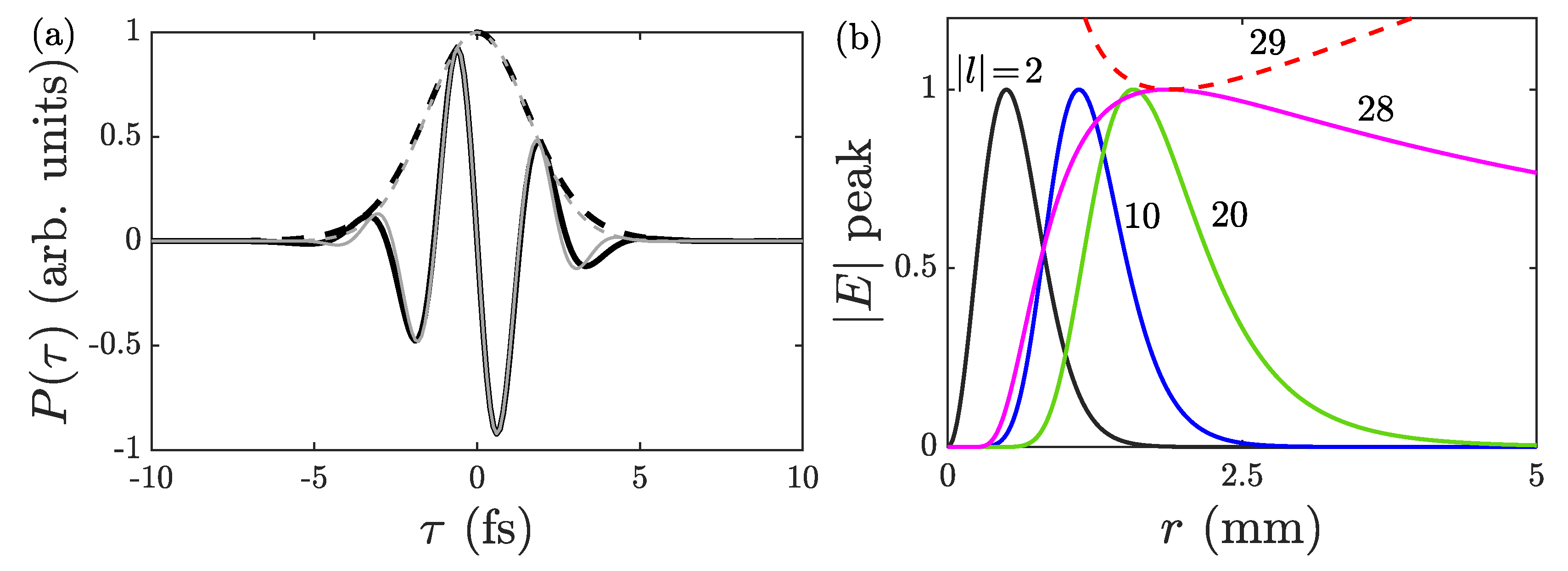
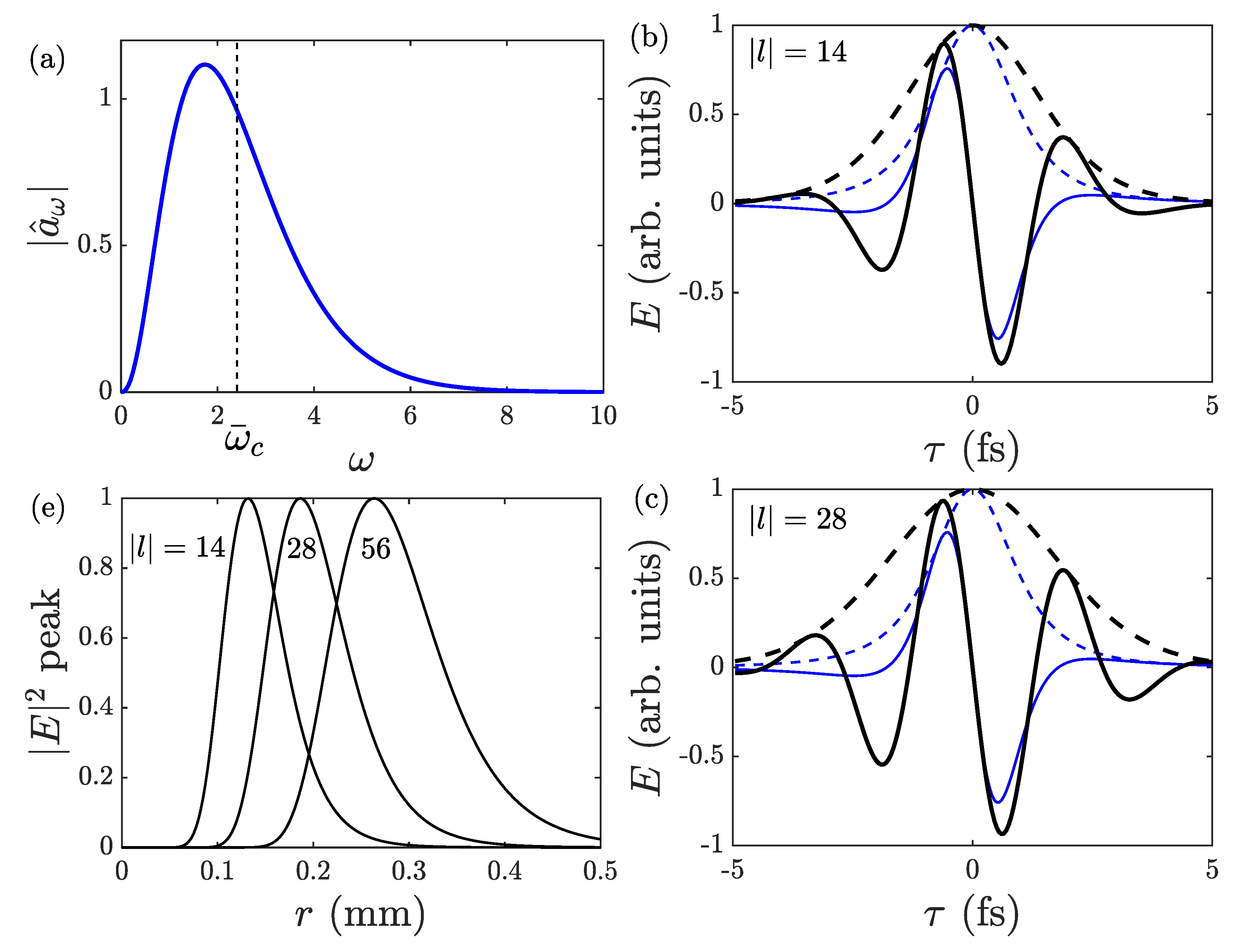
3.1. Pulse Characterization
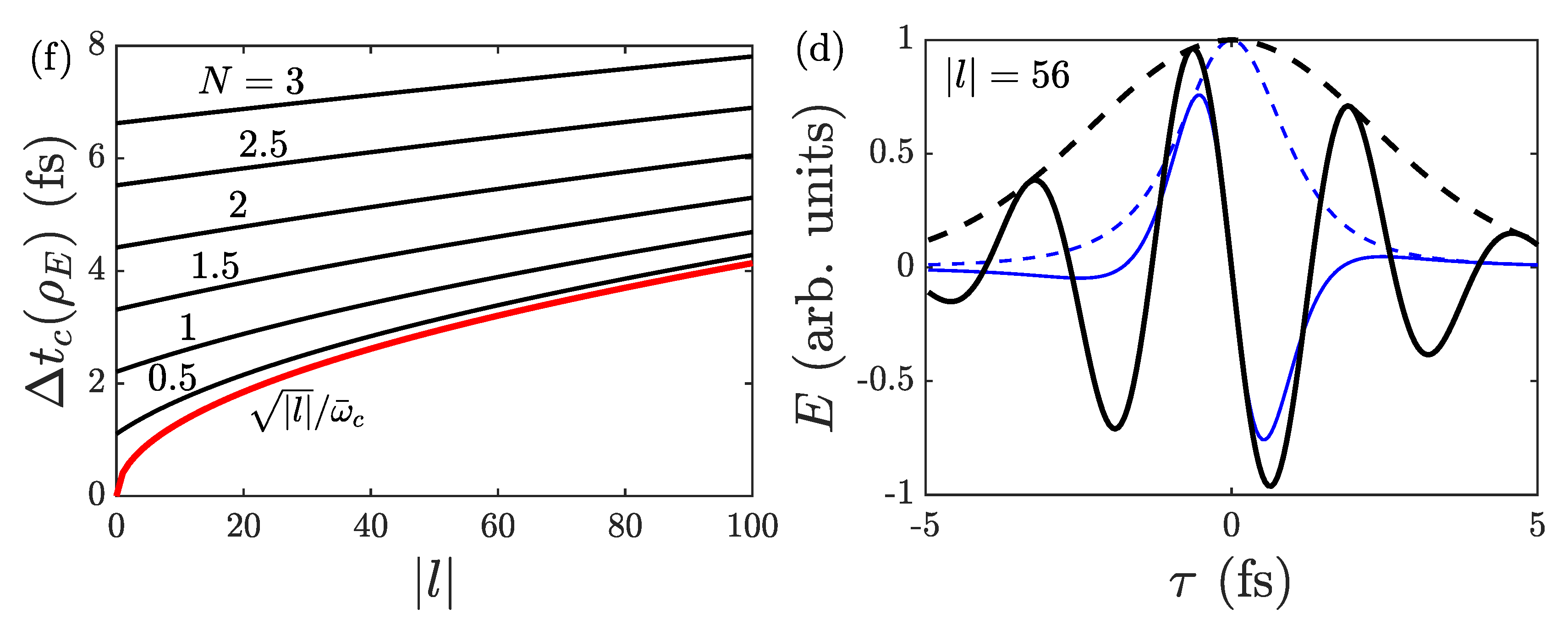
3.2. Lower Bound to the Ultrafast Vortex Duration in Its Most Intense Ring
4. Ultrafast Vortices with Prescribed Pulse Shape in the Most Intense Ring
Ultrafast Vortices with Power-Exponential Laguerre–Gauss Spectrum
5. Conclusions
Funding
Conflicts of Interest
Abbreviations
| LG | Laguerre–Gauss |
| OAM | Orbital Angular Momentum |
References
- Allen, L.; Beijersnergen, M.W.; Spreeuw, R.J.C.; Woerdman, J.P. Orbital angular momentum of light and the transformation of Laguerre-Gaussian laser modes. Phys. Rev. A 1992, 45, 8185–8189. [Google Scholar] [CrossRef] [PubMed]
- Yao, A.M.; Padgett, M.J. Orbital angular momentum: Origins, behavior and applications. Adv. Photonics 2011, 3, 161–204. [Google Scholar] [CrossRef]
- Porras, M.A. Upper Bound to the Orbital Angular Momentum Carried by an Ultrashort Pulse. Phys. Rev. Lett. 2019, 122, 123904. [Google Scholar] [CrossRef] [PubMed]
- Ornigotti, M.; Conti, C.; Szameit, A. Effect of Orbital Angular Momentum on Nondiffracting Ultrashort Optical Pulses. Phys. Rev. Lett. 2015, 115, 100401. [Google Scholar] [CrossRef] [PubMed]
- Porras, M.A. Effects of orbital angular momentum on few-cycle and sub-cycle pulse shapes: Coupling between the temporal and angular momentum degrees of freedom. Opt. Lett. 2019, 44, 2538–2541. [Google Scholar] [CrossRef]
- Ornigotti, M.; Conti, C.; Szameit, A. Universal form of the carrier frequency of scalar and vector paraxial X waves with orbital angular momentum and arbitrary frequency spectrum. Phys. Rev. A 2015, 92, 043801. [Google Scholar] [CrossRef]
- Bezuhanov, K.; Dreischuh, A.; Paulus, G.G.; Schätzel, M.G.; Walther, H. Vortices in femtosecond laser fields. Opt. Lett. 2004, 29, 1942–1944. [Google Scholar] [CrossRef]
- Mariyenko, I.G.; Strohaber, J.; Uiterwaal, C.J.G.J. Creation of optical vortices in femtosecond pulses. Opt. Express 2005, 13, 7599–7608. [Google Scholar] [CrossRef]
- Bezuhanov, K.; Dreischuh, A.; Paulus, G.; Schätzel, M.G.; Walther, H.; Neshev, D.; Krolikowski, W.; Kivshar, Y. Spatial phase dislocations in femtosecond laser pulses. J. Opt. Soc. Am. B 2006, 23, 26–35. [Google Scholar] [CrossRef]
- Zeylikovich, I.; Sztul, H.I.; Kartazaev, V.; Le, T.; Alfano, R.R. Ultrashort Laguerre-Gaussian pulses with angular and group velocity dispersion compensation. Opt. Lett. 2007, 32, 2025–2027. [Google Scholar] [CrossRef]
- Tokizane, Y.; Oka, K.; Morita, R. Supercontinuum optical vortex pulse generation without spatial or topological-charge dispersion. Opt. Express 2009, 17, 14517–14525. [Google Scholar] [CrossRef] [PubMed]
- Shvedov, V.G.; Hnatovsky, C.; Krolikowski, W.; Rode, A.V. Efficient beam converter for the generation of high-power femtosecond vortices. Opt. Lett. 2010, 35, 2660–2662. [Google Scholar] [CrossRef] [PubMed]
- Richter, A.; Bock, M.; Jahns, J.; Grunwald, R. Orbital angular momentum experiments with broadband few cycle pulses. Proc. SPIE 2010, 7613, 761308. [Google Scholar]
- Yamane, K.; Toda, Y.; Morita, R. Ultrashort optical-vortex pulse generation in few-cycle regime. Opt. Express 2012, 20, 18986–18993. [Google Scholar] [CrossRef]
- Miranda, M.; Kotur, M.; Rudawski, P.; Guo, C.; Harth, A.; L’Huillier, A.; Arnold, C.L. Spatiotemporal characterization of ultrashort optical vortex pulses. J. Mod. Opt. 2017, 64, S1–S6. [Google Scholar] [CrossRef]
- Hernández-García, C.; Picón, A.; San Román, J.; Plaja, L. Attosecond Extreme Ultraviolet Vortices from High-Order Harmonic Generation. Phys. Rev. Lett. 2013, 111, 083602. [Google Scholar] [CrossRef]
- Gariepy, G.; Leach, J.; Kim, K.T.; Hammond, T.J.; Frumker, E.; Boyd, R.W.; Corkum, P.B. Creating High-Harmonic Beams with Controlled Orbital Angular Momentum. Phys. Rev. Lett. 2014, 113, 153901. [Google Scholar] [CrossRef]
- Rego, L.; San Román, J.; Picón, A.; Plaja, L.; Hernández-García, C. Nonperturbative Twist in the Generation of Extreme-Ultraviolet Vortex Beams. Phys. Rev. Lett. 2016, 117, 163202. [Google Scholar] [CrossRef]
- Turpin, A.; Rego, L.; Picón, A.; San Romá, J.C.; Hernández-García, C. Extreme ultraviolet fractional orbital angular momentum beams from high harmonic generation. Sci. Rep. 2017, 7, 43888. [Google Scholar] [CrossRef]
- Rego, L.; Dorney, K.M.; Brooks, N.J.; Nguyen, Q.L.; Liao, C.-T.; San Román, J.; Couch, D.E.; Liu, A.; Pisanty, E.; Lewenstein, M.; et al. Generation of extreme-ultraviolet beams with time-varying orbital angular momentum. Science 2019, 364, 1253. [Google Scholar] [CrossRef]
- Gibson, G.; Courtial, J.; Padgett, M.J.; Vasnetsov, M.; Pasko, V.; Barnett, S.M.; Franke-Arnold, S. Free-space information transfer using light beams carrying orbital angular momentum. Opt. Express 2004, 12, 5448–5456. [Google Scholar] [CrossRef]
- Huang, H.; Xie, G.; Yan, Y.; Ahmed, N.; Ren, Y.; Yue, Y.; Rogawski, D.; Willner, M.J.; Erkmen, B.I.; Birmbaum, K.M.; et al. 100 Tbit/s free-space data link enabled by three-dimensional multiplexing of orbital angular momentum, polarization, and wavelength. Opt. Lett. 2014, 39, 197–200. [Google Scholar] [CrossRef]
- Mair, A.; Vaziri, V.; Weihs, G.; Zeilinger, A. Entanglement of the orbital angular momentum states of photons. Nature 2001, 412, 313–316. [Google Scholar] [CrossRef] [PubMed]
- Molina-Terriza, G.; Torres, J.P.; Torner, L.L. Management of the Angular Momentum of Light: Preparation of Photons in Multidimensional Vector States of Angular Momentum. Phys. Rev. Lett. 2002, 88, 013601. [Google Scholar] [CrossRef] [PubMed]
- He, H.; Friese, M.E.J.; Heckenberg, N.R.; Rubinsztein-Dunlop, H. Direct observation of transfer of angular-momentum to absorptive particles from a laser-beam with a phase singularity. Phys. Rev. Lett. 1995, 75, 826–829. [Google Scholar] [CrossRef] [PubMed]
- Omatsu, T.; Chujo, K.; Miyamoto, K.; Okida, M.; Nakamura, K.; Aoki, N.; Morita, R. Metal microneedle fabrication using twisted light with spin. Opt. Express 2010, 18, 17967–17973. [Google Scholar] [CrossRef] [PubMed]
- Jeffries, G.D.M.; Scott Edgar, J.; Zhao, Y.; Shelby, J.P.; Fong, C.; Chiu, D.T. Using Polarization-Shaped Optical Vortex Traps for Single-Cell Nanosurgery. Nano Lett. 2007, 7, 415–420. [Google Scholar] [CrossRef]
- Ayuso, D.; Neufeld, O.; Ordonez, A.F.; Decleva, P.; Lerner, G.; Cohen, O.; Ivanov, M.; Smirnova, O. Synthetic chiral light for efficient control of chiral light–matter interaction. Nat. Photonics 2019, 13, 866–871. [Google Scholar] [CrossRef]
- Silva, R.E.F.; Jiménez-Galán, A.; Amorim, B.; Smirnova, O.; Ivanov, M.Y. Topological strong-field physics on sub-laser-cycle timescale. Nat. Photonics 2019, 13, 849–854. [Google Scholar] [CrossRef]
- Akturk, S.; Gu, X.; Bowlan, P.; Trebino, R. Spatio-temporal couplings in ultrashort laser pulses. J. Opt. 2010, 12, 093001. [Google Scholar] [CrossRef]
- Sheppard, C.J.R.; Gan, X. Free-space propagation of femto-second light pulses. Opt. Commun. 1997, 133, 1–6. [Google Scholar] [CrossRef]
- Kaplan, A.E. Diffraction-induced transformation of near-cycle and subcycle pulses. J. Opt. Soc. Am. B 1998, 15, 951–956. [Google Scholar] [CrossRef]
- Porras, M.A. Ultrashort pulsed Gaussian light beams. Phys. Rev. E 1998, 58, 1086–1093. [Google Scholar] [CrossRef]
- Porras, M.A. Nonsinusoidal few-cycle pulsed light beams in free space. J. Opt. Soc. Am. B 1999, 16, 1468–1474. [Google Scholar] [CrossRef]
- Porras, M.A. Diffraction effects in few-cycle optical pulses. Phys. Rev. E 2002, 65, 026606. [Google Scholar] [CrossRef] [PubMed]
- Porras, M.A.; Conti, C. Couplings between the temporal and orbital angular momentum degrees of freedom in ultrafast vortices with propagation-invariant temporal shape. arXiv 2019, arXiv:1911.12225. [Google Scholar]
- Brabec, T.; Krausz, F. Nonlinear Optical Pulse Propagation in the Single-Cycle Regime. Phys. Rev. Lett. 1997, 78, 3282–3285. [Google Scholar] [CrossRef]
- Born, M.; Wolf, E. Principles of Optics; Pergamon: Oxford, UK, 1975. [Google Scholar]
- Porras, M.A.; Borghi, R.; Santarsiero, M. Few-optical-cycle Bessel-Gauss pulsed beams in free space. Phys. Rev. E 2000, 62, 5729. [Google Scholar] [CrossRef]
- Feng, S.; Winful, H.G. Higher-order transverse modes of ultrashort isodiffracting pulses. Phys. Rev. E 2001, 63, 046602. [Google Scholar] [CrossRef]
- McMorran, B.J.; Agrawall, A.; Anderson, I.M.; Herzing, A.A.; Lezec, H.J.; McClelland, J.J.; Unguris, J. Electron Vortex Beams with High Quanta of Orbital Angular Momentum. Science 2011, 331, 192–195. [Google Scholar] [CrossRef]
- Marzo, A.; Caleap, M.; Drinkwater, B.W. Acoustic Virtual Vortices with Tunable Orbital Angular Momentum for Trapping of Mie Particles. Phys. Rev. Lett. 2018, 120, 044301. [Google Scholar] [CrossRef] [PubMed]





© 2020 by the author. Licensee MDPI, Basel, Switzerland. This article is an open access article distributed under the terms and conditions of the Creative Commons Attribution (CC BY) license (http://creativecommons.org/licenses/by/4.0/).
Share and Cite
Porras, M.A. Effects of the Coupling between the Orbital Angular Momentum and the Temporal Degrees of Freedom in the Most Intense Ring of Ultrafast Vortices. Appl. Sci. 2020, 10, 1957. https://doi.org/10.3390/app10061957
Porras MA. Effects of the Coupling between the Orbital Angular Momentum and the Temporal Degrees of Freedom in the Most Intense Ring of Ultrafast Vortices. Applied Sciences. 2020; 10(6):1957. https://doi.org/10.3390/app10061957
Chicago/Turabian StylePorras, Miguel A. 2020. "Effects of the Coupling between the Orbital Angular Momentum and the Temporal Degrees of Freedom in the Most Intense Ring of Ultrafast Vortices" Applied Sciences 10, no. 6: 1957. https://doi.org/10.3390/app10061957
APA StylePorras, M. A. (2020). Effects of the Coupling between the Orbital Angular Momentum and the Temporal Degrees of Freedom in the Most Intense Ring of Ultrafast Vortices. Applied Sciences, 10(6), 1957. https://doi.org/10.3390/app10061957

