Numerical Investigation of Strength Mismatch Effect on Ductile Crack Growth Resistance in Welding Pipe
Abstract
1. Introduction
2. Background and Numerical Procedures
2.1. Background and Numerical Procedures
2.2. Crack Tip Constraint
2.2.1. Geometrical Constraint J-Q Formulation
2.2.2. Material Mismatch-Induced Constraint J-Q-M Formulation
2.3. Material
2.4. The Finite Element Models
2.4.1. The SENB and SENT Specimens
2.4.2. Pipe
3. Results and Discussion
3.1. SENB
3.2. SENT
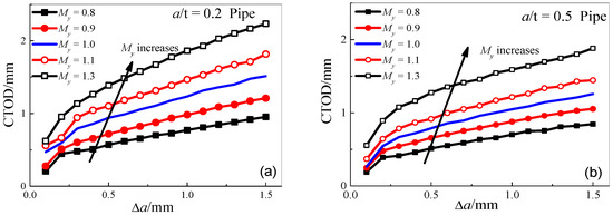
3.3. Pipe
3.4. Comparisons of Different Models
3.5. Strength Mismatch Constraint Ahead of a Growing Crack
4. Conclusions
- (1)
- Weld strength mismatch ratio shows a strong effect on the fracture toughness and ductile crack growth resistance curves for welding pipes. With the increase of mismatch ratio, the ductile fracture resistances significantly increase for the standard SENB and the shallow and deep-cracked pipes, as well as the corresponding SENT specimens.
- (2)
- For all of different mismatched cases considered in this study, the ductile tearing resistance from SENB specimen is obviously conservative than that from SENT with respect to the pipes, which can therefore validate that the SENT specimen is a good representation of pipes with circumferential cracks and an alternative to the conventional standard SENB specimen for the fracture mechanics testing in engineering critical assessment of strength-mismatched welding pipes.
- (3)
- The mismatch constraint M decreases from positive to negative with the increase of mismatch ratio (My = 0.8 ~ 1.3) as for pipes and the corresponding SENT specimens. In addition, the mismatch constraint parameter M for pipes is comparatively lower than that of the corresponding SENT specimen at the same mismatched ratios.
Author Contributions
Funding
Acknowledgments
Conflicts of Interest
References
- Garwood, S.J. Effect of Specimen Geometry on Crack Growth Resistance, Fracture Mechanics; ASTM STP 677; ASTM: Philadelphia, PA, USA, 1979. [Google Scholar]
- Hancock, J.W.; Reuter, W.G.; Parks, D.M. Constraint and Toughness Parameterized by T. Constraint Effects in Fracture; ASTM STP 1171; ASTM: Philadelphia, PA, USA, 1993. [Google Scholar]
- Donato, G.V.P.; Rebello, J.M.A.; Ruggieri, C. A two-parameter approach to assess effects of constraint in cracks located at geometrical discontinuities. J. Strain Anal. Eng. 2014, 49, 274–285. [Google Scholar] [CrossRef]
- Betegon, C.; Hancock, J.W. Two-parameter characterization of elastic–plastic crack-tip fields. J. Appl. Mech. 1991, 58, 104–110. [Google Scholar] [CrossRef]
- O’Dowd, N.P.; Shih, C.F. Family of crack-tip fields characterized by a triaxiality parameter: Part-I. Structure of fields. J. Mech. Phys. Solids 1991, 39, 989–1015. [Google Scholar] [CrossRef]
- O’Dowd, N.P.; Shih, C.F. Family of crack-tip fields characterized by a triaxiality parameter-II. Fracture applications. J. Mech. Phys. Solids. 1992, 40, 939–963. [Google Scholar] [CrossRef]
- Nyhus, B.; Østby, E.; Thaulow, C.; Zhang, Z.L.; Olden, V. SENT Testing and the Effect of Geometry Constraint in High Strength Steel; International Symposium High Strength Steel: Trondheim, Norway, 2002. [Google Scholar]
- Tyson, W.R.; Shen, G.; Roy, G. Effect of biaxial stress of ECA of pipelines under strain-based design. In Proceedings of the 17th International Offshore and Polar Engineering Conference, Lisbon, Portugal, 1–6 July 2007. [Google Scholar]
- Cravero, S.; Ruggieri, C. Estimation procedure of J-resistance curves for SE(T) fracture specimens using unloading compliance. Eng. Fract. Mech. 2007, 74, 2735–2757. [Google Scholar] [CrossRef]
- Xu, J.; Zhang, Z.L.; Østby, E. Constraint effect on the ductile crack growth resistance of circumferentially cracked pipes. Eng. Fract. Mech. 2010, 77, 671–684. [Google Scholar] [CrossRef]
- Cray, M.J.; Luxmore, A.R.; Sumpter, J.D.G. The effect of weld metal mismatch on J and CTOD. In Proceedings of the European Symposium on Elastic-Plastic Fracture Mechanics, Freiburg, Germany, 9–12 October 1989. [Google Scholar]
- Zhang, Z.L.; Thaulow, C.; Hauge, M. Effects of crack size and weld metal mismatch on the HAZ cleavage toughness of weld plates. Eng. Fract. Mech. 1997, 57, 653–664. [Google Scholar] [CrossRef]
- Burstow, M.C.; Howard, I.C.; Ainsworth, R.A. The influence of constraint on crack tip stress fields in strength mismatched welded joints. J. Mech. Phys. Solids. 1998, 46, 845–872. [Google Scholar] [CrossRef]
- Zhang, Z.L.; Hauge, M.; Thaulow, C. Two-parameter characterization of the near-tip stress fields for a bi-material elastic–plastic interface crack. Int. J. Fract. 1996, 79, 65–83. [Google Scholar] [CrossRef]
- Zhang, Z.L.; Hauge, M.; Thaulow, C. The effect of T stress on the near tip stress field of an elastic–plastic interface crack. In Proceedings of the Ninth International Congress on Fracture, Sydney, Australia, 1–5 April 1997. [Google Scholar]
- Thaulow, C.; Hauge, M.; Zhang, Z.L.; Ranestad, Ø.; Fattorini, F. On the interrelationship between fracture toughness and material mismatch for cracks located at the fusion line of weldments. Eng. Fract. Mech. 1999, 64, 367–382. [Google Scholar] [CrossRef]
- Ren, X.B.; Zhang, Z.L.; Nyhus, B. Effect of residual stresses on the crack-tip constraint in a modified boundary layer model. Int. J. Solids Struct. 2009, 46, 2629–2641. [Google Scholar] [CrossRef]
- Zerbst, U. Application of fracture mechanics to welds with crack origin at the weld toe: A review Part 1: Consequences of inhomogeneous microstructure for materials testing and failure assessment. Weld. World 2019, 63, 1715–1732. [Google Scholar] [CrossRef]
- Ruggieri, C. Further results in J and CTOD estimation procedures for SE(T) fracture specimens—Part I: Homogeneous materials. Eng. Fract. Mech. 2012, 79, 245–265. [Google Scholar] [CrossRef]
- Paredes, M.; Ruggieri, C. Further results in J and CTOD estimation procedures for SE(T) fracture—Part II: Weld centerline cracks. Eng. Fract. Mech. 2012, 89, 24–39. [Google Scholar] [CrossRef]
- Sarikka, T.; Ahonen, M.; Mouginot, R.; Nevasmaa, P.; Karjalainen-Roikonen, P.; Ehrnstén, U.; Hänninen, H. Effect of mechanical mismatch on fracture mechanical behavior of SA 508—Alloy 52 narrow gap dissimilar metal weld. Int. J. Press. Vessel. Pip. 2017, 157, 30–42. [Google Scholar] [CrossRef]
- Sarikka, T.; Ahonen, M.; Mouginot, R.; Nevasmaa, P.; Karjalainen-Roikonen, P.; Ehrnstén, U.; Hänninen, H. Microstructural, mechanical, and fracture mechanical characterization of SA 508-Alloy 182 dissimilar metal weld in view of mismatch state. Int. J. Press. Vessel. Pip. 2016, 145, 13–22. [Google Scholar] [CrossRef]
- Qiang, B.; Wang, X. Ductile crack growth behaviors at different locations of a weld joint for an X80 pipeline steel: A numerical investigation using GTN models. Eng. Fract. Mech. 2019, 213, 264–279. [Google Scholar] [CrossRef]
- Gurson, A.L. Plastic Flow and Fracture behavior of Ductile Materials Incorporating Void Nucleation, Growth and Coalescence. Ph.D. Thesis, Brown University, Providence, RI, USA, 1975. [Google Scholar]
- Tvergaard, V. Influence of voids on shear band instabilities under plane strain conditions. Int. J. Fract. 1981, 17, 389–407. [Google Scholar] [CrossRef]
- Tvergaard, V. On localization in ductile materials containing spherical voids. Int. J. Fract. 1982, 18, 237–252. [Google Scholar]
- Tvergaard, V.; Needleman, A. Analysis of the cup–corn fracture in a round tensile bar. Acta Metall. 1984, 32, 157–169. [Google Scholar] [CrossRef]
- Thomason, P.F. Ductile Fracture of Metals; Pergamon Press: Oxford, UK, 1990. [Google Scholar]
- Zhang, Z.L.; Thaulow, C.; Odegard, J. A complete Gurson model approach for ductile fracture. Eng. Fract. Mech. 2000, 67, 155–168. [Google Scholar] [CrossRef]
- Zhang, Z.L.; Niemi, E. A class of generalized mid-point algorithms for Gurson-Tvergaard continuum damage material model. Int. J. Numer. Meth. Eng. 1995, 88, 2033–2053. [Google Scholar] [CrossRef]
- Zhang, Z.L. On the accuracies of numerical integration algorithms for Gurson pressure-dependent elastoplastic constitutive models. Comput. Meth. Appl. Mech. Eng. 1995, 121, 15–28. [Google Scholar] [CrossRef]
- Zhang, Z.L. Explicit consistent tangent moduli with a return mapping algorithm for pressure-dependent elastoplasticity models. Comput. Meth. Appl. Mech. Eng. 1995, 121, 29–44. [Google Scholar] [CrossRef]
- Eikrem, P.A.; Zhang, Z.L.; Nyhus, B. Effect of plastic prestrain on the crack tip constraint of pipeline steels. Int. J. Press. Vessel. Pip. 2007, 84, 708–715. [Google Scholar] [CrossRef]
- Liu, J.; Zhang, Z.L.; Nyhus, B. Residual stress induced crack tip constraint. Eng. Fract. Mech. 2008, 75, 4151–4166. [Google Scholar] [CrossRef]
- Ren, X.B.; Akselsen, O.M.; Nyhus, B. Influence of welding residual stresses on the ductile crack growth resistance of circumferentially cracked pipe. Front. Struct. Civ. Eng. 2012, 6, 217–223. [Google Scholar] [CrossRef]
- Chao, Y.J.; Yang, S.; Sutton, M.A. On the fracture of solids characterized by one or two parameters: Theory and practice. J. Mech. Phys. Solids 1994, 42, 629–647. [Google Scholar] [CrossRef]
- Shih, C.F. Relationship between the J-integral and the crack opening displacement for stationary and extending cracks. J. Mech. Phys. Solids 1981, 29, 305–326. [Google Scholar] [CrossRef]
- Xu, J.; Zhang, Z.L.; Østby, E.; Nyhus, B.; Sun, D.B. Effect of crack depth and specimen size on ductile crack growth of SENT and SENB specimens for fracture mechanics evaluation of pipeline steels. Int. J. Press. Vessel. Pip. 2009, 86, 787–797. [Google Scholar] [CrossRef]
- Jing, H.Y.; Zhu, Z.Q.; Huo, L.X. Effect of strength mismatching on fracture behavior for nuclear pressure vessel steel A508-III welded joints. Trans. China Weld. Inst. 2002, 23, 35–37. [Google Scholar]
- Nyhus, B.; Østby, E.; Knagenhjelm, H.O.; Black, S.; Røstadsand, P.A. Experimental studies on the effect of crack length and asymmetric geometries on the ductile tearing resistance. In Proceedings of the OMAE2005, the 24th International Conference on Offshore Mechanics and Arctic Engineering, Halkidiki, Greece, 12–17 June 2005. [Google Scholar]
- Zhu, X.K.; Leis, B.N. Bending modified J–Q theory and crack-tip constraint quantification. Eng. Fract. Mech. 2006, 141, 115–134. [Google Scholar] [CrossRef]
- Sobotka, J.C.; Dodds, R.H.; Sofronis, P. Effects of hydrogen on steady, ductile crack growth: Computational studies. Int. J. Solids Struct. 2009, 46, 4095–4106. [Google Scholar] [CrossRef][Green Version]












© 2020 by the authors. Licensee MDPI, Basel, Switzerland. This article is an open access article distributed under the terms and conditions of the Creative Commons Attribution (CC BY) license (http://creativecommons.org/licenses/by/4.0/).
Share and Cite
Su, L.; Xu, J.; Song, W.; Chu, L.; Gao, H.; Li, P.; Berto, F. Numerical Investigation of Strength Mismatch Effect on Ductile Crack Growth Resistance in Welding Pipe. Appl. Sci. 2020, 10, 1374. https://doi.org/10.3390/app10041374
Su L, Xu J, Song W, Chu L, Gao H, Li P, Berto F. Numerical Investigation of Strength Mismatch Effect on Ductile Crack Growth Resistance in Welding Pipe. Applied Sciences. 2020; 10(4):1374. https://doi.org/10.3390/app10041374
Chicago/Turabian StyleSu, Lin, Jie Xu, Wei Song, Lingyu Chu, Hanlin Gao, Pengpeng Li, and Filippo Berto. 2020. "Numerical Investigation of Strength Mismatch Effect on Ductile Crack Growth Resistance in Welding Pipe" Applied Sciences 10, no. 4: 1374. https://doi.org/10.3390/app10041374
APA StyleSu, L., Xu, J., Song, W., Chu, L., Gao, H., Li, P., & Berto, F. (2020). Numerical Investigation of Strength Mismatch Effect on Ductile Crack Growth Resistance in Welding Pipe. Applied Sciences, 10(4), 1374. https://doi.org/10.3390/app10041374

