Darcy–Boussinesq Model of Cilia-Assisted Transport of a Non-Newtonian Magneto-Biofluid with Chemical Reactions
Abstract
1. Introduction
2. Problem Statement
3. Solution of the Problem
4. Discussions
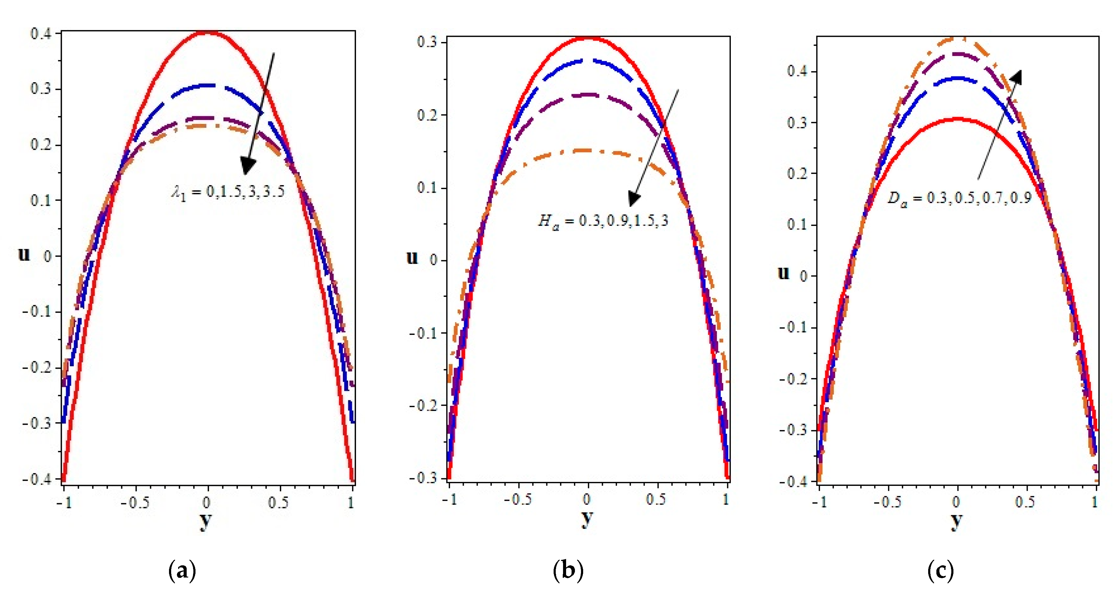
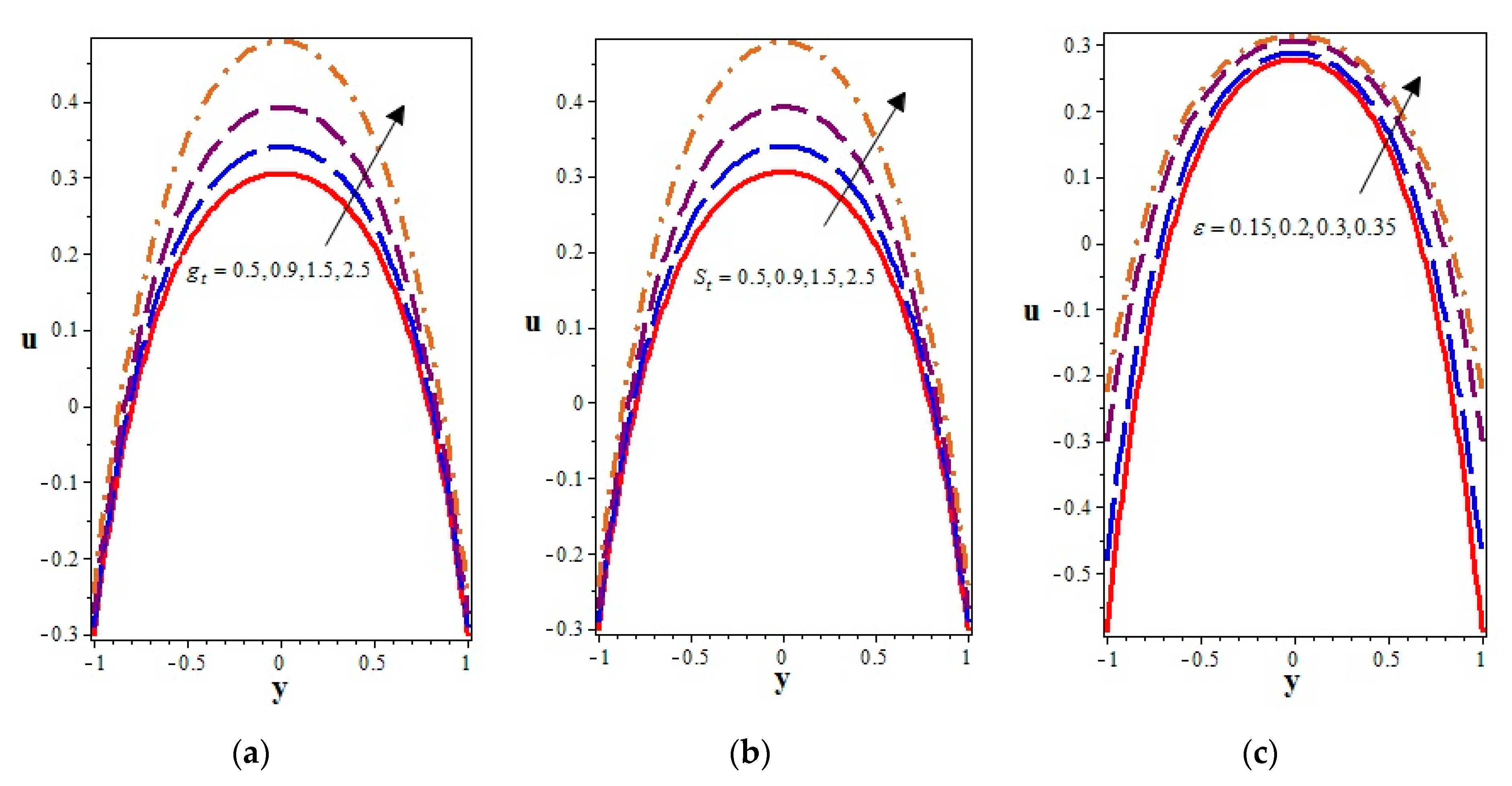
4.1. Velocity Profiles
4.2. Volume Flow Rate
4.3. Pressure Distribution
5. Applications in Physiology
6. Conclusions
- The velocity distribution clearly admitted parabolic profiles, which were at a maximum at the central part of the channel and gradually decreased toward the boundary.
- The axial velocity was diminished with an increasing Jeffery first viscoelastic parameter (ratio of relaxation to retardation times) in the central part of the channel, whereas a converse behavior was shown near the walls.
- The increasing strength in the magnetic body force inhibited the axial velocity of the fluid in the central part, while it was promoted toward the walls of the channel. However, the effects of the Darcy number on the axial velocity were quite opposite to that of the magnetic field parameter (i.e., the Hartmann number).
- The axial velocity of the flow field was increased due to the increasing values of the heat transfer parameters (the Grashof number and the heat source number). Another important observation made from this study was that the cilia with higher lengths provided a boost in the axial velocity and hence accelerated the flow in the axial direction.
- The viscoelastic fluid moved slowly compared to the linear viscous fluid in the central region of the channel. This shows that the viscous forces had stronger influences in the central part compared to the boundary of the channel.
- The time mean flow volume of a viscoelastic fluid (semen, i.e., ) was less than that of the Newtonian fluid () under similar conditions.
- The time mean volume flow rate was strongly influenced by the cilia height, i.e., flow volume of the semen increased gradually with the increase in cilia height.
- Due to an increase in the eccentricity parameter of cilia paths, a rise in the flow volume of the semen was observed.
- The volume flow rate decreased due to increasing values of the parameters , , and (chemical reaction parameter), while it decreased with increasing , , and .
- It was concluded that heat transfer generally aids the propulsion mechanism of ciliary motion.
Author Contributions
Funding
Acknowledgments
Conflicts of Interest
Nomenclature
| c | wave speed | 
| C | mass concentration | 
| specific heat | |
| d | half width of the channel | 
| D | mass diffusivity | 
| Darcy number | |
| g | acceleration due to gravity | 
| thermal Grashof number | |
| concentration Grashof number | |
| Hartmann number | |
| wavelength | |
| eccentricity of the cilia motion | |
| viscoelastic parameter | |
| M | chemical reaction parameter | 
| pressure rise | |
| Q | time mean flow rate | 
| Re | Reynolds number | 
| heat source parameter | |
| Soret number | |
| Schmidt number | |
| u, v | velocity components | 
| temperature | |
| concentration | |
| viscosity | |
| wave number | |
| cilia length parameter | 
References
- Blake, R.; Sleigh, M.A. Mechanics of ciliary locomotion. Biol. Rev. 1974, 49, 85–125. [Google Scholar] [CrossRef]
- Velez-Cordero, J.R.; Lauga, E. Waving transport and propulsion in a generalized Newtonian fluid. J. Non-Newton. Fluid Mech. 2013, 199, 37–50. [Google Scholar] [CrossRef]
- Lardner, T.J.; Shack, W.J. Cilia Transport. Bull. Math. Biophys. 1972, 34, 25–35. [Google Scholar] [CrossRef]
- Brown, J.M.; Witman, G.B. Cilia and Diseases. Biosciences 2014, 64, 1126–1137. [Google Scholar] [CrossRef]
- Hanasoge, S.; Hesketh, P.J.; Alexeev, A. Metachronal motion of artificial magnetic cilia. Soft Matter 2018, 14, 3689–3693. [Google Scholar] [CrossRef]
- Farooq, A.A. On the transport of epididymal fluid induced by metachronal wave of cilia. J. Eng. Math. 2018, 110, 167–180. [Google Scholar] [CrossRef]
- Khaderi, S.N.; den Toonder, J.M.; Onck, P.R. Numerical simulations of fluid transport by magnetically actuated artificial cilia. In Atlas of Cilia Bioengineering and Biocomputing; Mayne, R., den Toonder, J., Eds.; River Publishers: Gistrup, Denmark, 2018; pp. 137–148. [Google Scholar]
- Brennen, C.; Winet, H. Fluid mechanics of propulsion by cilia and flagella. Annu. Rev. Fluid Mech. 1977, 9, 339–398. [Google Scholar] [CrossRef]
- Blake, J.R. A spherical envelope approach to ciliary propulsion. J. Fluid Mech. 1971, 46, 199–208. [Google Scholar] [CrossRef]
- Liron, N.; Mochon, S. The discrete cilia approach to propulsion of ciliated micro-organisms. J. Fluid Mech. 1977, 75, 593–607. [Google Scholar] [CrossRef]
- Farooq, A.A.; Siddiqui, A.M. Mathematical model for the ciliary induced transport of seminal liquids through the ductuli efferentes. Int. J. Biomath. 2017, 10, 1750031. [Google Scholar] [CrossRef]
- Nadeem, S.; Sadaf, H. Trapping study of nanofluids in an annulus with cilia. AIP Adv. 2015, 5, 127204. [Google Scholar] [CrossRef]
- Farooq, A.A.; Tripathi, D.; Elnaqeeb, T. On the propulsion of micropolar fluid inside a channel due to ciliary induced metachronal wave. Appl. Math. Comput. 2019, 347, 225–235. [Google Scholar] [CrossRef]
- Shah, Z.; Khan, A.; Khan, W.; Alam, M.K.; Islam, S.; Kumam, P.; Thounthong, P. Micropolar gold blood nanofluid flow and radiative heat transfer between permeable channels. Comput. Methods Programs Biomed. 2020, 186, 105197. [Google Scholar] [CrossRef]
- Ahmad Farooq, A.; Shah, Z.; Alzahrani, E.O. Heat Transfer Analysis of a Magneto-Bio-Fluid Transport with Variable Thermal Viscosity through a Vertical Ciliated Channel. Symmetry 2019, 11, 1240. [Google Scholar] [CrossRef]
- Ahmad, M.W.; Kumam, P.; Shah, Z.; Farooq, A.A.; Nawaz, R.; Dawar, A.; Islam, S.; Thounthong, P. Darcy–Forchheimer MHD Couple Stress 3D Nanofluid over an Exponentially Stretching Sheet through Cattaneo–Christov Convective Heat Flux with Zero Nanoparticles Mass Flux Conditions. Entropy 2019, 21, 867. [Google Scholar] [CrossRef]
- Shah, Z.; Alzahrani, E.O.; Alghamdi, W.; Ullah, M.Z. Influences of electrical MHD and Hall current on squeezing nanofluid flow inside rotating porous plates with viscous and joule dissipation effects. J. Therm. Anal. Calorim. 2020, 27, 1–13. [Google Scholar] [CrossRef]
- Shah, Z.; Alzahrani, E.O.; Dawar, A.; Ullah, A.; Khan, I. Inuence of Cattaneo-Christov Model on Darcy-Forchheimer Flow of Micropoler Ferrouid over a Stretching/Shrinking Sheet. Int. Commun. Heat Mass Transf. 2020, 110, 104385. [Google Scholar] [CrossRef]
- Alzahrani, O.; Shah, E.; Alghamdi, Z.; Zaka Ullah, M.W. Darcy–Forchheimer Radiative Flow of Micropoler CNT Nanofluid in Rotating Frame with Convective Heat Generation/Consumption. Processes 2019, 7, 666. [Google Scholar] [CrossRef]
- Abo-Elkhair, R.E.; Mekheimer, K.S.; Moawad, A.M.A. Cilia walls influence on peristaltically induced motion of magneto-fluid through a porous medium at moderate Reynolds number: Numerical study. J. Egyptian Math. Soc. 2017, 25, 238–251. [Google Scholar] [CrossRef]
- Siddiqui, A.M.; Farooq, A.A.; Rana, M.A. Hydromagnetic flow of Newtonian fluid due to ciliary motion in a channel. Magnetohydrodynamics 2014, 50, 109–122. [Google Scholar]
- Bhatti, M.M.; Zeshan, A.; Ellahi, R. Heat transfer with thermal radiation on MHD particle-fluid suspension induced by metachronal wave. Pramana 2017, 89, 48. [Google Scholar] [CrossRef]
- Akbar, N.S.; Khan, Z.H. Influence of magnetic field for metachronical beating of cilia for nanofluid with Newtonian heating. J. Magn. Magn. Mater. 2015, 381, 235–242. [Google Scholar] [CrossRef]
- Nadeem, S.; Akbar, N.S. Effects of heat transfer on the peristaltic transport of MHD Newtonian fluid with variable viscosity: Application of Adomian decomposition method. Commun. Nonlinear Sci. Numer. Simul. 2009, 14, 3844–3855. [Google Scholar] [CrossRef]
- Nadeem, S.; Akbar, N.S. Influence of radially varying MHD on the peristaltic flow in an annulus with heat and mass transfer. J. Taiwan Inst. Chem. Eng. 2010, 41, 286–294. [Google Scholar] [CrossRef]
- Nadeem, S.; Akbar, N.S. Effects of heat and chemical reactions on peristaltic flow of Newtonian fluid in a diverging tube with inclined MHD. Asia-Pac. J. Chem. Eng. 2011, 6, 659–668. [Google Scholar] [CrossRef]
- Srinivas, S.; Muthuraj, R. Effects of chemical reaction and space porosity on MHD mixed convective flow in a vertical asymmetric channel with peristalsis. Math. Comput. Model. 2011, 54, 1213–1227. [Google Scholar] [CrossRef]
- Akbar, N.S.; Butt, A.W. Magnetic effects for copper suspended nanofluid venture through a composite stenosed arteries with permeable wall. J. Magn. Magn. Matter. 2015, 381, 285–291. [Google Scholar] [CrossRef]
- Tripathi, D. Study of transient peristaltic heat flow through a finite porous channel. Math. Comput. Model. 2013, 57, 1270–1283. [Google Scholar] [CrossRef]
- Blake, J.R. An Active Porous Medium Model for Ciliary Propulsion. J. Theor. Biol. 1977, 64, 697–701. [Google Scholar] [CrossRef]
- Bear, J. Is the porous medium approach applicable to phenomena of transport in biological system. J. Porous Media 2011, 14, 847–848. [Google Scholar] [CrossRef]
- Vafai, K. Porous Media: Applications in Biological Systems and Biotechnology; CRC Press: Boca Raton, FL, USA, 2010. [Google Scholar]
- Tripathi, D. Peristaltic Hemodynamic flow of couple-stress fluids through a porous medium with slip effect. Trans. Porous Media 2012, 92, 559–572. [Google Scholar] [CrossRef]
- Nadeem, S.; Akbar, N.S. Peristaltic Flow of a Jeffrey Fluid with Variable Viscosity in an Asymmetric Channel. Z. Naturforschung 2009, 64, 713–722. [Google Scholar] [CrossRef]
- Akbar, N.S.; Nadeem, S.; Lee, C. Characteristics of Jeffrey fluid model for peristaltic flow of chyme in small intestine with magnetic field. Results Phys. 2013, 3, 152–160. [Google Scholar] [CrossRef]
- Ponalagusamy, R. Particulate suspension Jeffrey fluid flow in a stenosed artery with a particle-free plasma layer near the wall. Korea-Aust. Rheol. J. 2016, 28, 217–227. [Google Scholar] [CrossRef]
- Ellahi, R.; Zeeshan, A.; Hussain, F.; Asadollahi, A. Peristaltic blood flow of couple stress fluid suspended with nanoparticles under the influence of chemical reaction and activation energy. Symmetry 2019, 11, 276. [Google Scholar] [CrossRef]
- Jawad, M.; Shah, Z.; Islam, S.; Majdoubi, J.; Tlili, I.; Khan, W.; Khan, I. Impact of Nonlinear Thermal Radiation and the Viscous Dissipation Effect on the Unsteady Three-Dimensional Rotating Flow of Single-Wall Carbon Nanotubes with Aqueous Suspensions. Symmetry 2019, 11, 207. [Google Scholar] [CrossRef]
- Saeed, A.; Islam, S.; Dawar, A.; Shah, Z.; Kumam, P.; Khan, W. Influence of Cattaneo–Christov Heat Flux on MHD Jeffrey, Maxwell, and Oldroyd-B Nanofluids with Homogeneous-Heterogeneous Reaction. Symmetry 2019, 11, 439. [Google Scholar] [CrossRef]
- Alzahrani, O.; Shah, E.; Dawar, Z.; Sharaf, A.; Malebary, J. Hydromagnetic Mixed Convective Third Grade Nanomaterial Containing Gyrotactic Microorganisms toward a Horizontal Stretched Surface. Alex. Eng. J. 2019, 58, 1421–1429. [Google Scholar] [CrossRef]
- Shah, Z.; Dawar, A.; Kumam, P.; Khan, W.; Islam, S. Impact of Nonlinear Thermal Radiation on MHD Nanofluid Thin Film Flow over a Horizontally Rotating Disk. Appl. Sci. 2019, 9, 1533. [Google Scholar] [CrossRef]
- Ameen, I.; Shah, Z.; Islam, S.; Nasir, S.; Khan, W.; Kumam, P.; Thounthong, P. Hall and Ion-Slip Effect on CNTS Nanofluid over a Porous Extending Surface through Heat Generation and Absorption. Entropy 2019, 21, 801. [Google Scholar] [CrossRef]
- Alharbi, S.O.; Dawar, A.; Shah, Z.; Khan, W.; Idrees, M.; Islam, S.; Khan, I. Entropy Generation in MHD Eyring–Powell Fluid Flow over an Unsteady Oscillatory Porous Stretching Surface under the Impact of Thermal Radiation and Heat Source/Sink. Appl. Sci. 2018, 8, 2588. [Google Scholar] [CrossRef]
- Muhammad, S.; Ali, G.; Shah, Z.; Islam, S.; Hussain, S.A. The Rotating Flow of Magneto Hydrodynamic Carbon Nanotubes over a Stretching Sheet with the Impact of Non-Linear Thermal Radiation and Heat Generation/Absorption. Appl. Sci. 2018, 8, 482. [Google Scholar] [CrossRef]








| 0.1 | 0.5 | 0.3 | 0.5 | 0.5 | 0.5 | 0.367313 | 0.002003 | 
| 0.5 | 0.5 | 0.3 | 0.5 | 0.5 | 0.5 | 0.356839 | 0.001946 | 
| 1.5 | 0.5 | 0.3 | 0.5 | 0.5 | 0.5 | 0.341044 | 0.001860 | 
| 2.0 | 0.5 | 0.3 | 0.5 | 0.5 | 0.5 | 0.336095 | 0.001833 | 
| 0.5 | 1.5 | 0.3 | 0.5 | 0.5 | 0.5 | 0.305248 | 0.001666 | 
| 0.5 | 2.0 | 0.3 | 0.5 | 0.5 | 0.5 | 0.277866 | 0.001515 | 
| 0.5 | 3.0 | 0.3 | 0.5 | 0.5 | 0.5 | 0.235197 | 0.001282 | 
| 0.1 | 0.5 | 0.4 | 0.5 | 0.5 | 0.5 | 0.399765 | 0.002181 | 
| 0.1 | 0.5 | 0.5 | 0.5 | 0.5 | 0.5 | 0.426126 | 0.002324 | 
| 0.1 | 0.5 | 0.7 | 0.5 | 0.5 | 0.5 | 0.468452 | 0.002555 | 
| 0.1 | 0.5 | 0.5 | 1.5 | 3.5 | 1.5 | 1.062621 | 0.005795 | 
| 0.1 | 0.5 | 0.5 | 1.5 | 3.5 | 3.5 | 1.055827 | 0.005758 | 
| 0.1 | 0.5 | 0.5 | 1.5 | 3.5 | 5.0 | 1.052525 | 0.005740 | 
| 0.5 | 0.5 | 0.5 | 1.5 | 4.0 | 1.5 | 1.013808 | 0.005529 | 
| 0.5 | 0.5 | 0.5 | 1.5 | 4.5 | 1.5 | 1.098599 | 0.005992 | 
| 0.5 | 0.5 | 0.5 | 1.5 | 5.0 | 1.5 | 1.183390 | 0.006454 | 
© 2020 by the authors. Licensee MDPI, Basel, Switzerland. This article is an open access article distributed under the terms and conditions of the Creative Commons Attribution (CC BY) license (http://creativecommons.org/licenses/by/4.0/).
Share and Cite
Farooq, A.A.; Shah, Z.; Kumam, P.; O. Alzahrani, E.; Shutaywi, M.; Anwar, T. Darcy–Boussinesq Model of Cilia-Assisted Transport of a Non-Newtonian Magneto-Biofluid with Chemical Reactions. Appl. Sci. 2020, 10, 1137. https://doi.org/10.3390/app10031137
Farooq AA, Shah Z, Kumam P, O. Alzahrani E, Shutaywi M, Anwar T. Darcy–Boussinesq Model of Cilia-Assisted Transport of a Non-Newtonian Magneto-Biofluid with Chemical Reactions. Applied Sciences. 2020; 10(3):1137. https://doi.org/10.3390/app10031137
Chicago/Turabian StyleFarooq, Ali Ahmad, Zahir Shah, Poom Kumam, Ebraheem O. Alzahrani, Meshal Shutaywi, and Talha Anwar. 2020. "Darcy–Boussinesq Model of Cilia-Assisted Transport of a Non-Newtonian Magneto-Biofluid with Chemical Reactions" Applied Sciences 10, no. 3: 1137. https://doi.org/10.3390/app10031137
APA StyleFarooq, A. A., Shah, Z., Kumam, P., O. Alzahrani, E., Shutaywi, M., & Anwar, T. (2020). Darcy–Boussinesq Model of Cilia-Assisted Transport of a Non-Newtonian Magneto-Biofluid with Chemical Reactions. Applied Sciences, 10(3), 1137. https://doi.org/10.3390/app10031137
 
        


 
       