Electromyographic Evaluation of Specific Elastic Band Exercises Targeting Neck and Shoulder Muscle Activation
Abstract
Featured Application
Abstract
1. Introduction
2. Materials and Methods
2.1. Study Design and Subjects
2.2. Procedures
2.2.1. Electromyography (EMG)
2.2.2. Elastic Band Training Exercises
- (1)
- Shrugs (SH) were performed in standing position with the elastic band fixated under the feet and arms placed along the side of the body and shoulders relaxed. The head was held in an anatomically neutral position with eyes looking straight forward. During the exercise, shoulders were elevated as high as possible toward the ears against resistance and lowered again.
- (2)
- Reverse Flyes (RF) were performed seated with the elastic band fixated under the feet and with a straight back. Participants were instructed to position their head in an anatomically neutral position, lean the trunk forward (~20–30°), and place both arms pointing towards the floor. Elbows were kept in a static and slightly flexed position (~5°). During the exercise, both of the arms were raised toward a horizontal level against resistance and lowered again.
- (3)
- Cervical Extension (CE) was performed seated. The participants were instructed to keep a straight back, position their head in an anatomically neutral position, and lean the trunk forward (~20–30°). Arms were held strait with the hands placed underneath the knees. An elastic band was stretched between the hands and front of the head harness. The exercise was performed with a low cervical spine flexion, followed by a low cervical spine extension (against resistance).
- (4)
- Cervical Flexion (CF) was performed in the same way as during cervical extension, but the elastic band was stretched between a door anchor and the back of the head harness. During the exercise, the participants performed a low cervical spine flexion (against resistance), followed by a low cervical spine extension.
- (5)
- Cervical Lateral flexion (CL) was performed standing erect with the head in an anatomically neutral position. One hand was placed horizontally against a wall and an elastic band was stretched between the hand and side of the head harness. The exercise was performed with a low lateral spine flexion against resistance, followed by a low lateral spine extension. The exercise was performed for the right and left side, respectively.
- (6)
- Cervical rotation (CR) was performed seated with a straight back and trunk leaned forward (~20°). The head was held in an anatomically neutral position and rotated approximately 45° to either the right or left side. An elastic band was stretched between the head harness and a door anchor. Keeping a static upper body, the hips were flexed and the body flexed (against resistance), followed by an extension. The exercise was performed to the right and left side.
2.3. Outcomes
2.4. Statistical Analysis
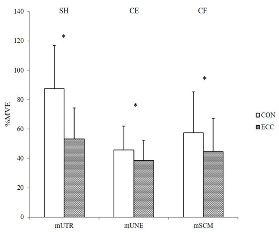
3. Results
4. Discussion
4.1. Main Finding
4.2. Contraction Intensities
4.3. Muscle Activation Patterns
4.4. Study Strenghts and Limitations
4.5. Future Perspectives
5. Conclusions
Author Contributions
Funding
Conflicts of Interest
References
- Sjøgaard, G.; Lundberg, U.; Kadefors, R. The role of muscle activity and mental load in the development of pain and degenerative processes at the muscle cell level during computer work. Eur. J. Appl. Physiol. 2000, 83, 99–105. [Google Scholar] [CrossRef]
- Hagberg, M.; Harms-Ringdahl, K.; Nisell, R.; Hjelm, E.W. Rehabilitation of neck-shoulder pain in women industrial workers: A randomized trial comparing isometric shoulder endurance training with isometric shoulder strength training. Arch. Phys. Med. Rehabil. 2000, 81, 1051–1058. [Google Scholar] [CrossRef]
- Unge, J.; Ohlsson, K.; Nordander, C.; Hansson, G.A.; Skerfving, S.; Balogh, I. Differences in physical workload, psychosocial factors and musculoskeletal disorders between two groups of female hospital cleaners with two diverse organizational models. Int. Arch. Occup. Environ. Health 2007, 81, 209–220. [Google Scholar] [CrossRef]
- Van den Heuvel, S.G.; van der Beek, A.J.; Blatter, B.M.; Bongers, P.M. Do work-related physical factors predict neck and upper limb symptoms in office workers? Int. Arch. Occup. Environ. Health 2006, 79, 585–592. [Google Scholar] [CrossRef]
- Van den Oord, M.H.; De Loose, V.; Meeuwsen, T.; Sluiter, J.K.; Frings-Dresen, M.H. Neck pain in military helicopter pilots: Prevalence and associated factors. Mil. Med. 2010, 175, 55–60. [Google Scholar] [CrossRef]
- Adam, J. Results of NVG-Induced Neck Strain Questionnaire Study in CH-146 Griffon Aircrew; DRDC Toronto, Defence R&D Canada: Toronto, ON, Canada, 2004. [Google Scholar]
- Lange, B.; Toft, P.; Myburgh, C.; Sjøgaard, G. Effect of targeted strength, endurance, and coordination exercise on neck and shoulder pain among fighter pilots: A randomized-controlled trial. Clin. J. Pain 2013, 29, 50–59. [Google Scholar] [CrossRef]
- Murray, M.; Lange, B.; Nornberg, B.R.; Sogaard, K.; Sjogaard, G. Self-administered physical exercise training as treatment of neck and shoulder pain among military helicopter pilots and crew: A randomized controlled trial. BMC Musculoskelet. Disord. 2017, 18, 147. [Google Scholar] [CrossRef]
- Gram, B.; Andersen, C.; Zebis, M.K.; Bredahl, T.; Pedersen, M.T.; Mortensen, O.S.; Jensen, R.H.; Andersen, L.L.; Sjøgaard, G. Effect of training supervision on effectiveness of strength training for reducing neck/shoulder pain and headache in office workers: Cluster randomized controlled trial. BioMed Res. Int. 2014, 2014, 693013. [Google Scholar] [CrossRef]
- Blangsted, A.K.; Sogaard, K.; Hansen, E.A.; Hannerz, H.; Sjogaard, G. One-year randomized controlled trial with different physical-activity programs to reduce musculoskeletal symptoms in the neck and shoulders among office workers. Scand. J. Work. Environ. Health 2008, 34, 55–65. [Google Scholar] [CrossRef]
- Andersen, L.L.; Kjaer, M.; Sogaard, K.; Hansen, L.; Kryger, A.I.; Sjogaard, G. Effect of two contrasting types of physical exercise on chronic neck muscle pain. Arthritis Rheum. 2008, 59, 84–91. [Google Scholar] [CrossRef]
- Zebis, M.K.; Andersen, L.L.; Pedersen, M.T.; Mortensen, P.; Andersen, C.H.; Pedersen, M.M.; Boysen, M.; Roessler, K.K.; Hannerz, H.; Mortensen, O.S.; et al. Implementation of neck/shoulder exercises for pain relief among industrial workers: A randomized controlled trial. BMC Musculoskelet. Disord. 2011, 12, 205. [Google Scholar] [CrossRef]
- Dalager, T.; Bredahl, T.G.; Pedersen, M.T.; Boyle, E.; Andersen, L.L.; Sjøgaard, G. Does training frequency and supervision affect compliance, performance and muscular health? A cluster randomized controlled trial. Man. Ther. 2015, 20, 657–665. [Google Scholar] [CrossRef] [PubMed]
- Murray, M.; Lange, B.; Nornberg, B.R.; Sogaard, K.; Sjogaard, G. Specific exercise training for reducing neck and shoulder pain among military helicopter pilots and crew members: A randomized controlled trial protocol. BMC Musculoskelet. Disord. 2015, 16, 198. [Google Scholar] [CrossRef] [PubMed]
- Ratamess, N.A.; Alvar, B.A.; Evetoch, T.K.; Housh, T.J.; Kibler, W.B.; Kraemer, W.J.; Triplett, N.T. American College of Sports Medicine position stand. Progression models in resistance training for healthy adults. Med. Sci. Sports Exerc. 2009, 41, 687–708. [Google Scholar] [CrossRef]
- Andersen, C.H.; Zebis, M.K.; Saervoll, C.; Sundstrup, E.; Jakobsen, M.D.; Sjogaard, G.; Andersen, L.L. Scapular muscle activity from selected strengthening exercises performed at low and high intensities. J. Strength Cond. Res. 2012, 26, 2408–2416. [Google Scholar] [CrossRef]
- Andersen, L.L.; Kjaer, M.; Andersen, C.H.; Hansen, P.B.; Zebis, M.K.; Hansen, K.; Sjogaard, G. Muscle activation during selected strength exercises in women with chronic neck muscle pain. Phys. Ther. 2008, 88, 703–711. [Google Scholar] [CrossRef]
- Chen, X.; Coombes, B.K.; Sjogaard, G.; Jun, D.; O’Leary, S.; Johnston, V. Workplace-Based Interventions for Neck Pain in Office Workers: Systematic Review and Meta-Analysis. Phys. Ther. 2018, 98, 40–62. [Google Scholar] [CrossRef]
- Beck, T.W.; Stock, M.S.; Defreitas, J.M. Shifts in EMG spectral power during fatiguing dynamic contractions. Muscle Nerve 2014, 50, 95–102. [Google Scholar] [CrossRef]
- Farina, D.; Merletti, R.; Enoka, R.M. The extraction of neural strategies from the surface EMG: An update. J. Appl. Physiol. 2014, 117, 1215–1230. [Google Scholar] [CrossRef]
- Enoka, R.M.; Duchateau, J. Muscle fatigue: What, why and how it influences muscle function. J. Physiol. 2008, 586, 11–23. [Google Scholar] [CrossRef]
- Ris, I.; Sogaard, K.; Gram, B.; Agerbo, K.; Boyle, E.; Juul-Kristensen, B. Does a combination of physical training, specific exercises and pain education improve health-related quality of life in patients with chronic neck pain? A randomised control trial with a 4-month follow up. Man. Ther. 2016, 26, 132–140. [Google Scholar] [CrossRef] [PubMed]
- Murray, M.; Lange, B.; Chreiteh, S.S.; Olsen, H.B.; Nornberg, B.R.; Boyle, E.; Sogaard, K.; Sjogaard, G. Neck and shoulder muscle activity and posture among helicopter pilots and crew-members during military helicopter flight. J. Electromyogr. Kinesiol. 2016, 27, 10–17. [Google Scholar] [CrossRef] [PubMed]
- Holtermann, A.; Roeleveld, K.; Mork, P.J.; Gronlund, C.; Karlsson, J.S.; Andersen, L.L.; Olsen, H.B.; Zebis, M.K.; Sjogaard, G.; Sogaard, K. Selective activation of neuromuscular compartments within the human trapezius muscle. J. Electromyogr. Kinesiol. 2009, 19, 896–902. [Google Scholar] [CrossRef] [PubMed]
- Gosselin, G.; Rassoulian, H.; Brown, I. Effects of neck extensor muscles fatigue on balance. Clin. Biomech. 2004, 19, 473–479. [Google Scholar] [CrossRef] [PubMed]
- Juul-Kristensen, B.; Kadefors, R.; Hansen, K.; Bystrom, P.; Sandsjo, L.; Sjogaard, G. Clinical signs and physical function in neck and upper extremities among elderly female computer users: The NEW study. Eur. J. Appl. Physiol. 2006, 96, 136–145. [Google Scholar] [CrossRef]
- Falla, D.; Dall’Alba, P.; Rainoldi, A.; Merletti, R.; Jull, G. Location of innervation zones of sternocleidomastoid and scalene muscles-a basis for clinical and research electromyography applications. Clin. Neurophysiol. 2002, 113, 57–63. [Google Scholar] [CrossRef]
- Jakobsen, M.D.; Sundstrup, E.; Andersen, C.H.; Zebis, M.K.; Mortensen, P.; Andersen, L.L. Evaluation of muscle activity during a standardized shoulder resistance training bout in novice individuals. J. Strength Cond. Res. 2012, 26, 2515–2522. [Google Scholar] [CrossRef]
- Andersen, L.L.; Andersen, C.H.; Mortensen, O.S.; Poulsen, O.M.; Bjornlund, I.B.; Zebis, M.K. Muscle activation and perceived loading during rehabilitation exercises: Comparison of dumbbells and elastic resistance. Phys. Ther. 2010, 90, 538–549. [Google Scholar] [CrossRef]
- Rivard, J.; Unsleber, C.; Schomacher, J.; Erlenwein, J.; Petzke, F.; Falla, D. Activation of the semispinalis cervicis and splenius capitis with cervical pulley exercises. Musculoskelet. Sci. Pract. 2017, 30, 56–63. [Google Scholar] [CrossRef]
- Schomacher, J.; Erlenwein, J.; Dieterich, A.; Petzke, F.; Falla, D. Can neck exercises enhance the activation of the semispinalis cervicis relative to the splenius capitis at specific spinal levels? Man. Ther. 2015, 20, 694–702. [Google Scholar] [CrossRef]
- Gabriel, D.A.; Matsumoto, J.Y.; Davis, D.H.; Currier, B.L.; An, K.N. Multidirectional neck strength and electromyographic activity for normal controls. Clin. Biomech. 2004, 19, 653–658. [Google Scholar] [CrossRef]
- Folland, J.P.; Williams, A.G. The adaptations to strength training: Morphological and neurological contributions to increased strength. Sports Med. 2007, 37, 145–168. [Google Scholar] [CrossRef]
- Higbie, E.J.; Cureton, K.J.; Warren, G.L., 3rd; Prior, B.M. Effects of concentric and eccentric training on muscle strength, cross-sectional area, and neural activation. J. Appl. Physiol. 1996, 81, 2173–2181. [Google Scholar] [CrossRef]
- Vikne, H.; Refsnes, P.E.; Ekmark, M.; Medbo, J.I.; Gundersen, V.; Gundersen, K. Muscular performance after concentric and eccentric exercise in trained men. Med. Sci. Sports Exerc. 2006, 38, 1770–1781. [Google Scholar] [CrossRef]
- Jull, G.; Falla, D. Does increased superficial neck flexor activity in the craniocervical flexion test reflect reduced deep flexor activity in people with neck pain? Man. Ther. 2016, 25, 43–47. [Google Scholar] [CrossRef]
- Aura, O.; Komi, P.V. Mechanical efficiency of pure positive and pure negative work with special reference to the work intensity. Int. J. Sports Med. 1986, 7, 44–49. [Google Scholar] [CrossRef]
- Komi, P.V.; Kaneko, M.; Aura, O. EMG activity of the leg extensor muscles with special reference to mechanical efficiency in concentric and eccentric exercise. Int. J. Sports Med. 1987, 8 (Suppl. 1), 22–29. [Google Scholar] [CrossRef]




| Muscle | Intensity | Exercise | |||||
|---|---|---|---|---|---|---|---|
| SH | RF | CE | CF | CL | CR | ||
| mUTR | 20RM | 78.8 ± 24.0 | 75.9 ± 30.7 | 3.4 ± 1.8 | 1.9 ± 1.3 | 8.1 ± 4.6 | 3.7 ± 2.3 |
| 12RM | 100.3 ± 29.8 | 91.6 ± 32.8 | 4.8 ± 2.5 | 2.4 ± 2.0 | 9.1 ± 4.1 | 4.3 ± 2.8 | |
| mUNE | 20RM | 45.7 ± 16.7 | 39.1 ± 22.3 | 50.9 ± 25.8 | 7.6 ± 3.2 | 30.2 ± 13.6 | 10.4 ± 4.6 |
| 12RM | 61.9 ± 16.8 | 55.4 ± 16.3 | 67.6 ± 29.8 | 8.5 ± 3.8 | 45.5 ± 14.6 | 12.0 ± 4.7 | |
| mSCM | 20RM | 16.7 ± 13.5 | 14.2 ± 8.9 | 15.1 ± 11.3 | 44.8 ± 16.6 | 25.6 ± 7.7 | 28.8 ± 9.9 |
| 12RM | 26.2 ± 16.5 | 22.9 ± 14.8 | 10.1 ± 6.3 | 51.7 ± 16.4 | 41.5 ± 14.6 | 42.5 ± 11.6 | |
| Muscle | Exercise | Fatigue Development | 20RM | 12RM | ||||
|---|---|---|---|---|---|---|---|---|
| Rep 3. | Rep 19. | p-Values | Rep 3. | Rep 11. | p-Values | |||
| mUTR | SH | %MVC | 81.2 ± 27.1 | 95.6 ± 25.6 | 0.001 | 94.3 ± 31.4 | 114.1 ± 30.2 | <0.001 |
| MPF | 78.5 ± 5.9 | 69.8 ± 8.2 | <0.001 | 80.3 ± 12.0 | 71.6 ± 10.2 | <0.001 | ||
| mUNE | CE | %MVC | 50.7 ± 26.2 | 67.5 ± 33.7 | 0.006 | 64.5 ± 28.7 | 82.4 ± 33.7 | 0.010 |
| MPF | 66.0 ± 7.6 | 57.2 ± 8.9 | 0.004 | 63.6 ± 9.4 | 57.6 ± 10.6 | 0.005 | ||
| mSCM | CF | %MVC | 43.9 ± 17.4 | 53.5 ± 20.7 | 0.016 | 51.4 ± 17.1 | 65.0 ± 21.5 | 0.027 |
| MPF | 104 ± 14.4 | 95.2 ± 14.4 | 0.005 | 104.0 ± 13.4 | 99.1 ± 12.7 | 0.012 | ||
© 2020 by the authors. Licensee MDPI, Basel, Switzerland. This article is an open access article distributed under the terms and conditions of the Creative Commons Attribution (CC BY) license (http://creativecommons.org/licenses/by/4.0/).
Share and Cite
Gao, Y.; Kristensen, L.A.; Grøndberg, T.S.; Murray, M.; Sjøgaard, G.; Søgaard, K. Electromyographic Evaluation of Specific Elastic Band Exercises Targeting Neck and Shoulder Muscle Activation. Appl. Sci. 2020, 10, 756. https://doi.org/10.3390/app10030756
Gao Y, Kristensen LA, Grøndberg TS, Murray M, Sjøgaard G, Søgaard K. Electromyographic Evaluation of Specific Elastic Band Exercises Targeting Neck and Shoulder Muscle Activation. Applied Sciences. 2020; 10(3):756. https://doi.org/10.3390/app10030756
Chicago/Turabian StyleGao, Ying, Lars A. Kristensen, Thomas S. Grøndberg, Mike Murray, Gisela Sjøgaard, and Karen Søgaard. 2020. "Electromyographic Evaluation of Specific Elastic Band Exercises Targeting Neck and Shoulder Muscle Activation" Applied Sciences 10, no. 3: 756. https://doi.org/10.3390/app10030756
APA StyleGao, Y., Kristensen, L. A., Grøndberg, T. S., Murray, M., Sjøgaard, G., & Søgaard, K. (2020). Electromyographic Evaluation of Specific Elastic Band Exercises Targeting Neck and Shoulder Muscle Activation. Applied Sciences, 10(3), 756. https://doi.org/10.3390/app10030756

